随着科学技术的快速发展,如今检测技术中使用高频波的波长越来越接近微结构材料的内特征长度,这迫使人们必须考虑微结构效应对波场的影响.由于经典连续介质理论不能对微结构材料的力学行为给予准确描述,人们开始探索高等连续介质理论.首先Cosserat兄弟提出了一种有向介质连续模型[1];随后Toupin提出了具有偶应力的弹性理论[2];Mindlin建立了考虑微结构的弹性理论[3];Green和Rivlin提出了多极连续统力学理论[4];Eringen和 Suhubi建立了微结构弹性固体的非线性理论[5-6];戴天民对带有微结构的弹性固体理论进行了再研究[7].近年来,Janno等[8]根据Mindlin微结构理论,建立了一种非线性波模型并证明了微结构固体中可存在一种光滑非对称孤立波;文献[9]中详细研究了微结构效应对孤立波的传播及相互作用的影响;文献[10]中研究了微结构固体中光滑孤立波传播的反问题.笔者在文献[11]中建立了复杂固体的并式微结构模型并研究了复杂固体中光滑孤立波的存在性.微结构固体中孤立波的形成与传播问题的研究,对固体材料的无损检测与评价具有重要意义.因为孤立波在固体材料中传播时,其形状、 幅度以及传播速度中携带着材料内部结构特性的重要信息.
显然,文献[8-10]在建立微结构固体中的波模型时有两点不足:一是建立模型时所采用的自由能函数都比较特殊,即仅考虑了宏观应变和微形变特殊的几个二次项,就来考虑三次项或四次项等高次项;二是建立模型时都利用从属原理做了近似简化处理.本文先从弹性固体自由能函数的基本要求出发,将给出一种新自由能函数.然后根据Mindlin微结构弹性固体理论,将建立一种新模型. 最后利用平面动力系统的定性分析理论和分岔理论,分析微结构固体中孤立波的演变可能性.
针对上述文献在建立模型时所采用的自由能函数比较特殊的情况,本文在自由能函数中考虑了宏观应变和微形变的全部二次项,在此基础上考虑了宏观应变的三次项,忽略了相对甚小的微形变的三次项以及其他高次项,即新自由能函数的具体形式为
(1)
式中u是宏观位移,ux是宏观应变,ψ是微形变,ψx是微形变梯度,a,B,C,D1,D2,D3和N都是材料常数.
微结构固体一维运动方程为[8,10]
(2)
式中
ρ表示宏观密度,I表示微惯性.把式(1)代入式(2),计算得
ρutt=auxx+D1ψx+D2ψxx+Nuxuxx,
(3)
Iψtt=Cψxx+D2uxx-Bψ-D1ux.
(4)
从式(4)求出ψtt并对两边分别求x的一次和二次导数,可得
(5)
(6)
对式(3)两边求t的二次导得
ρutttt=auxxtt+D1ψttx+D2ψttxx+N(uxuxx)tt.
(7)
把式(5)和(6)代入式(7)可得
(8)
又由式(3),可得
D1ψx+D2ψxx=ρutt-auxx-Nuxuxx.
(9)
把式(9)代入式(8)并整理,可得
(10)
引入几个无量纲变量和无量纲参数:
(11)
这里u0和L是初始激励的波幅和波长,l表示材料特征长度,而常数
利用式(11),把方程(10)无量纲化为(下式中已把U,X,T改写为u,x,t)
(12)
其中
![]()
,![]()
,
![]()
,![]()

都是与材料常数有关的参数. 方程(12)是本文建立的描述微结构固体中一维纵波传播的新模型.该模型适合于描述微结构非线性效应较弱的弹性固体,其建立过程中未使用从属原理进行近似简化处理. 借助宏观应变v=ux,并利用变换
可把方程(12)改写为(这里已把u′,x′,t′改写成为u,x,t)
utt+uxx-(u2)xx+α1utttt-α2uxxtt+α3uxxxx-α1(u2)xxtt+α4(u2)xxxx=0,
(13)
式中
实践证明,动力系统理论是研究许多复杂非线性波动方程行波解的一种有效方法,现已得到了广泛应用[12-16].为研究方程(13)的行波解,令u=φ(ξ),ξ=x-Vt(这里V是波速),可得
V2φξξ+φξξ-(φ2)ξξ+V4α1φξξξξ-V2α2φξξξξ+α3φξξξξ-
V2α1(φ2)ξξξξ+α4(φ2)ξξξξ=0.
(14)
对方程(14)积分两次并令积分常数为0,可得
cφ-φ2+εφξξ-δ(φ2)ξξ=0,
(15)
其中c=V2+1>0,ε=V4α1-V2α2+α3,δ=V2α1-α4. 令φ=x,xξ=y,进一步可把方程(15)化为如下等效平面动力系统:

(16)
其中
系统(16)称为第一类奇行波系统[14-16],它有首次积分:
(17)
考虑系统(16)的伴随正则系统:
(18)
其中dξ=(x-c1)dτ. 当x≠c1时,该系统和系统(16)有相同的首次积分和相图分支[14-16]. 显然,系统(18)有两个平衡点E0(0,0)和E1(-β/α,0). 当βx+αx2>0时,在奇直线x=c1上有两个平衡点S1(c1,Ys)和S2(c1,-Ys),这里![]()



(g) 0<β<c1α (h)β=c1α (i)c1α<β<∞
图1系统(18)的相图分支(α>0)
Fig. 1 Bifurcations of phase portraits of system (18)(α>0)
记M(xi,yi)为系统(18)在平衡点Ei处线性化系统的系数矩阵,并J(xi,yi)=detM(xi,yi).易知
对于式(17)定义的H(x,y)=h,可有
由分支理论可知,对于固定的c1>0,系统(16)是依赖于参数(α,β)的两参数系统.在(α,β)参数平面内,当α>0时,存在4条分支半直线:β=-c1α,-c1α/2,0,c1α;当α<0时,存在2条分支半直线:β=-c1α,0.根据以上信息分析可得如图1和图2表示的相图分支.

(a) -c1α<β<∞ (b)β=-c1α

(c) 0<β<-c1α (d)β=0 (e) -∞<β<0
图2系统(18)的相图分支(α<0)
Fig. 2 Bifurcations of phase portraits of system (18)(α<0)
由系统(16)中的第一式和首次积分式(17),可得

(19)
利用式(19),在各相图分支内沿由式(17)定义的不同轨道进行积分,可得到系统(16)的各种精确解,这里作为例子,只给出几种典型的精确解,详细了解可参阅文献[14-16].
对于α>0,-c1α/2<β<0的区域,系统(16)的轨道如图1(e)所示. 对应于由H(x,y)=h,h∈(h1,0)的闭分支所定义的周期轨道族,式(19)可化为
因此,可得到如下周期波解的参数表示:
(r3-r4)Π(arcsin(sn(ζ,k)),α1,k)],
(20)
其中
sn(·,k)是Jacobi椭圆函数,Π(·,·,k)是第三类椭圆积分.
对应于由H(x,y)=0的闭分支所定义的同宿轨道,式(19)可化为
因此,可得如下孤立波解的参数表示:
(21)
其中
解(21)表示的是一种光滑孤立波,其波形如图3(a)所示. 当-c1α/2<β<0并β→-c1α/2时,此光滑孤立波逐渐演变形成准孤立尖波[14-16],其波形如图3(b)所示.
对于α>0,β=-c1α/2,系统(16)的轨道如图1(d)所示. 当h→0时,由H(x,y)=h,h∈(h1,0)的闭分支所定义的周期轨道族的极限曲线,成为由H(x,y)=0定义的三角形闭轨. 对应于此三角形轨道,式(19)可化为
因此,可得到下面的精确孤立尖波解:
(22)
这是在参数满足一定条件时,由准孤立尖波演变形成的孤立尖波(如图4所示). 由此可知,孤立尖波解是准孤立尖波解的极限解.这一结果表明,一定条件下在微结构固体中可以形成孤立尖波等非光滑孤立波.

(a) 光滑孤立波 (b)准孤立尖波
(a) The smooth solitary wave (b) The quasi peakon
图3解(21)表示的光滑孤立波和准孤立尖波
Fig. 3 The smooth solitary wave and the quasi peakon defined by solution (21)

图4解(22)表示的孤立尖波
Fig. 4 The peakon defined by solution (22)
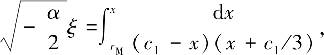
对于α<0,β=-c1α,系统(16)的轨道如图2(b)所示. 对应于由H(x,y)=hs所定义的包围原点并切于奇直线的卵形曲线轨道,式(19)可化为
这里rM=-c1/3.计算此积分可得如下的一种精确解:
(23)
因此,对于α<0,β=-c1α的卵形曲线轨道确定的是一种精确周期波解,其波形如图5所示. 从图2(b)也可看出,在奇直线左侧包围卵形曲线有许多开曲线,这些开曲线当|y|→∞时趋近于奇直线x=c1.根据文献[15]中给出的定理2.5可知,这些开曲线轨道确定了不可数无穷多有界破缺波解族,即紧孤立波解族. 在图6中显示的是沿着这些开曲线进行积分运算后得到的对应于不同初值的紧孤立波解族. 这表明在一定条件下微结构固体中也可以形成紧孤立波等非光滑孤立波.

(c1=2,α=-3,β=6)
图5解(23)表示的光滑周期波
Fig. 5 The smooth periodic wave defined by solution (23)

![]()
图6不同初值的紧孤立波
Fig. 6 Compactons with different initial values
本文研究了微结构固体中光滑孤立波演变以及非光滑孤立波的形成问题.先从由自由能函数的基本要求出发,给出了包含宏观应变与微形变的全部二次项,以及宏观应变三次项的适合于描述微结构非线性效应较弱的弹性固体的一种新自由能函数.利用新自由能函数,并根据Mindlin微结构弹性固体理论,建立了描述微结构固体中一维纵波传播的一种新模型.利用近年来发展的奇行波系统的动力系统理论,分析所有相图分支并给出了系统的周期波解、孤立波解、准孤立尖波解、孤立尖波解以及紧孤立波解.所得到的孤立尖波解和紧孤立波解有效地证明了在一定条件下微结构固体中的光滑孤立波可演变成非光滑孤立波,即微结构固体中可以存在孤立尖波和紧孤立波等非光滑孤立波.本文的结果进一步推广了微结构固体中只存在光滑孤立波的已有结论,这对固体材料的无损检测与评价提供了更丰富的理论依据.
[1] COSSERAT E, COSSERAT F.Theoriedes Corps Deformables[M]. Paris: Hermann, 1909: 32-56.
[2] TOUPIN R A. Elastic materials with couple-stresses[J].Archive for Rational Mechanics and Analysis, 1962,11(1): 385-414.
[3] MINDLIN R D. Micro-structure in linear elasticity[J].Archive for Rational Mechanics and Analysis, 1963,16(1): 51-78.
[4] GREEN A E, RIVLIN R S. Multipolar continuum mechanics[J].Archive for Rational Mechanics and Analysis, 1964,17(2): 113-147.
[5] ERINGEN A C, SUHUBI E S. Nonlinear theory of simple micro-elastic solids: I[J].International Journal of Engineering Science, 1964,2(2): 189-203.
[6] ERINGEN A C. On the linear theory of micropolar elasticity[J].Journal of Mathematics and Mechanics, 1969,7(12): 1213-1220.
[7] 戴天民. 对带有微结构的弹性固体理论的再研究[J]. 应用数学和力学, 2002,23(8): 771-777.(DAI Tianmin. Restudy of theories for elastic solids with microstructure[J].Applied Mathematics and Mechanics, 2002,23(8): 771-777.(in Chinese))
[8] JANNO J, ENGELBRECHT J. Solitary waves in nonlinear microstructured materials[J].Journal of Physics A:Mathematical and General, 2005,38: 5159-5172.
[9] SALUPERE A, TAMM K. On the influence of material properties on the wave propagation in Mindlin-type microstructured solids[J].Wave Motion, 2013,50(7): 1127-1139.
[10] JANNO J, ENGELBRECHT J. An inverse solitary wave problem related to microstructured materials[J].Inverse Problems, 2005,21(6): 2019-2034.
[11] 那仁满都拉. 复杂固体并式微结构模型及孤立波的存在性[J]. 应用数学和力学, 2018,39(1): 41-49.(NARANMANDULA. A concurrent microstructured model for complex solids and existence of solitary waves[J].Applied Mathematics and Mechanics, 2018,39(1): 41-49.(in Chinese))
[12] YU Liqin, TIAN Lixin, WANG Xuedi. The bifurcation and peakon for Degasperis-Procesi equation[J].Chaos,Solitons &Fractals, 2006,30(4): 956-966.
[13] 冯大河, 李继彬. Jaulent-Miodek方程的行波解分支[J]. 应用数学和力学, 2007,28(8): 894-900.(FENG Dahe, LI Jibin. Bifurcations of travelling wave solutions for Jaulent-Miodek equations[J].Applied Mathematics and Mechanics, 2007,28(8): 894-900.(in Chinese))
[14] LI Jibin, CHEN Guangrong. On a class of singular nonlinear traveling wave equations[J].International Journal of Bifurcation and Chaos, 2007,17(11): 4049-4065.
[15] LI Jibin.Singular Nonlinear Traveling Wave Equations:Bifurcation and Exact Solutions[M]. Beijing: Science Press, 2013: 1-113.
[16] LI Jibin, ZHU Wenjin, CHEN Guangrong. Understanding peakons, periodic peakons and compactons via a shallow water wave equation[J].International Journal of Bifurcation and Chaos, 2016,26(12): 1650207.
那仁满都拉, 韩元春, 张芳. 微结构固体中孤立波的演变及非光滑孤立波[J]. 应用数学和力学, 2019,40(4): 433-442.
NARANMANDULA, HAN Yuanchun, ZHANG Fang. Solitary wave evolution and non-smooth solitary waves in microstructured solids[J].Applied Mathematics and Mechanics, 2019,40(4): 433-442.