曾 亮
(广东理工学院 基础教学部, 广东 肇庆 526100)
摘要: 针对非等间距递减序列的预测问题,首先构建了一阶反向累加非等间距GM(1,1)模型(简称为非等间距GOM(1,1)模型),并给出了模型参数的最小二乘解和可用于预测的离散时间响应式.为进一步提高模拟预测精度,利用分数阶累加思想,提出了分数阶非等间距GOM(1,1)模型.以平均模拟相对误差最小化为目标,建立非线性规划模型可求解得到最优阶数.最后,以数值模拟和钛合金疲劳强度随温度变化预测为例,证实了该文提出模型的有效性和实用性.
关 键 词: 灰色预测模型; 反向累加; 非等间距; GOM(1,1)模型; 分数阶
针对贫信息的小样本预测问题,Deng(邓聚龙)教授提出了灰色预测模型[1],其核心代表GM(1,1)模型已被广泛应用于各个领域[2-5].GM(1,1)模型是一种基于一阶累加生成后建立的灰色模型,现有研究中主要针对的是非负递增序列的建模.对于现实中存在着的非负递减序列,如果将这些序列进行一阶累加,则生成序列为递增序列,建立模型后得到的拟合值也是递增的.此时对拟合值进行累减还原得到原始序列的模拟值时,就会产生不合理的误差[6-7].
为避免出现一些不合理误差,针对非负递减序列,宋中民等[6]首次给出了反向累加生成的定义,构建了反向累加GM(1,1)模型(简记为GOM(1,1)模型),并将其应用于害虫在某农药作用下单位面积内的数量变化预测.在此基础上,部分学者对模型的优化和拓展进行了深入研究.杨知等[8]通过改进传统GOM(1,1)模型的背景值,构建了一种优化的GOM(1,1)模型,通过实例表明优化后模型提高了模拟精度.何霞等[9]在文献[8]所提模型的基础上对初值进行修正,得到了两种不同形式的初值修正GOM(1,1)模型,经数值模拟证实了两种模型都具有较高的模拟精度,比较适合高速递减序列的建模.练郑伟等[10]给出了反向累加生成序列的灰建模条件,并在假设反向累加后序列具有非齐次指数形式的前提下,推导得到了GOM(1,1)模型的最优背景值.
近年来,分数阶系统受到了越来越多学者的关注,已成为了研究的热点问题[11-12].为减小模型的扰动界,增强模型的稳定性,Wu(吴利丰)等[13-14]借用分数阶蕴含着的“in between”思想,将一阶和整数阶累加生成算子进行拓展,提出了分数阶累加生成算子,并将其应用到传统GM(1,1)模型和离散GM(1,1)模型中,取得了较好的效果.刘解放等[15]利用分数阶累加生成算子,将反向累加方式拓展到离散GM(1,1)模型,提出了分数阶反向累加离散GM(1,1)模型;在文献[16]中将反向累加方式拓展到针对近似非齐次指数序列的NHGM(1,1,k)模型[17],分别提出了一阶和分数阶反向累加NHGM(1,1,k)模型.
以上研究都是基于等间距情形下的优化和拓展,关于非等间距情形的研究文献并不多见.于丽亚等[18]将反向累加推广到非等间距的情形, 建立了非等间距GOM(1,1)模型, 并将其应用于全国经济林面积的模拟中, 取得了一定的效果.但由于该文中的应用实例是等间距的, 而且没有进行预测研究, 所以并不能较好地反映非等间距GOM(1,1)模型的优势.本文以文献[18]为参考, 根据灰色模型的建模机理,重新对由反向累加序列构建的白化微分方程进行推导, 得到了一种非等间距GOM(1,1)模型的新形式, 并给出了模型参数的最小二乘解和可用于预测的离散时间响应式.为进一步提高模拟预测精度, 结合分数阶累加思想, 构建了分数阶非等间距GOM(1,1)模型.最后,通过数值模拟和一个应用实例来验证本文提出模型的有效性和实用性.
假设非负原始数据序列X(0)={x(0)(1),x(0)(2),…,x(0)(n)}.若假定
(1)
则称序列X(1)={x(1)(1),x(1)(2),…,x(1)(n)}为X(0)的一阶反向累加生成序列.
式(1)采用矩阵形式可表示为
X(1)=X(0)A,
其中A为一阶反向累加生成矩阵,即

故X(1)中的第k项可表示为
(2)
若再对X(1)进行一阶反向累加生成,则可得到原始序列X(0)的二阶反向累加生成序列:
X(2)=X(1)A=X(0)A2.
依此进行下去,则可得到原始序列X(0)的M(M为正整数)阶反向累加生成序列:
X(M)=X(0)AM,
式中AM为M阶反向累加生成矩阵,容易得到
其中

即

(3)
根据组合数的广义定义[19],对AM进行推广,可得分数阶反向累加生成矩阵Ar(r≥0),即

(4)
于是X(0)的r阶反向累加生成序列X(r)={x(r)(1),x(r)(2),…,x(r)(n)}用矩阵形式表示为
X(r)=X(0)Ar,
其中X(r)的第k项可表示为
(5)
由式(2)和式(5)可看出一阶反向累加生成和r阶反向累加生成的不同,X(1)中的每个值可视为是权值都为1的原始数据的总和,而X(r)中的每个值可视为是不同权值下的原始数据的总和.若取r=1.2,n=4,则可计算得

从矩阵A1.2中数据可看出,随着x(0)(k)中k值的增大,其对应的权值也越大,体现了充分利用系统新信息的思想.
定义1 设时间序列K={k1,k2,…,kn},其对应的系统行为观察值序列X(0)={x(0)(k1),x(0)(k2),…,x(0)(kn)},记间距
若Δki=ki+1-ki(i=1,2,…,n-1)不为恒定常数,则称序列X(0)为非等间距序列.
参照式(2)的累加方式,将间距作为权值进行累加,得到非等间距序列X(0)的一阶反向累加生成序列X(1)={x(1)(k1),x(1)(k2),…,x(1)(kn)},其中
(6)
序列Z(1)={z(1)(k2),z(1)(k3),…,z(1)(kn)}为X(1)的紧邻均值生成序列,其中
对序列X(1)构建如下形式的微分方程:
(7)
在区间[ki-1,ki]上对方程(7)两边积分,得
dx(1)(t)+
ax(1)(t)dt=
bdt,
即
x(1)(ki)-x(1)(ki-1)+a
x(1)(t)dt=bΔki-1.
由于

x(0)(ki-1)Δki-1+x(1)(ki),
则
-x(0)(ki-1)Δki-1+a
x(1)(t)dt=bΔki-1.
若在[ki-1,ki]上用梯形面积z(1)(ki)Δki-1代替曲边梯形面积
x(1)(t)dt,则
-x(0)(ki-1)Δki-1+az(1)(ki)Δki-1=bΔki-1,
即
-x(0)(ki-1)+az(1)(ki)=b, i=2,3,…,n.
定义2 称
-x(0)(ki-1)+az(1)(ki)=b, i=2,3,…,n
(8)
为一阶非等间距GOM(1,1)模型,并称式(1)为该模型的白化形式.
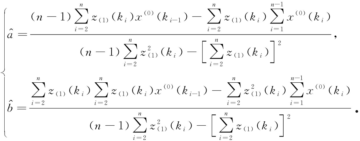
定理1 令

则非等间距GOM(1,1)模型中的辨识参数a,b的最小二乘估计值为

(9)
证明 由最小二乘计算式可得
(10)
由于

则当|BTB|≠0时,

又

则

定理2 设
满足定理1所述条件.若规定t=kn时,
则非等间距GOM(1,1)模型的时间响应函数为
(11)
证明 由式(7)可解得
则模型的时间响应函数为
(12)
令
得
将C0代入式(12),得
利用非等间距GOM(1,1)模型进行外推预测时,根据反向累加的定义,在累减还原过程中,最后外推时点还原值的计算需要扩充一步间距信息,即需要多给出一个外推时点值.考虑到间距差异过大,易导致模型模拟预测精度不高[20],所以本文取扩充间距为已知原始序列间距的平均,即
其中n为原始序列个数,τ为预测的时点个数.于是第n+τ+1个时点值(即扩充的外推时点值)可设定为
基于以上分析,综合考虑反向累加生成的定义以及定理2中模型初值的确定方式,可得非等间距GOM(1,1)模型的还原式为

(13)
其中![]()
若K和X(0)为定义1所述,现借用分数阶累加思想,参照式(5)和式(6)的累加方式,可构造得到X(0)的r阶反向累加生成序列X(r)={x(r)(k1),x(r)(k2),…,x(r)(kn)},其中
(14)
且规定
k=1,2,….
X(r)的紧邻均值生成序列Z(r)={z(r)(k2),z(r)(k3),…,z(r)(kn)},其中
对序列X(r)构建如下形式的微分方程:
(15)
在区间[ki-1,ki]上对方程(15)两边积分,得
dx(r)(t)+
ax(r)(t)dt=
bdt,
即
x(r)(ki)-x(r)(ki-1)+a
x(r)(t)dt=bΔki-1.
若在[ki-1,ki]上用梯形面积z(r)(ki)Δki-1代替曲边梯形面积
x(r)(t)dt,则
x(r)(ki)-x(r)(ki-1)+az(r)(ki)Δki-1=bΔki-1,
即
定义3 称
(16)
为r阶非等间距GOM(1,1)模型(简称为非等间距GOMr(1,1)模型),并称式(15)为该模型的白化形式.
定理3 令

则非等间距GOMr(1,1)模型中的辨识参数a,b的最小二乘估计值为

(17)
定理3的证明方法同定理1,此略.
定理4 设
满足定理3所述条件,若规定t=kn时,
则非等间距GOMr(1,1)模型的时间响应函数为
(18)
定理4的证明方法同定理2,此略.
参照非等间距GOM(1,1)模型还原式的计算原理,下面给出非等间距GOMr(1,1)模型的还原式:

其中τ为预测的时点个数,![]()
平均模拟相对误差常被用来衡量一个模型的模拟效果.一般认为,平均模拟相对误差越小说明模型的模拟效果越好,反之亦然.下面给出非等间距灰色模型的平均模拟相对误差的一般定义.
定义4 若K和X(0)如定义1所述,
为X(0)相对应的模型模拟值,则称
(19)
为模型的平均模拟相对误差.
对于非等间距GOMr(1,1)模型,其模拟预测效果与分数阶阶数r相关.为达到最优的模拟预测效果,本文以平均模拟相对误差最小化为目标,分数阶阶数r和参数a,b之间满足的关系为约束条件,建立如下非线性规划模型[21]:
s.t. r≥0,

i=1,2,…,n,



i=1,2,…,n-1,
该规划模型可借助数值软件编程求解,得出最优的阶数r和参数a,b的值.将获得的参数值代入模型的时间响应式和还原式中,便可得到模型在最优模拟精度下的模拟预测结果.
为验证本文提出模型的有效性,现构造一非等间距递减序列进行数值模拟.取y=10e-0.08x+2,令x=1,3,4,7,9,11,得数据序列:
X={11.231 163, 9.866 279, 9.261 490, 7.712 091, 6.867 523, 6.147 829}.
用前5个数据建立模型,第6个数据用来检验模型的预测效果,即取原始数据序列:
X(0)={11.231 163, 9.866 279, 9.261 490, 7.712 091, 6.867 523}.
对X(0)分别建立非等间距GM(1,1)模型、非等间距GOM(1,1)模型和非等间距GOMr(1,1)模型.3种模型的时间响应函数分别为
① 非等间距GM(1,1)模型:
② 非等间距GOM(1,1)模型![]()
③ 非等间距GOMr(1,1)模型![]()
以上3种模型对原始序列的模拟预测结果和相对误差比较如表1所示.
表1 3种灰色模型的模拟预测相对误差比较
Table 1 Comparison of the relative fitting errors and relative predictive errors of the 3 models

从表1可以看出,非等间距GM(1,1)模型的平均模拟相对误差为1.59%,而非等间距GOM(1,1)模型和非等间距GOMr(1,1)模型的平均模拟相对误差分别为1.50%和0.55%,均低于前者.从一步预测误差来看,非等间距GM(1,1)模型的预测误差为3.54%,非等间距GOM(1,1)模型和非等间距GOMr(1,1)模型的预测误差分别为0.35%和1.16%.综合分析可知,非等间距GOM(1,1)模型和非等间距GOMr(1,1)模型的模拟预测精度都高于非等间距GM(1,1)模型,从而表明了本文提出的模型比较适合对非等间距递减序列的建模,同时也证实了本文提出模型的有效性.
文献[22]中给出了钛合金疲劳强度随温度变化关系数据,具体见表2.此数据列为非等间距递减序列,适合于本文所提模型.
表2 钛合金疲劳强度随温度变化表
Table 2 Variation of the fatigue strength of Ti alloy with temperature

现对前7个数据分别建立非等间距GM(1,1)模型、非等间距GOM(1,1)模型和非等间距GOMr(1,1)模型,最后1个数据用来检验模型的预测效果.3种模型的时间响应函数分别为
① 非等间距GM(1,1)模型:
302.596 626e-0.000 973(ki-100)+580 862.596 626, i=1,2,…;
② 非等间距GOM(1,1)模型![]()
③ 非等间距GOMr(1,1)模型![]()
以上3种模型得到的模拟预测值及相对误差的比较结果见表3.
表3 3种灰色模型对钛合金疲劳强度的模拟预测结果
Table 3 Simulation and prediction results of the fatigue strength of Ti alloy with the 3 models

从表3可以看出,非等间距GOM(1,1)模型的平均模拟相对误差和一步预测误差分别为0.67%和1.48%,而非等间距GOMr(1,1)模型相对应于0.65%和1.16%,提高了模拟预测精度.虽然本文提出模型的平均模拟相对误差和一步预测误差都分别大于传统非等间距GM(1,1)模型的0.30%和0.52%,相应精度并没有得到提高(这与原始数据的特点和预测扩充间距的取法有一定的关系),但它们的模拟精度都高于99.3%,预测精度都高于98.5%,模型的精度等级高[22],说明其适用于对钛合金疲劳强度的模拟预测,由此证实了本文提出的模型具有一定的实用性.
对于现实中存在的非等间距递减序列的预测问题,本文利用反向累加思想,提出了非等间距GOM(1,1)模型,它是非等间距GM(1,1)模型的一类拓展.为进一步提高模拟预测精度,结合分数阶累加思想,充分利用系统新信息,构建了分数阶非等间距GOM(1,1)模型.通过数值模拟和应用实例表明本文提出的模型具有可行性和实用性,而且相对于一阶反向累加,分数阶反向累加能进一步提高建模精度.由此说明本文提出的模型是对灰色预测理论的有效扩展和补充.在外推预测时,本文选取的扩充间距为已知间距的平均值,但通过模拟实验及研究发现,预测精度与扩充间距有关联,取平均间距并不一定使得预测精度达到最优.因此,如何选取合理的扩充间距使预测精度达到最优,是值得进一步研究的问题.
致谢 本文作者衷心感谢广东理工学院科研项目(GKJ2016002)对本文的资助.
参考文献(References):
[1] DENG Julong. Control problem of grey systems[J]. Systems & Control Letters, 1982, 1(5): 288-294.
[2] ZHAO Huiru, GUO Sen. An optimized grey model for annual power load forecasting[J]. Energy, 2016, 107: 272-286.
[3] LIU Li, WANG Qianru, WANG Jianzhou, et al. A rolling grey model optimized by particle swarm optimization in economic prediction[J]. Computational Intelligence, 2016, 32(3): 391-419.
[4] WU Chengmau, WEN Jetchau, CHANG Kouchiang. Evaluation of the gray model GM(1,1) applied to soil particle distribution[J]. Soil Science Society of America Journal, 2009, 73(6): 1775-1785.
[5] LI Cuiping, QIN Jiexuan, LI Jiajie, et al. The accident early warning system for iron and steel enterprises based on combination weighting and grey prediction model GM(1,1)[J]. Safety Science, 2016, 89: 19-27.
[6] 宋中民, 肖新平. 反向累加生成及灰色GOM(1,1)模型[J]. 武汉理工大学学报(交通科学与工程版), 2002, 26(4): 531-533.(SONG Zhongmin, XIAO Xinping. The accumulated generating operation in opposite direction and its use in grey model GOM(1,1)[J]. Journal of Wuhan University of Technology(Transportation Science & Engineering), 2002, 26(4): 531-533.(in Chinese))
[7] 关叶青, 刘桦. 递减序列的灰色建模方法[J]. 系统工程, 2015, 33(4): 154-158.(GUAN Yeqing, LIU Hua. Grey model based on descending sequence[J]. Systems Engineering, 2015, 33(4): 154-158.(in Chinese))
[8] 杨知, 任鹏, 党耀国. 反向累加生成与灰色GOM(1,1)模型的优化[J]. 系统工程理论与实践, 2009, 29(8): 160-164.(YANG Zhi, REN Peng, DANG Yaoguo. Grey opposite-direction accumulated generating and optimization of GOM(1,1) model[J]. Systems Engineering: Theory & Practice, 2009, 29(8):160-164.(in Chinese))
[9] 何霞, 刘卫锋. 两个初值修正灰色GOM(1,1)模型及其等价性研究[J]. 杭州师范大学学报(自然科学版), 2011, 10(3): 217-222.(HE Xia, LIU Weifeng. Two grey GOM(1,1) models based on modified initial value and its equivalence[J]. Journal of Hangzhou Normal University(Natural Science Edition), 2011, 10(3): 217-222.(in Chinese))
[10] 练郑伟, 党耀国, 王正新. 反向累加生成的特性及GOM(1,1)模型的优化[J]. 系统工程理论与实践, 2013, 33(9): 2306-2312.(LIAN Zhengwei, DANG Yaoguo, WANG Zhengxin. Properties of accumulated generating operation in opposite-direction and optimization of GOM(1,1) model[J]. Systems Engineering: Theory & Practice, 2013, 33(9): 2306-2312.(in Chinese))
[11] MONJE C A, CHEN Y Q, VINAGRE B M, et al. Fractional-Order Systems and Controls: Fundamentals and Applications[M]. London: Springer, 2010.
[12] 张玮玮, 吴然超. 基于线性控制的分数阶混沌系统的对偶投影同步[J]. 应用数学和力学, 2016, 37(7): 710-717.(ZHANG Weiwei, WU Ranchao. Dual projective synchronization of fractional-order chaotic systems with a linear controller[J]. Applied Mathematics and Mechanics, 2016, 37(7): 710-717.(in Chinese))
[13] WU Lifeng, LIU Sifeng, YAO Ligen, et al. Grey system model with the fractional order accumulation[J]. Communications in Nonlinear Science and Numerical Simulation, 2013, 18(7): 1775-1785.
[14] 吴利丰, 刘思峰, 姚立根. 基于分数阶累加的离散灰色模型[J]. 系统工程理论与实践, 2014, 34(7): 1822-1827.(WU Lifeng, LIU Sifeng, YAO Ligen. Discrete grey model based on fractional order accumulate[J]. Systems Engineering: Theory & Practice, 2014, 34(7): 1822-1827.(in Chinese))
[15] 刘解放, 刘思峰, 吴利丰, 等. 分数阶反向累加离散灰色模型及其应用研究[J]. 系统工程与电子技术, 2016, 38(3): 719-724.(LIU Jiefang, LIU Sifeng, WU Lifeng, et al. Fractional order reverse accumulative discrete grey model and its application[J]. Systems Engineering and Electronics, 2016, 38(3): 719-724.(in Chinese))
[16] 刘解放, 刘思峰, 吴利丰, 等. 分数阶反向累加NHGM(1,1,k)模型及其应用研究[J]. 系统工程理论与实践, 2016, 36(4): 1033-1041.(LIU Jiefang, LIU Sifeng, WU Lifeng, et al. Research on fractional order reverse accumulative NHGM(1,1,k) model and its application[J]. Systems Engineering: Theory & Practice, 2016, 36(4): 1033-1041.(in Chinese))
[17] 战立青, 施化吉. 近似非齐次指数数据的灰色建模方法与模型[J]. 系统工程理论与实践, 2013, 33(3): 689-694.(ZHAN Liqing, SHI Huaji. Methods and model of grey modeling for approximation non-homogenous exponential data[J]. Systems Engineering: Theory & Practice, 2013, 33(3): 689-694.(in Chinese))
[18] 于丽亚, 王丰效. 基于粒子群算法的非等距GOM(1,1)模型[J]. 纯粹数学与应用数学, 2011, 27(4): 472-476.(YU Liya, WANG Fengxiao. Non-equidistant GOM(1,1) model based on particle swarm optimization algorithm[J]. Pure and Applied Mathematics, 2011, 27(4): 472-476.(in Chinese))
[19] 屈婉玲. 组合数学[M]. 北京: 北京大学出版社, 1989: 48-51.(QU Wanling. Combinatorial Mathematics[M]. Beijing: Peking University Press, 1989: 48-51.(in Chinese))
[20] 罗佑新, 周继荣. 非等间距GM(1,1)模型及其在疲劳试验数据处理和疲劳试验在线监测中的应用[J]. 机械强度, 1996, 18(3): 60-63.(LUO Youxin, ZHOU Jirong. Nonequidistance GM(1,1) model and its application in fatigue experimental data processing and on-line control[J]. Journal of Mechanical Strength, 1996, 18(3): 60-63.(in Chinese))
[21] 王正新, 党耀国, 赵洁珏. 优化的GM(1,1)幂模型及其应用[J]. 系统工程理论与实践, 2012, 32(9): 1973-1978.(WANG Zhengxin, DANG Yaoguo, ZHAO Jiejue. Optimized GM(1,1) power model and its application[J]. Systems Engineering: Theory & Practice, 2012, 32(9): 1973-1978.(in Chinese))
[22] 韩晋, 杨岳, 陈峰, 等. 基于非等时距加权灰色模型与神经网络的组合预测算法[J]. 应用数学和力学, 2013, 34(4): 408-419.(HAN Jin, YANG Yue, CHEN Feng, et al. Combination forecasting algorithm based on non-equal interval weighted grey model and neural network[J]. Applied Mathematics and Mechanics, 2013, 34(4): 408-419.(in Chinese))
ZENG Liang
(Department of Basic Courses, Guangdong Polytechnic College, Zhaoqing, Guangdong 526100, P.R.China)
Abstract: For the prediction of non-equidistant decreasing series, a non-equidistant GM(1,1) model based on the 1st-order reverse accumulation was constructed, and the least square solutions of the model parameters and the discrete time response functions applicable to prediction were given. In order to further improve the prediction accuracy, a fractional-order reverse accumulation non-equidistant GM(1,1) model was proposed. With the objective of minimizing the average relative error of simulation, a nonlinear programming model was established to obtain the optimal order. Finally, numerical simulation and an example of the prediction of the fatigue strength of Ti alloy were given to verify the validity and practicability of the proposed model.
Key words: grey prediction model; reverse accumulation; non-equidistant; GOM(1,1) model; fractional order
Foundation item: The National Natural Science Foundation of China(61472089)
文章编号:1000-0887(2018)07-0841-14
ⓒ 应用数学和力学编委会,ISSN 1000-0887
*收稿日期: 2017-09-07;
修订日期:2017-11-09
基金项目: 国家自然科学基金(61472089);广东省普通高校特色创新项目(2016KTSCX164)
作者简介: 曾亮(1982—),男,副教授(E-mail: zengliang19820809@126.com).
中图分类号: O29
文献标志码:A
DOI: 10.21656/1000-0887.380252
引用本文/Cite this paper:
曾亮. 分数阶反向累加非等间距GM(1,1)模型及应用[J]. 应用数学和力学, 2018, 39(7): 841-854.
ZENG Liang. Non-equidistant GM(1,1) models based on fractional-order reverse accumulation and the application[J]. Applied Mathematics and Mechanics, 2018, 39(7): 841-854.