郭治华, 曹华荣
(西安电子科技大学 数学与统计学院, 西安 710071)
摘要 : 主要研究了一类具有年龄结构的Lotka-Volterra竞争系统行波解的稳定性 . 在拟单调的情形下, 利用解析半群理论和抽象泛函微分方程理论,首先建立起系统初值问题的解在 R 上的存在性和比较原理 . 然后基于加权能量法、比较原理和嵌入定理, 建立起该系统在大初始扰动(即除去当 x →-∞时在行波解附近的初始扰动是指数衰减的, 在其他位置的初始扰动可以任意大)下, 单稳大波速行波解的全局指数稳定性 . 研究结果表明, 行波解作为系统的稳态解, 通常决定着初值问题解的长时间渐近行为 . 其稳定性揭示了种间竞争的现象和结果能够被清晰地被观测到, 而不受外界因素的干扰 .
关 键 词 : Lotka-Volterra竞争模型; 年龄结构; 行波解; 稳定性
在生物数学中, 描述种群间为争夺有限同种生存资源而相互竞争的情形, 可表述为一个Lotka-Volterra竞争模型, 可参阅文献[1-6] . 另外, 考虑到物种的生命一般会经历多个阶段, 而在种群动力学中通常利用年龄结构模型刻画从出生到成熟阶段种群的增长 [7-8] . 因此, 在封闭有界的空间区域内所有物种可随机扩散的前提下, Li和Zhang [9] 研究了如下系统:

(1)
其中 u ( t , x )和 v ( t , x )分别表示物种 u 和 v 在 t 时刻 x 位置处成年个体的密度 . d 1 >0( d 2 >0)是物种 u ( v )的扩散系数, α i >0( i =1,2)是成年个体的增长率, η i >0和 p i >0( i =1,2)分别表示由于种内竞争和种间竞争产生的死亡率 . G 1 ( y ) 和 G 2 ( y )是系统(1)中两个具有紧支集的核函数, 其中
这里 γ 1 >0和 γ 2 >0分别表示物种 u 和物种 v 非成年个体的扩散系数 .
针对系统(1), Al-Omari和Gourley [6] 对其平衡点的稳定性进行了全面分析 . 在存在多个平衡点的情形下, Li和Zhang [9] 找到了渐近传播速度 c * ,并证实了连接两个半平凡平衡点和连接半平凡平衡点与共存平衡点的行波解的存在性 . 随后, Zhang和Li等 [10] 进一步得到连接平凡平衡点和共存平衡点的行波解的存在性 . 尽管对于系统(1)的行波解的存在性已经取得很好的结果, 但迄今为止, 其行波解的稳定性仍没有任何结论 . 故本文旨在研究系统(1)的行波解的稳定性 .
显然, 这里有四个空间一致的平衡点: 平凡平衡点 E 0 (0,0), 两个半平凡平衡点 E 1 ( u * ,0)和 E 2 (0, v * )以及共存平衡点 ![]()
其中
u * ![]()
![]()
![]()
![]()
假设系统参数满足如下条件:
(H1) α 1 p 2 < α 2 η 1 , α 2 p 1 > α 1 η 2 ;
(H2) 2 p 1 v * >2 α 1 +4 η 1 u * + p 1 u * +2 p 2 v * ,
4 η 2 v * >2 α 2 +3 p 2 u * + p 1 u * +2 p 2 v * .
由条件(H1)可知, E 1 是不稳定的,
不存在, E 2 是全局吸引的 . 故在单稳的假设下, 本文将研究连接 E 1 和 E 2 的行波解的稳定性 .
近年来, 对各类反应扩散方程行波解稳定性的研究已有许多结果 . 例如Lin等 [11] , Huang和Mei等 [8] , Mei和Ou等 [7] 分别对于Nicholson’s blowflies方程、非局部反应扩散方程和年龄结构模型建立起行波解稳定性 . 对于反应扩散系统行波解稳定性的讨论, 尤其一般形式的Lotka-Volterra竞争系统:

Leung等 [12] 借助谱分析的方法,建立了单稳行波解的全局指数渐近稳定性 . 与此同时, Lin和Li [13] 又将这一方法运用到双稳时-空非局部时滞的Lotka-Volterra竞争系统中 . 最近, Chang [14] 再次利用谱分析方法, 研究了三种群互相竞争的无时滞Lotka-Volterra系统:
值得注意的是, 谱分析方法得到的仅仅是局部稳定性的结果, 并且其模型线性化算子特征值的验证十分复杂 . 因此, 对于单稳(非局部)时滞反应扩散系统和离散反应扩散系统行波解稳定性的研究, 需要选择恰当的解决方法 . 其中, Gardner [15] 借助度理论的方法以及Wu和Li [16] 通过构造上下解结合挤压法讨论反应扩散系统行波解的稳定性, 但是度理论方法论证比较繁琐, 而挤压法不能得到指数稳定的结果 . 为了克服上述论证方法的缺点, Lü和Wang [17] 利用加权能量法结合比较原理, 建立起以下合作型Lotka-Volterra模型:

得到了单稳行波解的指数渐近稳定性 . 近期, Ma等 [18] 和Tian、Zhang [19] 将此方法进一步推广到了三种群合作-竞争Lotka-Volterra系统以及空间离散的Lotka-Volterra竞争模型, 并得到单稳行波解在加权 L ∞ -空间上的全局渐近稳定性 . 另外, 对于Lotka-Volterra模型周期行波解以及 n -维Lotka-Volterra系统平面波解的稳定性的研究, 详见文献[20-23] .
受以上研究结果的启发 [15-23] , 本文将采用加权能量法结合比较原理, 验证系统(1)行波解的稳定性 . 借助文献[18]扰动系统的构造技巧, 首先, 建立相应的扰动系统 . 进一步, 采用加权能量方法 [7-8,11] , 得到解的能量指数衰减估计 . 最后, 利用嵌入定理证明行波解的稳定性, 表明初值问题的解是随着时间的增长以指数的形式一致趋近于行波解 .
本文主要工作分为3部分 . 第一, 给出系统(1)的行波解的存在性, 以及其相应的初值问题解的存在唯一性和比较原理 . 第二, 证明大波速行波解的全局渐近指数稳定性 . 第三, 对研究内容进行总结 .
在随后的证明中, 将会用到以下Banach空间: L p ( I )( p ≥1)是Lebesque空间, 其范数可表示为
对于某个权函数
是加权的Lebesque空间, 其范数为
是加权的Sobolev空间, 其范数为
并且当 p =2时,
令 T >0, B是Banach空间 . C ([0, T ]; B)表示定义在[0, T ]上的连续函数空间, L 2 ([0, T ]; B)表示定义在[0, T ]上的 L 2 函数空间 .
为了研究的需要, 通过线性变换 u u * - u , v v , 把竞争系统(1)转化为相互等价的合作系统:

(2)
其满足初始条件:
z 0 ( s , x )=( u 0 ( s , x ), v 0 ( s , x )), ( s , x )∈(- τ ,0]× R , τ max{ τ 1 , τ 2 } .
(3)
称系统(2)的一个解 z ( t , x )=( u ( t , x ), v ( t , x ))是行波解, 若
z ( t , x )= Φ ( x + ct ) ( φ ( x + ct ), ψ ( x + ct ))=( φ ( ξ ), ψ ( ξ )),
∀( t , ξ )∈(- τ ,∞)× R ,
(4)
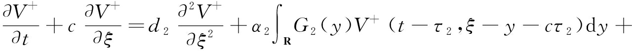
这里 c >0是波速, ξ = x + ct . 将式(4)代入式(2)中, 得相应的波廓系统为

(5)
并满足渐近边界条件:
( φ (-∞), ψ (-∞))=(0,0) 0 , ( φ (∞), ψ (∞))=( u * , v * ) β .
(6)
根据文献[9]中的引理3.4以及Liang等 [24] 和Guo等 [25] 的论证, 可知最小波速为
(7)
其中 λ ( μ )是特征方程
的根 . 关于系统(2)连接 0 和 β 单稳行波解的存在性, Li和Zhang [9] 已经给出具体详细的论证过程, 其主要结论如下 .
定理1 假设条件(H1)成立 .
如果 c ≥ c * , 则系统(1)存在连接 E 1 和 E 2 的单调行波解 .
如果0< c < c * , 则系统(1)不存在连接 E 1 和 E 2 的行波解 .
下面定义两个关于 σ 的函数:
2 p 1 u * -2 p 2 v * + p 1 u * +2 p 1 v * ],
2 p 1 u * -2 p 2 v * + p 1 u * +4 η 2 v * ] .
由条件(H2),当 σ =0时,
因此, 根据函数的连续性, 可知存在 σ 0 >0使得 g i ( σ 0 )>0( i =1,2) . 进一步定义
F 1 ( ξ ) ![]()
2 p 1 u * -2 p 2 v * + p 1 φ ( ξ )+2 p 1 ψ ( ξ )],
F 2 ( ξ ) ![]()
2 p 1 u * -2 p 2 v * + p 1 φ ( ξ )+4 η 2 ψ ( ξ )],
其中( φ ( ξ ), ψ ( ξ ))是式(2)的行波解 . 不难得到
由此可知, 存在一个充分大的数 ξ 0 >0使得
F 1 ( ξ 0 )>0, F 2 ( ξ 0 )>0 .
根据上述给定的 σ 0 和 ξ 0 ,定义权函数:
w ( ξ ) ![]()
(8)
为了建立式(2)的行波解的稳定性, 下面给出其初值问题解的存在性和比较原理的结论 .
引理1 对任意的 Φ =( φ , ψ )∈[ 0 , β ], 系统(2)、(3)存在唯一的光滑解 z ( t , x )=( u ( t , x , φ , ψ ), v ( t , x , φ , ψ )), ( t , x )∈ R + × R ,其中初值( u 0 ( s , x ), v 0 ( s , x ))=( φ , ψ ) .
证明 定义 f i : R × R → R 2 , i =1,2,
f 1 ( φ , ψ )( x ) ![]()
p 1 ( u * - φ (0, x )) ψ (0, x ),
f 2 ( φ , ψ )( x ) ![]()
p 2 ( u * - φ (0, x )) ψ (0, x ) .
则系统(2)可表示为

(9)
其中
u t , v t ∈(- τ , ∞)× R , u t ( θ , x )= u ( t + θ , x ), v t ( θ , x )= v ( t + θ , x ),
θ ∈[- τ , 0], x ∈ R.
令 T ( t )=( T 1 ( t ), T 2 ( t )), 其中 T 1 ( t )和 T 2 ( t )分别是
在 R 2 上生成的解析半群 . 由此, 式(9)可化为以下积分形式:

(10)
显然, 积分系统(10)的解是式(9)的一个弱解 . 另一方面, 容易验证, f 1 和 f 2 在 R 2 上的任意有界区域是Lipschitz连续 . 假设X=B BUC ( R , R 2 )是从 R 到 R 2 上的一致有界连续函数空间, X + ={( φ , ψ )|( φ , ψ )∈X, φ ≥0, ψ ≥0},BUC(bounded uniform continuous)表示一致有界连续函数空间 . 以下将证明 f 1 和 f 2 在[- τ ,∞)× R 上是拟单调的, 即对任意的( φ 1 , ψ 1 ),( φ 2 , ψ 2 )∈[ 0 , β ], ( φ 2 , ψ 2 )≥( φ 1 , ψ 1 ),满足
(11)
(12)
当 h >0充分小时,
φ 2 (0)- φ 1 (0)+ h [ f 1 ( φ 2 , ψ 2 )- f 1 ( φ 1 , ψ 1 )]=
hp 1 ( ψ 2 (0, x )- ψ 1 (0, x ))( u * - φ 1 (0, x ))+
( φ 2 (0, x )- φ 1 (0, x )){1- h [ η 1 (2 u * - φ 1 (0, x )-
φ 2 (0, x ))+ p 1 ψ 2 (0, x )]}≥0,
以及
ψ 2 (0)- ψ 1 (0)+ h [ f 2 ( φ 2 , ψ 2 )- f 2 ( φ 1 , ψ 1 )]=
hp 2 ( φ 2 (0, x ) ψ 2 (0, x )- φ 1 (0, x ) ψ 1 (0, x ))+
( ψ 2 (0, x )- ψ 1 (0, x )){1- h [ η 2 ( ψ 1 (0, x )+
ψ 2 (0, x ))+ p 2 u * ]}≥0,
所以 f 1 和 f 2 满足拟单调条件 . 根据文献[26]中定理1的半群理论, 可知( u ( t , x ; φ , ψ ), v ( t , x ; φ , ψ ))是在 C ( R + , C ( R , R 2 ))上存在唯一的光滑解 . 证毕 .
定义1 若存在连续函数
满足
η 1 ( u * - u ) 2 + p 1 ( u * - u ) v ,
并且对任意的
则
称为系统(2)、(3)的上解 . 类似地, 即可定义
为系统(2)、(3)的下解 .
引理2 对于式(2)的任意一对上下解 ![]()
![]()
如果
那么 ![]()
定理2 假设条件(H1)、(H2)成立 . 对于式(5)的任意连接 0 和 β 的行波解 Φ ( x + ct )=( φ ( x + ct ), ψ ( x + ct )), 其中
c 1 ![]()
c 2 ![]()
如果初值 0 ≤ z 0 ( s , x )≤ β ,初始扰动
那么系统(2)、(3)的解 0 ≤ z ( t , x )≤ β , ( t , x )∈ R + × R ,满足

![]()

![]()
在本节中, 在
的条件下, 利用加权能量法证明式(2)的波前解是指数稳定性的 . 在此之前, 首先给出初值问题解的有界性结果 .
引理3 假设条件(H1)、 (H2)成立 . z ( t , x )=( u ( t , x ), v ( t , x ))是系统(2)、 (3)的光滑解 . 若初始条件 0 ≤( u 0 ( s , x ), v 0 ( s , x ))≤ β , ( s , x )∈(- τ ,0]× R , 则 0 ≤( u ( t , x ), v ( t , x ))≤ β , ( t , x )∈ R + × R.
因为
利用Sobolev嵌入定理 H 1 ( R ) C ( R )(其中表示嵌入),有
u 0 ( s , x )- φ ( x + cs ), v 0 ( s , x )- ψ ( x + cs ) ∈ C ([- τ ,0], C ( R )) .
(13)
定义

(14)
则以下等式成立
根据式(13)以及( φ ( x + cs ), ψ ( x + cs ))∈ C ( R , R 2 ), 可知
因此由引理1得, 以
为初值的系统(2)的解( u ± ( t , x ), v ± ( t , x ))是存在唯一的, 并满足
η 1 ( u * - u ± ) 2 + p 1 ( u * - u ± ) v ± ,
(15)
- p 2 ( u * - u ± ) v ± .
(16)
由引理2和式(14), 对任意的( t , x )∈ R + × R ,
(17)
为简便起见, 给定
(18)
其中 t ∈ R + , s ∈[- τ ,0], ξ ∈ R. 以下分3个步骤来完成定理2的证明 .
第一步 ( u + ( t , x ), v + ( t , x ))收敛到( φ ( x + ct ), ψ ( x + ct ))
从式(17)和(18)中容易看出
根据式(5)、(15)和(16)有
U + (-2 η 1 u * +2 η 1 φ - p 1 V + - p 1 ψ )+ η 1 U +2 + p 1 ( u * - φ ) V + ,
(19)
V + (- p 2 u * -2 η 2 ψ + p 2 U + + p 2 φ )- η 2 V +2 + p 2 ψU + .
(20)
引理4 假设条件(H1)、(H2)成立, 则对任意的
成立估计式


其中 C >0与 τ 1 和 τ 2 有关 .
证明 将e 2 μt w ( ξ ) U + ( t , ξ )和e 2 μt w ( ξ ) V + ( t , ξ )分别与式(19)和(20)相乘, 有
η 1 e 2 μt wU +3 + p 1 ( u * - φ ) w e 2 μt U + V + ,
(21)
以及
- η 2 e 2 μt wV +3 + p 2 ψ w e 2 μt U + V + ≤ p 2 ψ w e 2 μt U + V + .
(22)
利用Cauchy-Schwarz不等式
容易得到
(23)
(24)
又因为
所以在无穷远处
=0,
=0 .
(25)
对式(21)和(22)关于 t 和 ξ 在[0, t ]× R 上分别进行积分 . 注意到式(23)~(25), 可知

2 p 1 V + +2 p 1 ψ -2 η 1 U + -2 μ wU +2 d ξ d s ≤
(26)


(27)
又因为
利用Cauchy-Schwarz不等式和线性变换 s - τ 1 → s , ξ - y - cτ 1 → ξ , y → y 有
(28)
类似地
(29)
(30)
将式(28)~(30)代入式(26)和(27)中, 得

4 η 1 φ +2 p 1 V + +2 p 1 ψ -2 η 1 U + - p 1 ( u * - φ )- p 2 ψ -2 μ wU +2 d ξ d s ≤
(31)
2 p 2 u * +4 η 2 ψ -2 p 2 U + -2 p 2 φ - p 2 ψ - p 1 ( u * - φ )-2 μ wV +2 d ξ d s ≤
(32)
将式(31)和(32)相加, 则
(33)
其中
![]()
![]()
(34)
![]()
![]()
(35)
并且
![]()
![]()
2 p 1 ψ -2 η 1 U + - p 1 ( u * - φ )- p 2 ψ ,
![]()
![]()
2 p 2 φ - p 2 ψ - p 1 ( u * - φ ) .
注意到当 ξ ≤ ξ 0 时, w ( ξ )=e -2 σ 0 ( ξ - ξ 0 ) ,那么
2 p 1 ψ -2 η 1 U + - p 1 ( u * - φ )- p 2 ψ ≥
2 η 1 u * + p 1 u * + p 2 v * >0,
4 η 2 ψ -2 p 2 U + -2 p 2 φ - p 2 ψ - p 1 ( u * - φ )≥
p 2 u * + p 1 u * + p 2 v * >0 .
根据式(34)和(35), 当 μ >0充分小时, 存在正常数 C i ( i = 1,2),使得
综上, 式(33)可化简为


其中 C 与 τ 1 和 τ 2 有关 . 证毕 .
下面进一步分别对式(19)和(20)关于 ξ 进行微分, 可得
(36)
(37)
引理5 假设条件(H1)、(H2)成立 . 对任意的
以及
成立估计式
其中 C >0与 τ 1 和 τ 2 有关 .
证明 将式(36)和(37)分别与
和
相乘, 可得
(38)
(39)
分别对式(38)和(39)在[0, t ]× R 上关于 t 和 ξ 进行积分 . 类似于引理4的证明, 得
(40)

(41)
将式(40)、(41)相加, 有

(42)
其中
![]()
![]()
![]()
![]()
![]()
![]()
4 η 1 U + - p 1 ( u * - φ )+ p 1 U + - p 2 V + - p 2 ψ ,
![]()
![]()
4 η 1 V + - p 1 ( u * - φ )+ p 1 U + - p 2 V + - p 2 ψ ,
Q ( t , ξ ) ![]()
当 ξ ≤ ξ 0 时, w ( ξ )=e -2 σ 0 ( ξ - ξ 0 ) , 那么 w ′/ w =-2 σ 0 . 因此
4 η 1 U + - p 1 ( u * - φ )+ p 1 U + - p 2 V + - p 2 ψ ≥
4 η 1 V + - p 1 ( u * - φ )+ p 1 U + - p 2 V + - p 2 ψ ≥
所以当 μ >0充分小时, 存在正常数 C i ( i = 3,4),使得
现在对式(42)右侧最后一项进行估计 . 利用行波解( φ ( ξ ), ψ ( ξ ))的性质, 对任意的 ξ ∈ R ,( φ ′( ξ ), ψ ′( ξ ))有界 . 由此, 可找到一个正定的常数 C ,满足
|2 η 1 φ ′( ξ )- p 1 ψ ′( ξ )|≤ C , | p 1 φ ′( ξ )|≤ C ,
|-2 η 2 ψ ′( ξ )+ p 2 φ ′( ξ )|≤ C , | p 2 ψ ′( ξ )|≤ C .
另一方面, 根据引理4, 易知
(43)
利用Cauchy-Schwarz不等式2 xy ≤ kx 2 +(1/ k ) y 2 以及式(43), 可得

其中 k >0并且 C / k <min{ C 3 , C 4 }/2 . 将以上估计结果代入式(42)中, 得
证毕 .
结合引理4和引理5的结论, 容易得到以下一致先验估计 .
引理6 假设条件(H1)、(H2) 成立 . 对任意的
以及
有


根据嵌入定理 H 1 ( R ) C ( R ), 当 t >0时, 存在某一正常数 C ,满足
其中 I (-∞, ξ 0 ], ξ 0 = x 0 + ct . 由引理6的结果, 可得
下面进一步讨论 ξ ∈( ξ 0 ,∞)上的行波解稳定性 .
引理7 假设条件(H1)、(H2)成立 . 对任意的
以及
有
证明 将式(19)和(20)分别与e 2 μt U + ( t , ξ )和e 2 μt V + ( t , ξ )相乘, 并对其结果关于 t 和 ξ 在[0, t ]× R 上分别进行积分, 得
(44)
(45)
定义
M 1 ( t , ξ ) ![]()
α 1 (1+e 2 μτ 1 )-2 η 1 U + - p 1 ( u * - φ )- p 2 ψ ,
M 2 ( t , ξ ) ![]()
p 1 ( u * - φ )- p 2 ψ .
分别将式(44)和(45)的积分区间 R 分割成两部分, 即 R =(-∞, ξ 0 ]∪( ξ 0 ,∞) . 重新整理得
(46)
(47)
其中
J 1 ( t ) e 2 μt
U +2 ( t , ξ )d ξ +
e 2 μs
M 1 ( s , ξ ) U +2 d ξ d s ,
J 2 ( t ) e 2 μt
V +2 ( t , ξ )d ξ +
e 2 μs
M 2 ( s , ξ ) V +2 d ξ d s .
由权函数的定义, 对任意的 ξ ∈(-∞, ξ 0 ], w ( ξ )≥1 . 结合引理4和引理5的结论, 可知
e 2 μt
U +2 ( t , ξ )d ξ ≤ C ,
e 2 μs
U +2 ( s , ξ )d ξ d s ≤ C ,
e 2 μs
U +3 ( s , ξ )d ξ d s ≤ C ,
e 2 μs
V + ( s , ξ ) U +2 ( s , ξ )d ξ d s ≤ C .
那么, 根据( φ , ψ )的有界性, 可推知| J 1 ( t )|≤ C , t ≥0 . 将其代入式(46)中得
由条件(H2), 当 μ >0充分小时,
2 η 1 u * + p 1 u * + p 2 v * >0,
因此
类似可得
基于上述结果, 正如引理5的证明, 同理可推证在 H 1 ( R )空间上的一致先验估计:
利用嵌入定理 H 1 ( R ) C ( R ), 当 ξ ∈[ ξ 0 ,∞)时, 存在某一正常数 C , 使得当 t >0时,
从而
证毕 .
第二步 ( u - ( t , x ), v - ( t , x ))收敛到( φ ( x + ct ), ψ ( x + ct ))
定义
![]()
ψ ( ξ )- v - ( t , ξ ) .
由式(17)和(18), 当( t , ξ )∈[- τ ,∞)× R 时,
正如第一步的证明, 类似可得
第三步 ( u ( t , x ), v ( t , x ))收敛到( φ ( x + ct ), ψ ( x + ct ))
利用挤压法, 可得到以下收敛结果:
综上, 定理2得证 .
本文研究带有年龄结构的Lotka-Volterra竞争系统的行波解的稳定性, 是对Li和Zhang [9] 关于该模型行波解研究的进一步延伸 . 在单稳假设条件下, 通过对扰动函数在加权的Sobolev空间上建立一致衰减估计, 证实系统(2)的大波速行波解关于时间 t 是全局指数渐近稳定的 . 由于在进行能量衰减估计的过程中, 波速 c 的选择与
有关 . 因此, 在 c ≥ c * 条件下, 研究小波速行波解的稳定性更具挑战性, 这是笔者下一步研究的问题 .
参考文献 ( References ):
[1] HOSONO Y. Singular perturbation analysis of traveling waves for diffusive Lotka-Volterra competitive models[J]. Numerical and Applied Mathematics , Part Ⅱ, 1989: 687-692.
[2] HOSONO Y. The minimal speed of traveling fronts for a diffusion Lotka-Volterra competition model[J]. Bulletin of Mathematical Biology , 1998, 60 (3): 435-448.
[3] KAN-ON Y. Fisher wave fronts for the Lotka-Volterra competition model with diffusion[J]. Nonlinear Analysis Theory Methods & Applications , 1997, 28 (1): 145-164.
[4] KAN-ON Y, FANG Q. Stability of monotone traveling waves for competition-diffusion equations[J]. Japan Journal of Industrial and Applied Mathematics , 1996, 13 (2): 343-349.
[5] VOLPERT A I, VOLPERT V A, VOLPERT V A. Traveling Wave Solutions of Parabolic Systems [M]. Providence: American Mathematical Society, 1994.
[6] AL-OMARI J F M, GOURLEY S A. Stabililty and traveling fronts in Lotka-Volterra competition models with stage structure[J]. SIAM Journal on Applied Mathematics , 2003, 63 (6): 2063-2086.
[7] MEI M, OU C, ZHAO X Q. Global stability of monostable traveling waves for nonlocal time-delayed reaction-diffusion equations[J]. SIAM Journal on Mathematical Analysis , 2010, 42 (6): 2762-2790.
[8] HUANG R, MEI M, WANG Y. Planar traveling waves for nonlocal dispersion equation with monostable nonlinearity[J]. Discrete and Continuous Dynamical Systems , 2012, 32 (10): 3621-3649.
[9] LI B, ZHANG L. Travelling wave solutions in delayed cooperative systems[J]. Nonlinearity , 2011, 24 (6): 1759-1776.
[10] ZHANG L, LI B, SHANG J. Stability and travelling waves for a time-delayed population system with stage structure[J]. Nonlinear Analysis Real World Applications , 2012, 13 (3): 1429-1440.
[11] LIN C K, LIN C T, LIN Y P, et al. Exponential stability of nonmonotone traveling waves for Nicholson’s blowflies equation[J]. SIAM Journal on Mathematical Analysis , 2014, 46 (2): 1053-1084.
[12] LEUNG A W, HOU X, LI Y. Exclusive traveling waves for competitive reaction-diffusion systems and their stabilities[J]. Journal of Mathematical Analysis and Applications , 2008, 338 (2): 902-924.
[13] LIN G, LI W T. Bistable wavefronts in a diffusive and competitive Lotka-Volterra type system with nonlocal delays[J]. Journal of Differential Equations , 2008, 244 (3): 487-513.
[14] CHANG C H. The stability of traveling wave solutions for a diffusive competition system of three species[J]. Journal of Mathematical Analysis and Applications , 2018, 459 (1): 564-576.
[15] GARDNER R A. Existence and stability of traveling wave solutions of competition models: a degree theorem approach[J]. Journal of Differential Equations , 1982, 44 (3): 343-364.
[16] WU S L, LI W T. Global asymptotic stability of bistable traveling fronts in reaction-diffusion systems and their applications to biological models[J]. Chaos Solitons and Fractals , 2009, 40 (3): 1229-1239.
[17] LÜ G Y, WANG M X. Nonlinear stability of traveling wave fronts for delayed reaction diffusion systems[J]. Journal of Mathematical Analysis and Applications , 2012, 13 (4): 1854-1865.
[18] MA Z H, WU X, YUAN R. Nonlinear stability of traveling wavefronts for competitive-cooperative Lotka-Volterra systems of three species[J]. Applied Mathematics and Computation , 2017, 315 : 331-346.
[19] TIAN G, ZHANG G B. Stability of traveling wavefronts for a discrete diffusive Lotka-Volterra competition system[J]. Journal of Mathematical Analysis and Applications , 2017, 447 (1): 222-242.
[20] ZHAO G Y, RUAN S G. Existence, uniqueness and asymptotic stability of time periodic traveling waves for a periodic Lotka-Volterra competition system with diffusion[J]. Journal De Mathematiques Pures et Appliquees , 2011, 95 (6): 627-671.
[21] BAO X X, WANG Z C. Existence and stability of time periodic traveling waves for a periodic bistable Lotka-Volterra competition system[J]. Journal of Differential Equations , 2013, 255 (8): 2402-2435.
[22] SHENG W J. Stability of planar traveling fronts in bistable reaction-diffusion systems[J]. Nonlinear Analysis , 2017, 156 : 42-60.
[23] WANG X H. Stability of planar waves in a Lotka-Volterra system[J]. Applied Mathematics and Computation , 2015, 259 (C): 313-326.
[24] LIANG X, ZHAO X Q. Asymptotic speeds of spread and traveling waves for monotone semiflows with applications[J]. Communications on Pure and Applied Mathematics , 2007, 61 (1): 1-40.
[25] GUO J S, WU C H. Traveling wave front for a two-component lattice dynamical system arising in competition models[J]. Journal of Differential Equations , 2012, 252 (8): 4357-4391.
[26] MARTIN R H, SMITH H L. Abstract functional-differential equations and reaction-diffusion systems[J]. Transactions of the American Mathematical Society , 1990, 321 (1): 1-44.
GUO Zhihua, CAO Huarong ①
(School of Mathematics and Statistics, Xidian University, Xi’an 710071, P.R.China)
Abstract : The stability of traveling wave solutions to a class of Lotka-Volterra competitive systems with age structures was studied. In the case of quasi-monotonicity, the existence and comparison theorems for the solutions to the initial value problems of the systems were first established on R with the analytic semigroup theory and the abstract functional differential equations. Then based on the weighted energy method, the comparison theorem as well as the embedding theorem, the global exponential stability of the monostable large-speed traveling wave solutions under the so-called large initial perturbation (i.e. the initial perturbation around the traveling wave decaying exponentially as x →-∞, but being arbitrarily large at other locations) was obtained for the systems in the weighted Sobolev space. The results show that, as the steady state solution of the system, the traveling wave solution usually determines the long-term asymptotic behavior of the solution to the initial value problem. Its stability reveals that the phenomena and results of inter-species competition systems can be clearly observed without interference by external factors.
Key words: Lotka-Volterra competition model; stage structure; traveling wave solution; stability
Foundation item: The National Natural Science Foundation of China(11671315)
ⓒ 应用数学和力学编委会,ISSN 1000-0887
文章编号 : 1000-0887(2018)09-1051-17
郭治华(1992—), 女, 硕士(通讯作者. E-mail: 15319736589@163.com);
曹华荣(1993—), 女, 硕士(E-mail: chro129@163.com).
基金项目 : 国家自然科学基金(11671315)
作者简介 :
* 收稿日期 : 2017-11-22;
修订日期: 2018-02-26
文献标志码: A
DOI: 10.21656/1000-0887.380293
中图分类号 : O175.14
①引用本文 / Cite this paper: 郭治华, 曹华荣. 具有年龄结构的Lotka-Volterra竞争系统行波解的稳定性[J]. 应用数学和力学, 2018, 39 (9): 1051-1067.GUO Zhihua, CAO Huarong. Stability of traveling wave fronts for delayed Lotka-Volterra competition systems with stage structures[J]. Applied Mathematics and Mechanics , 2018, 39 (9): 1051-1067.