泥质盐岩单轴蠕变寿命研究

许宏发, 马语卿, 杨耀然, 吕亚茹, 耿汉生

(陆军工程大学 爆炸冲击防灾减灾国家重点实验室, 南京 210007)

摘要: 岩石流变力学的研究中,蠕变寿命是一个重要问题.由于长期蠕变试验资料的缺乏,难以估计蠕变破坏时间.该文进行了泥质盐岩单轴全应力-应变压缩试验,并采用陈氏加载法进行了单轴蠕变试验.对蠕变曲线进行了处理,获得了不同应力水平下的蠕变曲线簇,进而得到了等时应力-应变曲线簇.通过拟合分析,建立了等时应力-应变曲线割线模量随时间变化关系模型和等时应力-应变曲线的数学模型.对等时应力-应变曲线与全应力-应变曲线之间的关系进行了分析,获得了蠕变破坏强度和破坏应变分别与蠕变寿命之间的数学表达式.该文研究成果可以估计泥质盐岩的蠕变寿命、长期强度、长期模量、蠕变破坏线和蠕变终止线,对相关岩石流变寿命的估计具有借鉴意义.

关 键 词: 泥质盐岩; 蠕变寿命; 时效强度; 时效模量; 蠕变破坏线; 蠕变终止线

引 言

盐岩储气库是天然气、石油等能源地下储备较好的场所,我国地下盐岩资源极为丰富,在华东、西北、西南等地区均有分布.一般储气库围岩受到长期的高压气体压力和地应力的作用,蠕变特征十分明显.因此盐岩蠕变一直是岩石力学领域研究的热点,研究盐岩的长期效应行为对于深部盐岩地下储气库稳定性分析、施工建设和运营管理有着重要的现实意义.

关于盐岩蠕变问题,国内外的相关研究成果较丰富.早期许多学者采用多种手段研究表明[1-3],盐岩在蠕变过程中的损伤效应十分明显.1999年以来,Yang等[4-7]对盐岩蠕变、松弛等特性进行了系统试验研究,分析了盐岩强度时效特性、蠕变损伤,构建了相应的流变力学本构模型.其他学者的研究也大多集中于蠕变机理和本构模型建立方面,如Lux等(2000) [8]研究了盐岩蠕变机制及损伤和损伤自我恢复机制,提出了Hou/Lux蠕变损伤本构模型;Zhou等(2011) [9]基于西原体模型,提出了盐岩非线性蠕变本构模型;王贵君(2003)[10]提出了损伤增速界限的概念,并基于Carter流变模型建立了一种新的盐岩流变模型.唐明明等(2010)[11]对多种盐岩进行了蠕变试验,推导出含夹层盐岩蠕变力学参数与纯盐岩及纯泥岩蠕变参数间的关系.盐岩蠕变特性的研究,对于进一步分析盐岩的长期特性和寿命具有重要的影响.

对盐岩蠕变长期特性的研究中,长期强度的研究相对较多[12-14],但对蠕变寿命的研究还比较少.岩石蠕变寿命是指岩石在长期恒定应力作用下发生变形直至破坏所需的时间.胡其志等(2009)[15]试验证明,温度对盐岩蠕变寿命的影响较大,温度升高寿命缩短.对相关岩石蠕变寿命的估计方面,王来贵等(2010)[16]进行了有益的尝试,用改进的西原蠕变模型对蠕变试验曲线进行模拟,再进行数值微分,得到蠕变加速度失稳判据;Shin等[17]研究了不同条件下岩石蠕变寿命和强度的变化规律;Wang等(2012)[18]通过花岗岩单轴拉伸蠕变试验发现最小应变率和蠕变寿命之间存在双对数线性关系,并据此建立了估计蠕变寿命的公式;许宏发等(2018) 提出基于岩石全应力-应变曲线和蠕变试验评估岩石蠕变寿命的方法[19].但是这些研究大多依赖于长期的岩石蠕变试验数据,如何从短期的蠕变试验推测长期的蠕变行为存在一定的难度.

本文采用短期蠕变试验与岩石全应力-应变曲线相结合的方法,预测泥质盐岩的蠕变寿命,可为相关岩石的蠕变寿命估计提供参考.

1 盐岩蠕变试验与结果

① 试样.岩样的主要成分是NaCl,含有少量角砾碎屑及泥岩杂质,泥质含量由少到多,岩样颜色从灰色到灰黑色变化.试样的高径比约为2∶1,直径D约50 mm,高H约100 mm,误差在±3 mm.本次选用2块试样,S1岩样(D=52.14 mm,H=102.03 mm)做单轴压缩试验[20],S2岩样(D=52.22 mm,H=101.91 mm)做单轴压缩蠕变试验.试验后的岩样见图1.

② 试验.蠕变试验在RLJW-2000型微机控制岩石三轴蠕变试验机上进行.单轴压缩试验在GAW-2000型微机控制电液伺服刚性压力试验机上进行.单轴压缩试验采用应变等速加载得到方式, 控制速率为1×10-4 s-1.蠕变试验采用陈氏加载法[21], 加载等级分别为: 4.04,6.06,6.46,6.87,7.28,8.09,8.90,9.92,10.52,11.34,12.15 MPa.

③ 试验结果.在试验加载过程中,同时测量时间、轴向位移、轴向压力,获得了S1试块的全应力-应变曲线、S2试块在不同压力作用下轴向应变和时间之间的变化关系曲线,如图2和图3所示.

2 单轴压缩蠕变曲线和等时应力-应变曲线

根据Boltzmann迭加原理,对岩样S2的应变时间曲线进行处理(详见文献[21-22]),可以得到S2试件的蠕变曲线簇,如图4所示.根据蠕变曲线簇,可以作出一簇不同时刻的等时应力-应变曲线,如图5所示.

如果将岩样S1的全应力-应变曲线与岩样S2的等时应力-应变曲线进行比较(如图5所示),可以看出它们之间存在某种联系.

1) t=0时刻的等时应力-应变曲线与全应力-应变曲线基本一致.

2) 随着时间延长,等时应力-应变曲线逐渐向全应力-应变曲线的右侧扩展,但扩展速度越来越慢.即曲线之间开始较稀疏,随着时间延长越来越紧密.

3) 当等时应力-应变曲线与全应力-应变曲线相交后,即进入加速蠕变阶段.图5中F点为加速蠕变起始点,岩石进入破坏阶段,而该点与全应力-应变曲线破坏段比较接近.

4) 随着时间延长,等时应力-应变曲线的形状,由近似直线向弧线发展.

5) 当时间t=∞时,等时应力-应变曲线为OA线,该线也称为蠕变的终止线.

等时应力-应变曲线的这一规律,与Goodman的研究成果是一致的[19,23]

3 等时应力-应变曲线模拟及寿命估计

3.1 模量的时效性及其模拟

为了分析模量与时间的关系, 统一取轴向应力为7 MPa处等时应力-应变曲线上点的割线模量作为分析依据.可以得到割线模量(Es)与时间(t)的关系如图6所示, 此时瞬时(t=0时刻)割线模量为Es0=2 099.4 MPa.通过拟合可以得到割线模量与时间的关系方程, 如式(1)所示:

相关系数R2=0.994 33.

(1)

3.2 等时应力-应变曲线的数学模型

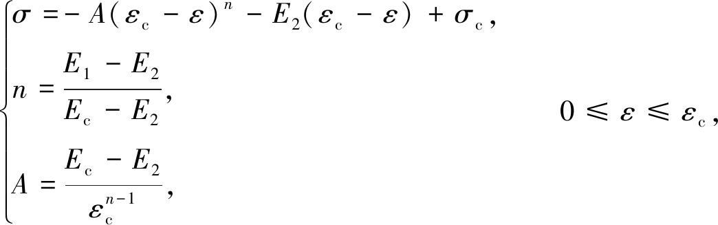
通过分析,发现用式(2)模拟等时应力-应变曲线(线段)的变化规律是合理的.

(2)

式中,E1为等时应力-应变曲线起点切线模量,E2为等时应力-应变曲线终点切线模量,εc为终点的应变,σc为终点的应力,Ec为终点到起点的割线模量,即σc/εc

用式(2)对t=0时刻的等时应力-应变关系进行拟合(见图7),获得了各参数的值,即E1(0)=2 410 MPa,E2(0)=110 MPa,εc0=0.018 3,σc0=15.750 MPa.可以假定式(2)中的初始点切线模量(E1)和终止点切线模量(E2)随时间的变化规律相同,且与等时应力-应变曲线割线模量的变化规律一致[19]

这样可采用与式(1)相同的规律,得到不同时刻应力-应变曲线初始点和终止点的切线模量,详见表1所示.根据Goodman理论[19,23],蠕变破坏点为等时应力-应变曲线与全应力-应变曲线下降段的交点,再结合试验结果,用式(2)拟合得到不同时刻破坏应力与破坏应变的值,详见表1.不同时刻等时模拟的应力-应变曲线见图7.

表1 等时应力-应变曲线模拟和拟合参数值

Table 1 The simulative and fitting parameter values of the isochronal stress-strain curves

t/hE1/MPafrom eq.(1)E2/MPafrom eq.(1)fitting values of failure points by eq.(2)εcσc/MPa02 410.0110.00.018 315.7521 276.463.60.020 015.3441 115.055.50.021 114.8161 040.051.80.022 014.308995.349.60.022 713.9010965.148.10.023 413.5312943.147.00.023 713.3814926.346.10.024 213.1516913.045.50.024 612.9618902.144.90.024 7812.8222885.444.10.025 112.6026873.043.50.025 3512.3732859.442.80.025 8012.2240846.742.20.026 1211.9648837.741.70.026 311.6760828.141.20.026 7911.4370821.340.90.026 911.2680817.840.70.027 111.0590814.140.50.027 410.86∞771.235.20.03(from eq. (5))8.63(from eq. (3))

3.3 蠕变寿命估计

根据表1等时应力-应变曲线模拟结果,可以得到蠕变破坏应力和蠕变寿命之间的关系,如图8所示.用与式(1)类似的函数进行拟合分析,可得到破坏应力比与蠕变寿命之间的函数关系式,见式(3).进一步推导,可得到由预期破坏应力比估计蠕变寿命的经验公式,见式(4).

相关系数R2=0.990 37,

(3)

(4)

式中,tL为蠕变寿命;σc0为0时刻的强度;ψσ为不同时刻应力强度与0时刻应力强度的比值,简称破坏应力比.

同样根据表1可以得到蠕变破坏应变和蠕变寿命之间的关系(见图9).用与式(1)类似的函数进行拟合分析,可得到破坏应变比与蠕变寿命之间的函数关系,见式(5).这样可推导得到由预期破坏应变比估计蠕变寿命的经验公式,见式(6).

相关系数R2=0.992 96,

(5)

(6)

式中,ψε为不同时刻破坏应变与0时刻破坏应变的比值,简称破坏应变比;εc0为0时刻的破坏应变.

3.4 讨论

1) 当t→∞时,对式(1)、(3)和(5)求极值,得到长期切线模量E1∞=771.2 MPa,E2∞=35.2 MPa,长期蠕变破坏应变εc∞=0.03,长期蠕变破坏强度σc∞=8.63 MPa.再根据式(2)可以画出当t→∞时极限等时应力-应变曲线,见图7.该曲线实际与Goodman理论中的蠕变终止线(terminal locus of long-term creep tests)是一致的[23].也就是说,岩石在蠕变过程中,变形不会超过该曲线.需要说明的是,终止线不是破坏线,只是蠕变变形的极限线.

2) 周维垣在总结岩石蠕变破坏与瞬时破坏试验资料后发现,当应力水平低于某一数值时不会发生蠕变破坏,变形趋于稳定(相当于前述蠕变终止线以下);当应力水平大于某一数值时会发生蠕变破坏,且破坏点落在全应力-应变曲线破坏后区域[24].Goodman认为当蠕变应变与全应力-应变曲线的下降部分相交时,岩石发生蠕变破坏而终止[23].本文分析发现,当蠕变达到全应力-应变曲线的下降段时,一般蠕变进入到加速蠕变阶段,离实际破坏可能还有一段时间,但该段时间比较短.因此用加速蠕变的起始点估计蠕变寿命,在工程上偏于安全.

3) 根据式(5)可以在蠕变曲线图上画出蠕变破坏起始线,见图4中的点划线.也就是说,当蠕变应变超过该线时,岩石即将出现加速蠕变,并将很快达到破坏.因此可以利用该线判断岩石蠕变与破坏之间的关系,以及可能发生破坏的程度.

4 结 论

1) 通过泥质盐岩全应力-应变试验与蠕变等时应力-应变试验之间的比较,验证了Goodman将蠕变与全应力-应变曲线相结合的理论是合理的.

2) 通过等时应力-应变曲线的割线模量随时间的变化规律,建立了模量与时间的变化关系方程,是构建等时应力-应变曲线函数的基础.

3) 通过构建的等时应力-应变的数学函数,结合等时应力-应变试验数据,模拟了不同时刻的等时应力-应变曲线,得到了不同时刻蠕变破坏应力和应变分别随蠕变寿命变化的关系.通过拟合得到了相应的数学函数关系式.

4) 可根据得到的蠕变终止线和蠕变破坏线判断岩石蠕变当前的状态,从而为岩石工程设计服务.

参考文献

[1] GUILLOPE M, POIRIER J P. Dynamic recrystallization during creep of single-crystalline halite: an experimental study[J]. Journal of Geophysical Research Atmospheres, 1979, 84(10): 5557-5567.

[2] SZCZEPANIK S D. Time-dependent acousticemission studies on potash[C]//The 32nd US Symposium on Rock Mechanics(USRMS). Norman, Oklahoma, USA, 1991.

[3] CARTER N L, HORSEMAN S T, RUSSELL J E. Rheology of rocksalt[J]. Journal of Structural Geology, 1993, 15(10): 1257-1272.

[4] YANG C H, DAEMEN J J K, YIN J H. Experimental investigation of creep behavior of salt rock[J]. International Journal of Rock Mechanics and Mining Sciences, 1999, 36(2): 233-242.

[5] YANG C H, BEI S, DAEMEN J J K, et al. Analysis of stress relaxation behavior of salt rock[C]//The 37th US Symposium on Rock Mechanics. Vail, Colorado, 1999.

[6] 杨春和, 陈锋, 曾义金. 盐岩蠕变损伤关系研究[J]. 岩石力学与工程学报, 2002, 21(11): 1602-1604.(YANG Chunhe, CHEN Feng, ZENG Yijin. Investigation on creep damage constitutive theory of salt rock[J]. Chinese Journal of Rock Mechanics and Engineering, 2002, 21(11): 1602-1604.(in Chinese))

[7] 杨春和, 高小平, 吴文. 盐岩时效特性实验研究与理论分析[J]. 辽宁工程技术大学学报, 2004, 23(6): 764-766.(YANG Chunhe, GAO Xiaoping, WU Wen. Experiment studies and theoretic analysis of time dependent properties of rock salt[J]. Journal of Liaoning Technical University, 2004, 23(6): 764-766.(in Chinese))

[8] LUX K H, HOU Z M. New developments in mechanical safety analysis of repositories in rock salt[C]//Proceeding of the International Conference on Radioactive Waste Disposal. Berlin: Springer Verlag, 2000: 281-286.

[9] ZHOU H W, WANG C P, HAN B B. A creep constitutive model for salt rock based on fractional derivatives[J]. International Journal of Rock Mechanics & Mining Science, 2011, 48(1): 116-121.

[10] 王贵君. 一种盐岩流变损伤模型[J]. 岩土力学, 2003, 24(S): 81-84.(WANG Guijun. A constitutive creep damage model for saline rocks[J]. Rock and Soil Mechanics, 2003, 24(S): 81-84.(in Chinese))

[11] 唐明明, 王芝银, 丁国生, 等. 含夹层盐岩蠕变特性试验及其本构关系[J]. 煤炭学报, 2010, 35(1): 42-45.(TANG Mingming, WANG Zhiyin, DING Guosheng, et al. Creep property experiment and constitutive relation of salt mudstone interlaye[J]. Journal of China Coal Society, 2010, 35(1): 42-45.(in Chinese))

[12] HOU Z M. Mechanical and hydraulic behavior of rock salt in the excavation disturbed zone around underground facilities[J]. International Journal of Rock Mechanics and Mining Sciences, 2003, 40(5): 725-738.

[13] RAN L N, ZHANG H B, WANG Z Y. Rock long-term strength parameters determination of a salt cavern gas storage[J]. Applied Mechanics and Materials, 2013, 353/356: 1685-1688.

[14] 吴斐, 谢和平, 刘建锋, 等. 分数阶黏弹塑性蠕变模型试验研究[J]. 岩石力学与工程学报, 2014, 33(5): 964-970.(WU Fei, XIE Heping, LIU Jianfeng, et al. Experimental study of fractional viscoelastic-plastic creep model[J]. Chinese Journal of Rock Mechanics and Engineering, 2014, 33(5): 964-970.(in Chinese))

[15] 胡其志, 冯夏庭, 周辉. 考虑温度损伤的盐岩蠕变本构关系研究[J]. 岩土力学, 2009, 30(8): 2245-2248.(HU Qizhi, FENG Xiating, ZHOU Hui. Study of creep model of rock salt with thermal damage considered[J]. Rock and Soil Mechanics, 2009, 30(8): 2245-2248.(in Chinese))

[16] 王来贵, 李磊, 刘学, 等. 基于岩石长期稳定性的工程寿命预估研究[J]. 中国地质灾害与防治学报, 2010, 21(3): 97-100.(WANG Laigui, LI Lei, LIU Xue, et al. Life expectation of an rock engineered slope based on the long-term stability[J]. The Chinese Journal of Geological Hazard and Control, 2010, 21(3): 97-100.(in Chinese))

[17] SHIN K, OKUBO S, FUKUI K, et al. Variation in strength and creep life of six Japanese rocks[J]. International Journal of Rock Mechanics and Mining Sciences, 2005, 42(2): 251-260.

[18] WANG J X, ZHANG K, LIANG W M, et al. Experimental study on creep life of granite under direct uniaxial tension[J]. Advanced Materials Research, 2012, 598: 293-298.

[19] 许宏发, 柏准, 齐亮亮, 等. 基于全应力-应变曲线的软岩蠕变寿命估计[J]. 岩土力学, 2018, 39(6): 1973-1980.(XU Hongfa, BAI Zhun, QI Liangliang, et al. Creep life estimation of soft rock based on the complete stress-strain curve[J]. Rock and Soil Mechanics, 2018, 39(6): 1973-1980.(in Chinese))

[20] MA Linjian, XU Hongfa, TONG Quan, et al. Post-yield plastic frictional parameters of a rock salt using the concept of mobilized strength[J]. Engineering Geology, 2014, 177: 25-31.

[21] 刘雄. 岩石流变学概论[M]. 北京: 地质出版社, 1994.(LIU Xiong. Introduction to Rock Rheology Mechanics[M]. Beijing: Geological Publishing House, 1994.(in Chinese))

[22] 周德培, 朱本珍, 毛坚强. 流变力学原理及其在岩土工程中的应用[M]. 成都: 西南交通大学出版社, 1995.(ZHOU Depei, ZHU Benzhen, MAO Jianqiang. Principle of Rheological Mechanics and Its Application in Geotechnical Engineering[M]. Chengdu: Southwest Jiaotong University Press, 1995.(in Chinese))

[23] GOODMAN R E. Introduction to Rock Mechanics[M]. 2nd ed. New York: John Wiley & Sons, 1989.

[24] 周维垣. 高等岩石力学[M]. 北京: 水利电力出版社, 1990.(ZHOU Weiyuan. Advanced Rock Mechanics[M]. Beijing: Water & Power Press, 1990.(in Chinese))

Creep Lifetime Evaluation of Muddy Salt Rock

XU Hongfa, MA Yuqing, YANG Yaoran, LÜ Yaru, GENG Hansheng

(State Key Laboratory of Disaster Prevention and Mitigation of Explosion and Impact, Army Engineering University of PLA, Nanjing 210007, P.R.China)

Abstract: The creep life is an important problem in the research of rock rheology. For the lack of long-term creep experiment data, the creep rupture time is difficult to estimate. The complete stress-strain uniaxial compression experiment of the muddy salt rock was conducted, and the uniaxial creep test with the Chen method was done. The creep curve cluster under different stress levels was gained through processing of the creep curves, thereby the isochronal stress-strain curve cluster was obtained. Based on the fitting analysis, the variation law for the secant modulus of isochronal stress-strain curves with time and the mathematical model for isochronal stress-strain curves were established. The relationship between isochronal stress-strain curves and the complete stress-strain curve was considered to get the mathematical expressions of the creep failure strength and failure strain with the creep lifetime respectively. The research results can be used to estimate the creep lifetime, the long-term strength, the long-term elastic modulus, the creep failure line and the termination line of muddy salt rock, also make a reference for the estimation of the creep lifetime of similar rocks.

Key words: muddy salt rock; creep lifetime; long-term strength; long-term modulus; creep failure line; creep termination line

收稿日期: 2018-08-31; 修订日期:2019-03-21

基金项目: 江苏省自然科学基金(BK20171399)

作者简介: 许宏发(1964—),男,教授,博士,博士生导师(通讯作者. E-mail: xuhongfa1@sina.com).

中图分类号:TU45

文献标志码:A

DOI: 10.21656/1000-0887.390230

文章编号:1000-0887(2019)05-0527-09

ⓒ 应用数学和力学编委会,ISSN 1000-0887

引用本文/Cite this paper:

许宏发, 马语卿, 杨耀然, 吕亚茹, 耿汉生. 泥质盐岩单轴蠕变寿命研究[J]. 应用数学和力学, 2019, 40(5): 527-535.

XU Hongfa, MA Yuqing, YANG Yaoran, LÜ Yaru, GENG Hansheng. Creep lifetime evaluation of muddy salt rock[J]. Applied Mathematics and Mechanics, 2019, 40(5): 527-535.