许 栋, 黄雄合, 及春宁, 白玉川
(水利工程仿真与安全国家重点实验室(天津大学), 天津 300072)
摘要: 自然界中复式河道的来流方向常受径流量、滩槽形态影响,往往与主槽存在小幅度夹角,使得目前基于顺直河道假定的漫滩水流大量的理论成果难以适用.为研究斜向入流影响,采用平面二维浅水方程描述沿程均匀的复式断面明渠水流运动,选取斜向角度作为小参数,运用摄动法推导了小角度(θ<20°)斜向入流条件下复式河道流速分布的线性解析解,并利用数值模拟结果进行验证,流速分布吻合较好.理论分析结果表明,斜向来流时由于出现垂直于河道方向流速分量,使得顺河道方向流速沿河宽分布偏离正向来流情况下的对称形态而重新分布,入流侧流速减小而对岸流速增大;在斜向角度θ=13°且滩槽水深比为3∶8的情况下,偏离幅度可达21.8%,该幅度随滩槽水深比的减小而增大.该文针对斜向来流对流速分布的修正将为进一步研究复式河道泥沙运动和河流演变提供更为准确的水动力条件.
关 键 词: 复式河道; 小角度斜入流; 摄动法; 线性理论
自然界中河流大多数为复式断面形态,一般滩地宽浅而主槽窄深.由于主槽往往呈弯曲形态,在河道沿程不同位置主槽方向与漫滩洪水方向并非处处一致;另外,河流水流动力轴线往往存在“高水取直、低水坐弯”的现象[1],主槽来流方向还随流量变化而变化,使得复式断面河道斜向来流情况广泛存在,如图1所示.在港口工程中,人工开挖的航道类似于河道中的主槽,一般顺潮流方向布置,但海岸潮流方向往往多变,多数情况下来流方向与主槽走向存在一定斜向夹角,如图2所示.斜向来流将促进主槽与滩地之间的水体交换,影响滩槽泥沙运动与淤积,进而影响复式明渠床面演变、物质输运等规律,因此有必要深入理解复式断面明渠斜向入流条件下的水流动力结构.
针对顺直形态复式河道在正向来流条件下的水动力特性目前已有大量研究成果[2-3].这些研究多从平面二维浅水方程出发,通过加入对滩槽动量交换的考虑,探讨复式断面明渠内的流速重分布[4-6]、滩槽水沙及物质交换[7-8]以及植被影响[9-10]等,形成了对单一断面水流运动理论的多种修正.SKM(Shiono-Knight method)[11]较有代表性,它以水深平均的Navier-Stokes方程为基础,通过引入摩阻因子、涡黏性系数及二次流系数合理考虑了河床摩阻、横向剪切及二次流3个影响因素,得到漫滩水流二维解析解,较为准确地描述了漫滩水流运动,并在涡黏模型[12]、二次流修正[13]等方面不断得到改进,获得广泛应用[2-3,14].值得注意的是,为简化求解,这些模型一般采用来流方向与河道走向一致的假定,解析解中流速分布沿河道中线严格对称,在存在来流斜向分量时,将与实际流场产生一定偏差.

图1 自然界复式断面河道示意
Fig. 1 Schematic of a compound river channel in nature

图2 港口航道复式断面斜向入流示意
Fig. 2 Schematic of an oblique inflow into the waterway channel with a compound cross section
对于来流方向与河道不同的复式断面明渠水流,目前一般采用上层水流(漫滩水流)与下层水流(主槽流)分离处理的方法[15].例如,许唯临[6]从Shiono-Knight方法出发,将二次流项归并入Reynolds(雷诺)切应力项,连接槽和滩地的流速分布曲线,推导出一套不需联立求解系数方程组的漫滩水流流速和床面切应力分布的计算公式以及床面平均切应力的解析计算公式,能够适用于复式游荡型河道.考虑到滩槽水流存在明显交换,上、下层水流耦合作用及交界面处理仍需进一步深入探讨.另外,随着计算流体力学发展,针对复式断面明渠三维水流结构的数值模拟研究也在快速发展,三维模拟能够获得包括二次环流、滩槽动量交换的丰富数据信息[16-20],且容易向斜向入流情况拓展[21],但由于计算量大,目前水利工程应用中仍以二维模型为主[22].因此,从理论层面,推进包括斜向入流等各种复杂条件下复式断面明渠水流的解析求解,仍具有重要科学和工程意义.
本文在SKM基础上,以斜向入流的角度为小参数,对上-下层水流统一的平面二维浅水方程摄动分析,并基于方程组线性解研究了小角度入流条件下漫滩水流的水动力结构.
在如图3所示的坐标系中,h1为滩地水深,h2为主槽水深,B为主槽宽.建立恒定流条件下的平面二维浅水方程:
(1)
(2)
(3)
其中,g为重力加速度,u,v为x,y方向水流流速,h为水深,η为水面高程,J为坡降,τxx,τxy,τyx,τyy,τzx,τzy为切应力.上层水流和下层水流统一采用上述方程(1)~(3)描述.

(a) 平面图 (b) 断面图
(a) The plan view (b) The cross-sectional view
图3 复式断面明渠示意
Fig. 3 Schematic of the compound open channel
取河道平均速度U、主槽宽B及主槽和滩地平均水深H为基本量,对方程(1)~(3)进行无量纲化:

其中![]()
将上述无量纲量代入式(2)、(3)得
(4)
(5)
为Froude(弗汝德)数.
此处考虑入流方向与主槽中线呈小角度夹角θ,θ为小量,而斜向流速分量v1=u0tan θ,因此v1相对于正向流速u0是小量,此处选取摄动小量ε=tan θ.只保留一阶小量,舍去高阶量,则式(4)、(5)中的无量纲量可写成如下形式(下标0表示零阶量,下标带1表示一阶量,下同):
代入方程(4)、(5)得

(6)

(7)
将方程(6)、(7)摄动展开,保留零阶与一阶量,舍去二阶及以上高阶量,获得零阶和一阶控制方程:
零阶
(8)
(9)
一阶
(10)
(11)
考虑滩地范围远大于主槽,滩地为主槽提供均匀背景来流,忽略流动特征顺河道走向,因此∂/∂x=0,则有:
零阶
(12)
(13)
一阶
(14)
(15)
根据SKM中的黏性作用处理方法[11],切应力项分别为

(16)
(17)

(18)
由以上形式可知

式中α为无量纲漩涡系数,cf为摩阻系数.
因此,零阶方程(12)可化为
(19)
这与基于SKM[11]所得到的漫滩水流运动方程相同,意味着零阶方程的解对应着无斜向入流的顺直复式河道,即方程回归至经典SKM方程.
对于一阶方程,式(14)、(15)可化为
(20)
(21)
式(20)经变换得
(22)
方程(22)即为求解一阶解的方程,对应小角度斜向入流条件下复式河道流速分布的线性部分,是摄动分析所得到的重要成果.正向入流条件下,斜向偏角角度为0,表示摄动小量ε=0,不再需要考虑一阶方程,水流方程退化为正向入流情况,即式(19).
根据上述摄动分析的结果,水流运动的零阶方程为
(23)
水流运动的一阶(线性)方程为
(24)
对比式(23)与(24)可以发现,两者形式上非常相似.式中λ=(4cf)1/4/α1/2,α为无量纲涡黏系数,cf为摩阻系数,采用Manning(曼宁)公式计算,各参数设定如下:

在上述设定下,式(23)为常微分方程,其特解与通解形式分别为
(25)
因此方程(23)解的形式可以表达为
(26)
由于零阶水流方程中,主槽水流是对称的,而滩地无限远处的流速是常量(假定滩地无限宽),所以滩地与主槽零阶流速分布如下:
滩地
(27)
主槽
(28)
为方便求解一阶线性方程(式(24)),对零阶主流流速分布进行简化,主槽与滩地交界处的速度分布采用线性过渡,如图4所示,可得一阶线性方程解析解为


图4 一阶解所用滩地与主槽零阶主流速度概化处理
Fig. 4 Approximation of the primary flow velocity over the floodplain and the main channel for the 1st-order solution
为方便解的表达,将零阶主流划分为①~⑤共5个区域,其中①、③、⑤区速度为常数,②、④区的速度为线性分布,一阶线性方程在每个区域对应的解可以直接表达为下式:
①区
u0u1=A1eγ1y;
(29)
②区
(30)
③区
u0u1=A4e-γ2y+A5eγ2y;
(31)
④区
(32)
⑤区
u0u1=A8e-γ1y,
(33)
其中,
是滩地γ1与主槽γ2的算术平均值, 同理,
也是主槽与滩地的算术平均值.在-Yk1,-Yk2,Yk2,Yk1处速度与速度导数相等.
考虑到目前尚未有针对相同工况的模型实验或野外测量成果,且在一般物理模型实验条件下,一阶量中的速度也难以准确测量,因此采用数值模拟结果对理论计算成果进行验证.数值模拟采用有限体积法求解二维浅水方程,具体离散格式和实施方法见文献[22-24].考虑到理论成果是从二维浅水方程简化和摄动求解获得,因此如果其结果能够与二维浅水方程直接数值求解一致,即能够说明模型简化和求解的合理性.
数值模拟模型如图5所示,设河道长度100 m,宽度30 m,主槽宽10 m.入流和出流侧均设置流速边界,流速由沿河道纵向的零阶速度u0和垂直于河道方向的一阶速度分量v1组成.

图5 复式断面明渠数值模拟模型
Fig. 5 Schematic of domains for numerical simulation of a compound open channel
表1 不同入流斜向角度下的数值模拟参数设置
Table 1 Parameter configuration for numerical simulation of different oblique inflow angles

为验证理论结果在不同入流角度下的可靠性,针对入流斜向角度13°和25°两个工况进行数值模拟,模型参数设置如表1所示.
在上述两种工况下,理论计算获得的一阶流速u1沿河宽方向分布与数值模拟结果比较如图6所示.从图上可以看出,理论计算结果与数值模拟从分布形态和峰值幅度来看,均较为一致,最大偏差在10%以内,说明验证结果整体较好.在入流斜向角度25°(工况2)的情况下,一阶流速沿河宽方向分布理论值与数值计算结果相比,存在整体向出流侧偏离,最大偏离近一倍河宽,这与理论求解采用入流角度为无穷小小量的假定有关,说明当入流斜向角度增大至一定程度时,线性理论计算结果因误差增大而不再适用.根据本文验证对比情况分析,本文理论模型中的入流斜向角度在20°以内较为合适.

(a) 工况1:θ=13° (b) 工况2:θ=25°
(a) Case 1:θ=13° (b) Case 2:θ=25°
图6 理论与数值模拟一阶流速分布比较
Fig. 6 Comparison between theoretical results and numerical simulations for the 1st-order flow velocity
考虑到一阶流速u1实际上表征为相对于正向来流情况下流速分布(零阶量)的修正值,图6中一阶流速在入流侧为正而出流侧为负,能够说明由于斜向来流的存在,使得主流流速在斜向入流侧增大,而在出流侧减小.
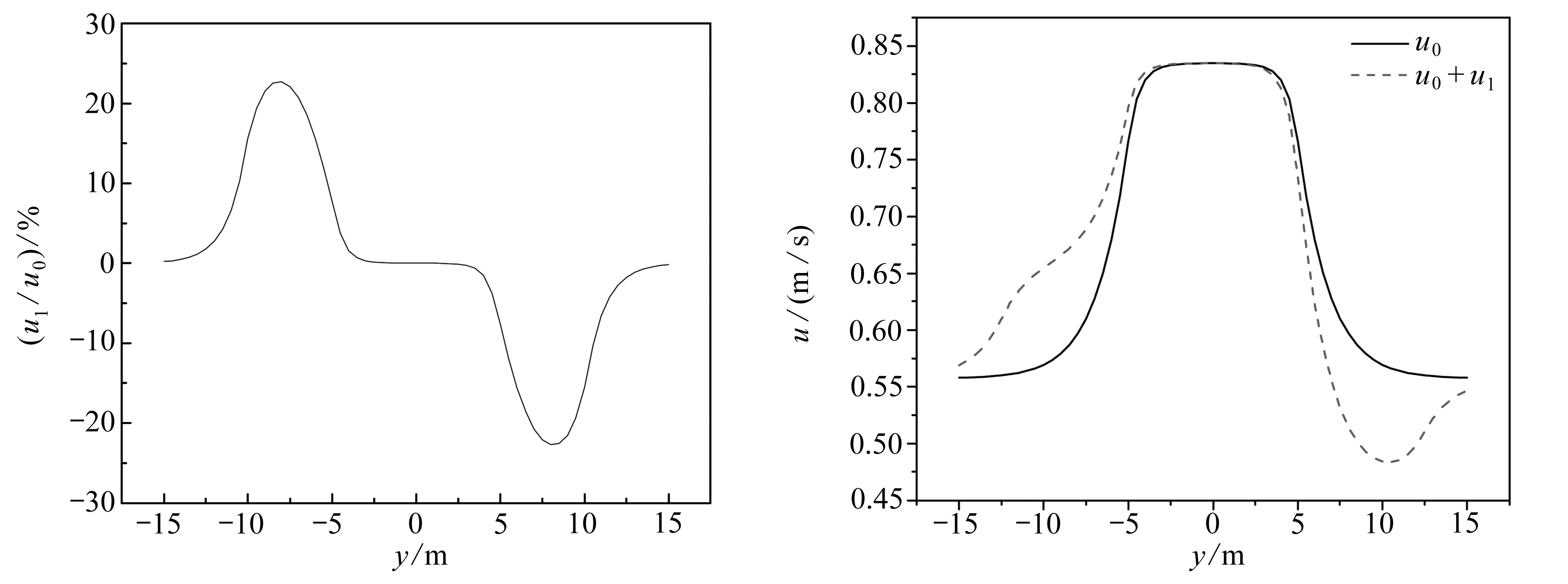
为便于分析斜向入流条件下横向流速分量对主流流速的影响幅度,将工况1的一阶流速u1除以零阶流速u0,获得主流流速修正值与原始值的比值,以该比值作为主流流速重分布的相对修正量,如图7所示.从图中可以看出,入流的“斜向”特性引起主流流速在入流侧增大约21.8%,在出流侧减小约21.8%,流速重分布主要出现在主槽两侧约一倍主槽宽度范围内,最大修正值出现在主槽两侧约1/2主槽宽度处,主槽内部流速重分布现象并不明显.将一阶量流速叠加在零阶量流速上,获得主流流速重分布后的流速沿河宽分布,见图8.从图中同样可以看出,相比顺河道来流情况,斜向来流使得主槽两侧一定范围内出现明显的流速重分布现象.
表2 不同滩槽水深比的计算工况设置
Table 2 Parameter configuration for computational cases with various floodplain-to-main channel water depth ratios

考虑到实际自然界河流的滩槽水深比差异变化范围很大,本文基于上述理论方法,针对4个不同的滩槽水深比工况进行流速重分布计算,研究滩槽水深比对速度分布的影响,工况设置如表2所示.

图7 主流流速重分布相对修正量 图8 主流流速重分布前后的流速分布比较
Fig. 7 Relative correction in velocity redistribution Fig. 8 Comparison of velocity distributions of the primaryof the primary flow flow with and without redistribution

(a) 一阶流速沿河宽分布 (b) 主流流速修正量随滩槽水深比变化
(a) Distribution of the 1st-order velocity (b) Variation of correction to the primary flow over the river width velocity against the floodplain-to-main channel water depth ratio
图9 滩槽水深比对流速重分布的影响
Fig. 9 Influence of the floodplain-to-main channel water depth ratio on velocity redistribution
上述各工况下,一阶流速即流速重分布修正量随滩槽水深比的变化如图9所示.从图9(a)可以看出,随着滩槽水深比的增大,一阶流速整体幅度减小,其沿河宽分布逐渐向平坦化变化,反映出由于入流斜向角度引起的流速重分布范围扩大,而峰值降低.不难推测,当滩槽水深比增大至1.0时,即滩地水深等于主槽水深,断面复式特性消失,此时主流流速分布的修正量将减小至零,即意味着流速重分布现象消失.因此,斜向来流条件下复式断面明渠主流流速重分布是滩槽水深比和来流斜向分量共同作用的结果,滩槽水深不同造成滩地和主槽流速的不同,可视为流速的初次重分布,该重分布沿河道中线两侧严格对称;而斜向来流则引起主流流速的再次变化,可视为流速的二次重分布,该重分布沿河道中线两侧不同,呈反对称形态,造成斜向入流侧流速增大而出流侧减小.主流流速修正量峰值随滩槽水深比增大而减小的趋势从图9(b)能够更清楚地看出,当滩槽水深比为1∶2时,斜向来流对主流流速最大影响幅度为11.6%,考虑到主槽两侧变化趋势相反,这意味着入流侧主流流速将比出流侧高出23.2%,呈明显不对称现象;而当滩槽水深比为3∶8时,斜向来流对主流流速最大影响幅度达21.8%,考虑到复式断面明渠滩槽水沙交换、滩槽二次流等现象本身流速量级较小[2,11,13],在不断推进对这些微观因素研究的同时,若忽略斜向来流影响将对复式明渠水流结构预测带来较大误差.
基于平面二维浅水方程并借鉴复式明渠水流求解的SKM,建立了复式断面明渠水流运动控制方程,选取斜向角度作为小参数,运用摄动法推导了小角度斜向入流条件下复式河道流速分布的线性解析解,并利用数值模拟结果进行了验证.理论分析结果表明:
1) 在斜向入流角度较小(θ<20°)的前提下,基于摄动法的流速分布线性理论解与数值模拟结果偏差在10%以内,理论成果较为可靠.
2) 复式断面明渠主流流速重分布是滩槽水深比和来流斜向分量共同作用的结果,滩槽水深差异造成滩地和主槽流速初次重分布,而斜向来流则引起主流流速的二次重分布.
3) 与初次重分布不同,由斜向来流引起的流速二次重分布沿河道中线两侧不同,呈反对称形态,造成斜向入流侧流速增大而出流侧减小.在入流斜向角度θ=13°、滩槽水深比3∶8的情况下,入流侧主流流速将比出流侧高出21.8%,影响范围集中在主槽两侧约一倍河宽内.
4) 随着滩槽水深比的增大,入流斜向角度引起的流速重分布修正值峰值减小,但影响范围逐渐扩大;流速重分布范围扩大,而峰值降低.
总之, 复式断面明渠斜向来流将造成主流流速在河道两侧的不对称分布,即使在小角度情况下,对流速分布影响幅度也可能超过滩槽二次流等微观因素,考虑这一影响将提高复式明渠水流结构预测精度,并为泥沙输移、河床演变及物质输运研究提供更为可靠的水动力基础.
参考文献(References):
[1] 钱宁. 河床演变学[M]. 北京: 科学出版社, 1987.(QIAN Ning. Fluvial Process[M]. Beijing: Science Press, 1987.(in Chinese))
[2] 王齐, 董耀华, 渠庚. 复式渠槽水沙输移特性研究综述[J]. 人民长江, 2015, 46(22): 30-34.(WANG Qi, DONG Yaohua, QU Geng. Review on researches of flow and sediment transport in compound channels[J]. Yangtze River, 2015, 46(22): 30-34.(in Chinese))
[3] 杨克君. 复式河槽水流阻力及泥沙输移特性研究[D]. 博士学位论文. 成都: 四川大学, 2006.(YANG Kejun. Flow resistance and sediment transport in compound channels[D]. PhD Thesis. Chengdu: Sichuan University, 2006.(in Chinese))
[4] 吴腾, 张红武, 张昊. 复式断面河槽流速横向分布及其对滩唇形成的影响[J]. 水利学报, 2009, 40(5): 535-541.(WU Teng, ZHANG Hongwu, ZHANG Hao. Transverse distribution of flow velocity in compound channel and its effects on floodplains levees[J]. Journal of Hydraulic Engineering, 2009, 40(5): 535-541.(in Chinese))
[5] 刘超, 杨克君, 刘兴年. 复式河槽漫滩水流流速分布二维解析解[J]. 水利学报, 2012, 43(S2): 27-34.(LIU Chao, YANG Kejun, LIU Xingnian. Two-dimensional analytical solutions to depth-averaged velocity in compound channels with overbank flows[J]. Journal of Hydraulic Engineering, 2012, 43(S2): 27-34.(in Chinese))
[6] 许唯临. 复式河道漫滩水流计算方法研究[J]. 水利学报, 2002, 33(6): 21-26.(XU Weilin. Study on computational method of over bank flow in channels with compound cross section[J]. Journal of Hydraulic Engineering, 2002, 33(6): 21-26.(in Chinese))
[7] 吉祖稳, 胡春宏. 复式河道滩槽交互区水沙运动机理[J]. 水科学进展, 2017, 28(3): 1-7.(JI Zuwen, HU Chunhong. Water-sediment movement mechanism in the trough interactive region of compound channels[J]. Advance in Water Science, 2017, 28(3): 1-7.(in Chinese))
[8] 肖柏青, 李然, 罗麟, 等. 非对称复式断面明渠中污染物输移扩散的大涡模拟[J]. 水利学报, 2011, 42(3): 309-314.(XIAO Baiqing, LI Ran, LUO Lin, et al. Large eddy simulation of pollutant dispersion in two asymmetric compound channels[J]. Journal of Hydraulic Engineering, 2011, 42(3): 309-314.(in Chinese))
[9] 槐文信, 高敏, 曾玉红, 等. 考虑滩地植被的复式断面河道水流的二维解析解[J]. 应用数学和力学, 2009, 30(9): 1049-1056.(HUAI Wenxin, GAO Min, ZENG Yuhong, et al. Two-dimensional analytic solution for compound channel flows with vegetated floodplains[J]. Applied Mathematics and Mechanics, 2009, 30(9): 1049-1056.(in Chinese))
[10] 刘超, 杨克君, 刘兴年, 等. 植被作用下的弯曲复式河槽漫滩水流2维解析解[J]. 四川大学学报(工程科学版), 2012, 44(6): 7-12.(LIU Chao, YANG Kejun, LIU Xingnian, et al. Analytical models for overbank flows in meandering channels with vegetated floodplains[J]. Journal of Sichuan University(Engineering Science Edition), 2012, 44(6): 7-12.(in Chinese))
[11] SHIONO K, KNIGHT D W. Turbulent open-channel flows with variable depth across the channel[J]. Journal of Fluid Mechanics, 1991, 222: 617-646.
[12] 许唯临, KNIGHT D W, 唐小南. 漫滩水流摩阻因子与涡粘性系数的研究[J]. 水科学进展, 2004, 15(6): 723-727.(XU Weilin, KNIGHT D W, TANG Xiaonan. Study on friction factor and eddy viscosity of overbank flows[J]. Advance in Water Science, 2004, 15(6): 723-727.(in Chinese))
[13] 杨中华, 高伟, 槐文信. 漫滩水流二次流项系数研究[J]. 应用数学和力学, 2010, 31(6): 681-689.(YANG Zhonghua, GAO Wei, HUAI Wenxin. Study on secondary flow coefficient of overbank flow[J]. Applied Mathematics and Mechanics, 2010, 31(6): 681-689.(in Chinese))
[14] 杨克君, 曹叔尤, 刘兴年, 等. 复式河槽流量计算方法比较与分析[J]. 水利学报, 2005, 36(5): 563-568.(YANG Kejun, CAO Shuyou, LIU Xingnian, et al. Comparison of methods for calculating flow capacity of channels with compound cross section[J]. Journal of Hydraulic Engineering, 2005, 36(5): 563-568.(in Chinese))
[15] ERVINE D A, BABAEYAN-KOOPAEI K, SELLIN R H J. Two-dimensional solution for straight and meandering overbank flows[J]. Journal of Hydraulic Engineering, 2000, 126(9): 653-669.
[16] 魏文礼, 洪云飞, 吕彬, 等. 复式断面明渠弯道水流三维雷诺应力模型数值模拟[J]. 应用力学学报, 2015, 32(4): 604-610.(WEI Wenli, HONG Yunfei, LÜ Bin, et al. 3D numerical simulation of flow fields for compound open bend channel using Reynolds stress model[J]. Chinese Journal of Applied Mechanics, 2015, 32(4): 604-610.(in Chinese))
[17] 梁爱国, 槐文信. 复式断面明渠二次流的数值模拟[J]. 应用基础与工程科学学报, 2008, 16(2): 296-304.(LIANG Aiguo, HUAI Wenxin. The predictions of the secondary currents in compound open-channels flows[J]. Journal of Basic Science and Engineering, 2008, 16(2): 296-304.(in Chinese))
[18] 张明亮, 沈永明, 吴修广, 等. 复式断面三维漫滩水流的数值模拟[J]. 水力发电学报, 2006, 25(5): 31-36.(ZHANG Mingliang, SHEN Yongming, WU Xiuguang, et al. 3-D numerical simulation on overbank flows in compound channels[J]. Journal of Hydroelectric Engineering, 2006, 25(5): 31-36.(in Chinese))
[19] 林斌良, SHIONO K. 复式断面明渠三维紊流的数值模拟[J]. 水利学报, 1995(3): 52-61.(LIN Binliang, SHIONO K. Three dimensional numerical modeling of compound open channel flows[J]. Journal of Hydraulic Engineering, 1995(3): 52-61.(in Chinese))
[20] 槐文信, 陈文学, 童汉毅, 等. 漫滩恒定明渠水流的三维数值模拟[J]. 水科学进展, 2003, 14(1): 15-19.(HUAI Wenxin, CHEN Wenxue, TONG Hanyi, et al. 3-D numerical simulation on overbank steady open channel flows in compound channels[J]. Advance in Water Science, 2003, 14(1): 15-19.(in Chinese))
[21] JENSEN J H, FREDSØE J. Oblique flow over dredged channels I: flow description[J]. Journal of Hydraulic Engineering, 1999, 125(11): 1181-1189.
[22] 曾玉红, 王月华, 槐文信. 梯形复式断面均匀流水力计算[J]. 应用数学和力学, 2010, 31(8): 901-908.(ZENG Yuhong, WANG Yuehua, HUAI Wenxin. Hydraulic calculation of steady uniform flows in trapezoidal compound open channels[J]. Applied Mathematics and Mechanics, 2010, 31(8): 901-908.(in Chinese))
[23] 白玉川, 许栋, 王玉琦, 等. 二维溃坝波遇障碍物的水流泥沙数值模拟[J]. 水利学报, 2005, 36(5): 538-543.(BAI Yuchuan, XU Dong, WANG Yuqi, et al. 2-D numerical simulation for water flow and sediment transport of dam-break wave[J]. Journal of Hydraulic Engineering, 2005, 36(5): 538-543.(in Chinese))
[24] 白玉川, 顾元棪, 邢焕政. 水流泥沙水质数学模型理论及应用[M]. 天津: 天津大学出版社, 2005.(BAI Yuchuan, GU Yuanyan, XING Huanzheng. Theory and Application Mathematical Model for Water Flow Sediment and Quality[M]. Tianjin: Tianjin University Press, 2005.(in Chinese))
XU Dong, HUANG Xionghe, JI Chunning, BAI Yuchuan
(State Key Laboratory of Hydraulic Engineering Simulation and Safety(Tianjin University), Tianjin 300072, P.R.China)
Abstract: The directions of flow in natural compound river channels are frequently influenced by the discharge and floodplain-main channel configuration, which may lead to a small intersection angle between the flow and the channel. Hence, lots of existent theories for floodplain flows under the assumption of uniform straight channels may be inapplicable. To investigate the influence of oblique inflow, shallow water equations were used to describe flow motion in compound open channels. The perturbation method was used with a small parameter of the oblique angle to derive the analytical solution for flow in compound open channels under inflow with small oblique angles. The solutions were verified with numerical simulation results and the flow velocity distributions agreed well. Theoretical results show that the obliquity of inlet flow lead to asymmetrical velocity distribution across the cross section of a compound channel, which is featured by an increase of velocity in the upstream side and a decrease in the downstream side of the main channel. Under an oblique angle of 13° and a floodplain-main channel water depth ratio of 3∶8, the flow velocity deviation may reach 21.8% of the value in the straight flow case. Such a deviation increases with the decreasing of the floodplain-main channel water depth ratio. The proposed modification to flow velocity distribution may improve the accuracy of hydrodynamic conditions for further research on sediment transport and evolutions of compound channel rivers.
Key words: compound channel; small oblique angle inflow; perturbation method; linear theory
Foundation item: The National Natural Science Foundation of China(51621092; 51579175; 51009105)
文章编号:1000-0887(2018)07-0785-13
ⓒ 应用数学和力学编委会,ISSN 1000-0887
*收稿日期: 2017-06-28;
修订日期:2018-05-23
基金项目: 国家自然科学基金创新研究群体项目(51621092);国家自然科学基金(51579175; 51009105);天津市科技支撑计划(16ZXCXSF00020);天津市应用基础与前沿技术研究计划(12JCQNJC05600)
作者简介: 许栋(1980—),男,副教授,博士(通讯作者. E-mail: xudong@tju.edu.cn).
中图分类号: TV133
文献标志码:A
DOI: 10.21656/1000-0887.380183
引用本文/Cite this paper:
许栋, 黄雄合, 及春宁, 白玉川. 小角度斜向入流条件下复式断面明渠流速重分布线性理论[J]. 应用数学和力学, 2018, 39(7): 785-797.
XU Dong, HUANG Xionghe, JI Chunning, BAI Yuchuan. Linear theory of velocity redistribution for flow in compound open channels under inflow with small oblique angles[J]. Applied Mathematics and Mechanics, 2018, 39(7): 785-797.