随着超短脉冲激光加热、金属快速凝固等现代高新技术的发展,热作用的周期时间短到皮秒以至飞秒量级的超急速、超常规热传导规律的研究越来越引起人们的重视.因此近年来,非Fourier温度场得到了人们的重视.特别是在温度场急剧变化的场合,用Fourier热传导定律来描述存在一定问题.张浙等[1]对非Fourier热传导的实质、模型、模型的求解及应用与实验等几个方面的研究进展做了一个较详尽的概括与评述.李金娥等[2]指出了该问题,建立了一个双层材料层合板瞬态加热情况下的非Fourier热传导分析模型,用向后差分法得到了温度场的数值解.Mao等[3]基于双相滞后(DPL)的热传导模型、Cattaneo Vernotte (CV)模型和改进的CV 模型研究了纳米级厚度的金薄膜在超快激光加热下的一维热传导,应用数值模拟探讨了系统参数对温度场的影响.文献[4]建立了有限空圆柱体的轴对称非Fourier温度场的数学模型,利用分离变量法和Duhamel积分求得有限空圆柱体双曲型热传导问题的精确解析解.文献[5]中,主要研究了非Fourier的理论和实验研究以及热传导行为,以一种新的热原子理论为理论基础,为精确预测非Fourier导热提供了一个通用的热传导方程.文献[6]对平板太阳能集热器吸收板中的Fourier和非Fourier热传导进行了分析,采用变量分离法建立模型,采用基于有限差分法的数值技术来对该抛物型方程和双曲型方程进行了求解,并对非Fourier导热模型的使用要求进行了比较研究.
数值模拟的方法对于分析温度场的变化、分析各参数的影响和温度场的定性性质存在一定的难度.因此,求解解析解在理论研究和实际应用中均有相应的价值.赵伟涛等[7]用双曲型热传导方程描述了平板表面温度急剧变化时的热传导问题,利用分离变量法和Duhamel积分原理,得到了解析解,然后进行了数值模拟.但是该模型要求比较高,只适用于一维平板的研究.文献[8]针对激光束瞬间加热物体表面时,材料表面附近温度场变化的问题,建立了基于非Fourier热传导理论的三维热传导数学模型.利用积分变换技巧,得到了问题Laplace逆变换的解析形式,从而给出了新的温度场解析解,并据此分析了传热过程中固体内部的温度场演化规律及特征.文献[9]讨论了非平衡温度在非Fourier导热中的作用热模型和声子Boltzmann方程,用不同理论进行了比较.但是求解解析解存在着相当大的困难,从而只有在一些特定的场合才适用求近似解的方法.近年来人们应用奇异摄动的方法,求得近似解析解,对于非Fourier温度场分布的研究就有了很大的价值.张盛等[10]采用一种时间-空间多尺度高阶渐近均匀化分析方法,模拟了多维微尺度多相周期性结构中的非经典热传导问题.本文则应用奇异摄动理论中的边界层矫正法,分析由非Fourier热传导定律导出的奇摄动双曲方程问题,得到了相应的近似解析解.从而由近似解析结果分析了温度场的定性性质和定量性质.
对于有界域上的奇异摄动双曲方程,康连城[11]研究了一类具有非线性初边值条件的奇摄动问题的n维拟线性双曲抛物型方程,给出了该摄动问题光滑解具有一致有效的一阶渐近展开式的存在性.文献[12]中,研究了一类具有变动边界的初边值问题的奇摄动的拟线性双曲抛物型方程,给出了此问题的解具有以退化问题充分光滑解为首项的广义渐近展开式的存在性.文献[13]中,讨论了具有参数的混合抛物型双曲型方程的一类特殊黏性条件的非局部边值问题,给出了Green函数的方法和积分微分算子的性质.但是在实际问题中,由于材料的尺寸常常用到无界域的概念,如薄板材料等.例如关建飞、沈中华等[14-15]用Fourier热传导定律描述了板状金属材料中脉冲激光激发的超声波,并用有限元方法进行了数值模拟.他们讨论的板块材料在z轴方向是有界的,即在x,y轴方向是无界的.这种无界域的情形不但有实际应用的意义,而且在数学上有着与有界域不同的性质.传统的奇摄动双曲方程的研究方法难以应用到无界域上的问题,因此无论是从理论研究还是实际应用角度,对此开展研究都是十分必要的.
本文讨论一类在无界域上带小参数的奇摄动双曲抛物方程问题, 通过奇摄动分析, 构造了相应的形式渐近解, 给出了外解和内解的存在唯一性.并通过余项估计得到渐近解的有效性, 从而得到了在无界域中温度场的分布.本文所建立的温度场模型是在文献[14]的基础上进一步的拓展, 并应用奇异摄动方法给出了近似解析解.文献[14]的模型可以作为本文模型的特例.
现做出如下的假设:
[H1]f1(x,y,z), f2(x,y,z)是已知的任意阶连续可微函数,记
f3=f1x+f1y+f1z,
其中M是正整数.
[H2]f(r)及g(t)是脉冲激光的空间分布,可以表示成
式中r0是激光辐照的光斑半径,t0是脉冲激光的上升时间.
[H3] u(x,y,z,t)表示t时刻的温度分布;ρ,c,k分别表示密度、热容量和热导率,记m=k/(ρc).
[H4] C2k+α,k+α/2(QT)为Banach空间,![]()
注1 文献[14]中的模型是本文模型中的退化方程,即文献[14]中是用Fourier定律来描述的,而本文是用非Fourier定律来描述的.本文的定解条件增加了初始的温度场分布以及初始层温度场的变化速率,初始条件可以参考文献[2].本文以激光为例,考虑了在平板上各系数以指数衰减的情况.文献[2,14]中的参数满足本文的要求.
本文从单相延迟双曲型热传导模型出发,考虑热流矢量的传播和温度梯度的形成之间有一个延迟,数学上可以表达为
q(x,y,z,t+ε)=-k
u(x,y,z,t),
(1)
其中ε为时间上的相位延迟,它是介质的固有热特性.系统的能量方程为
-
![]()
(2)
将式(1)关于ε进行Taylor级数展开,可得到
![]()
u(x,y,z,t).
(3)
因为相位延迟时间ε很小,其范围大致是:金属10-14~10-11 s,气体约为10-10~10-8 s,而对液体和绝热体大致介于两者之间.在低温下,对金属大致为10-11~10-6 s.对于多孔介质、生物组织,其弛豫时间则比较高,常温时可达到几十秒.也就是说,除了生物组织和多孔介质外,工程材料的弛豫时间ε是在纳秒到皮秒的量级.故忽略其二次项和高阶项,方程(3)近似为
≅-k
u(x,y,z,t).
(4)
由式(2)、(4),消除q,可得到
·k
![]()
(5)
假设热导率k为常数,上式可化简为
(6)
记m=k/(ρc),则得到
(7)
其边界条件为
式中R是样品表面的反射率,h是样品的厚度,I0是单脉冲激光的辐照能量.
对式(7)做正则展开,得到
比较ε的同次幂系数,可得
(8)
(9)
⋮
(10)
其中
现给出式(7)的合成展开式:
(11)
将上式代入到式(7)中,比较ε的同次幂系数,可得
(12)
⋮
(13)
现给出如下定理.
定理1 考虑下述线性方程在
的初边值问题:
(14)
若满足
且
其中M为正整数,则u存在唯一,且满足估计式
其中D满足
证明 令
则存在(r1,z1,t1)∈QT\∂pQT,使得
先讨论
的情形,对式(14)做极坐标变换,有
(15)
将u代入式(15),则有
化简可得当
时,
若(r1,0,t1)∈∂pQT|z=0,使得
则有
化简可得![]()
若(r1,h,t1)∈∂pQT|z=h,则有
化简可得D≤Mh.
若(r1,z1,0)∈∂pQT|t=0,则有
化简可得D≤MekT.
类似可得相同结果,则u满足![]()
下证存在唯一性.
考虑式(14)在
的初边值问题,其中Ωk⊂Ω是一个有界域.因为g∈C1,2(QTk), h2,h3∈C3,3/2(QTk),满足文献[9]中定理8.3.1的条件,则式(14)在QTk上的初边值问题存在唯一的解u∈C3,3/2(QTk).因为
即u有界,
所以与边界k的选取无关,则在无界域上,该问题的解存在且唯一.
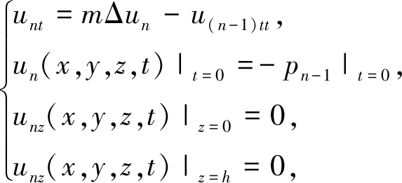
推论1 问题(8)~(13)的解存在唯一,且满足![]()
证明 式(8)中,取h1=f1,则
取
则
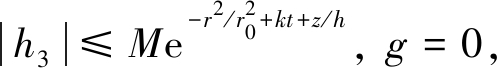
取h3=0, g=0,因此满足定理1的条件,u0满足如下估计![]()
由式(8)可得
(16)
取
所以
g=0,均满足定理1的条件,所以![]()
由式(16)可得
(17)
取
则
取h3=f3,则
均满足定理1的条件,所以
取式(12)中g=0, h2,h3=0,h1=Δf1-f2,则
显然满足定理1中的条件,则有![]()
式(9)中,取
所以式(9)满足定理1的条件,则有
重复上述过程,可得到
根据定理1可得式(8)~(13)的存在唯一性,证毕.
因此可得式(7)的形式渐近解为
(18)
定理2 式(18)的形式渐近解一致有效.
证明 首先考虑式(7)的余项R,则
(19)
将式(19)代入到式(7),可得
εRtt+Rt-mΔR=-u(n+1)tt-pntte-t/ε,
(20)
边界条件为
R(x,y,z,0)=0, Rt(x,y,z,0)=0.
记f=-u(n+1)tt-pntte-t/ε,由定理1可得
则
有界,
也有界,所以
有界.
式(20)同乘2Rt,并在QT上积分,可得
经化简得![]()

其中
(21)
记
有
根据Gronwall不等式,可得
因为
![]()

![]()
![]()

![]()

![]()
又
有界,则![]()

有界.根据文献[7],可得余项R在区域Q上一致成立下面的估计式:
‖R‖L2(QT)+‖
R‖2L2(QT)+‖Rt‖2L2(QT)≤M.
因此R有界,即式(18)一致有效.
本文中,应用非Fourier热传导定律构建了单层材料中温度场模型.该模型来源于激光作用下单层材料的热分析问题.该模型是无界域上奇摄动双曲方程初边值问题.应用奇摄动分析方法,得到了形式渐近解,通过对内解和外解的最大模估计和关于时间导数的最大模估计以及线性抛物方程理论,得到了在无界域上内外解的存在唯一性,从而得到了解的形式渐近展开式.利用上述估计,给出了渐近解的L2估计,得到了无界域上的余项估计,从而完整地得到了无界域上奇摄动双曲方程的渐近解.实际上,模型的正则展开部分(外解)的首项就是Fourier温度场的分布.非Fourier温度场在t=0处有个初始层,从而在初期非Fourier温度场与Fourier温度场有较大区别,随着时间发展,非Fourier温度场逐步与Fourier温度场描述趋于一致,从而描述了单层材料非Fourier温度场的具体形态.
[1] 张浙, 刘登瀛. 非傅里叶热传导研究进展[J]. 力学进展, 2000, 30(3): 446-456.(ZHANG Zhe, LIU Dengying. Progress in the research of non-Fourier heat conduction[J]. Advance in Mechanics, 2000, 30(3): 446-456.(in Chinese))
[2] 李金娥, 王保林, 常冬梅. 层合材料的非傅里叶热传导及热应力[J]. 固体力学学报, 2011, 32(S): 248-253.(LI Jin’e, WANG Baolin, CHANG Dongmei. Non-Fourier heat conduction and thermal stress of laminated materials[J]. Chinese Journal of Solid Mechanics, 2011, 32(S): 248-253.(in Chinese))
[3] MAO Y D, XU M T. Non-Fourier heat conduction in a thin gold film heated by an ultra-fast-laser[J]. Science China Technological Sciences, 2015, 58(4): 638-649.
[4] 张丽静, 尚新春. 由激光辐照固体表面引起的非Fourier三维传热问题的解析解[J]. 北京理工大学学报, 2016, 36(8): 876-880.(ZHANG Lijing, SHANG Xinchun. Analytical solution of non-Fourier three-dimensional heat transfer problem induced by laser irradiation on solid surface[J]. Transactions of Beijing Institute of Technology, 2016, 36(8): 876-880.(in Chinese))
[5] WANG H D. Theoretical and Experimental Studies on Non-Fourier Heat Conduction Based on Thermomass Theory[M]. Berlin: Springer, 2014.
[6] KUNDU B, LEE K S. Fourier and non-Fourier heat conduction analysis in the absorber plates of a flat-plate solar collector[J]. Solar Energy, 2012, 86(10): 3030-3039.
[7] 赵伟涛, 吴九汇. 平板在任意周期表面热扰动作用下的非Fourier热传导的求解与分析[J]. 物理学报, 2013, 62(18): 288-296.(ZHAO Weitao, WU Jiuhui. Solution and analysis of non-Fourier heat conduction in a plane slab under arbitrary periodic surface thermal disturbance[J]. Acta Physica Sinica, 2013, 62(18): 288-296.(in Chinese))
[8] 王晓燕, 刘洪伟, 李杰, 等. 基于非傅里叶的有限空圆柱体的温度场解析解及其在谐波均匀的圆柱体上的应用[J]. 数学的实践与认识, 2017, 47(19): 105-110.(WANG Xiaoyan, LIU Hongwei, LI Jie, et al. Analytical solution of non-Fourier temperature field of finite hollow cylinder and application of harmonic uniform cylinder[J]. Mathematics in Practice and Theory, 2017, 47(19): 105-110.(in Chinese))
[9] DONG Y, CAO B Y, GUO Z Y. Temperature innonequilibrium states and non-Fourier heat conduction[J]. Physical Review E, 2013, 87(3): 32150.
[10] 张盛, 张洪武, 毕金英, 等. 多维非经典热传导问题的时间-空间多尺度高阶均匀化分析[J]. 复合材料学报, 2009, 26(1): 123-133.(ZHANG Sheng, ZHANG Hongwu, BI Jinying, et al. Multi-dimensional nonclassical heat conduction analysis with multiple spatial and temporal scales analysis method[J]. Acta Materiae Compositae Sinica, 2009, 26(1): 123-133.(in Chinese))
[11] 康连城. 关于非线性初边值问题的奇摄动
[J]. 数学年刊: A辑(中文版), 1989, 10(5): 529-531.(KANG Liancheng. Singular perturbation for nonlinear initial boundary value problems
[J]. Chinese Annals of Mathematics, 1989, 10(5): 529-531.(in Chinese))
[12] 康连城. 关于非线性初边值问题的奇摄动
[J]. 应用数学和力学, 1992, 13(2): 135-143.(KANG Liancheng. Singular perturbation for nonlinear initial boundary value problems
[J]. Applied Mathematics and Mechanics, 1992, 13(2): 135-143.(in Chinese))
[13] BERDYSHEV S A, CABADA A, KARIMOV E T. On a non-local boundary problem for a parabolic-hyperbolic equation involving a Riemann-Liouville fractional differential operator[J]. Nonlinear Analysis, 2013, 75(6): 3268-3273.
[14] 关建飞, 沈中华, 许伯强, 等. 板状材料中脉冲激光激发超声导波的数值分析[J]. 光电子·激光, 2005, 16(2): 231-235.(GUAN Jianfei, SHEN Zhonghua, XU Boqiang, et al. Numerical analysis of ultrasonic guided waves generated by pulsed laser in plate[J]. Journal of Optoelectronics·Laser, 2005, 16(2): 231-235.(in Chinese))
[15] 沈中华, 许伯强, 倪晓武, 等. 单层和双层材料中的脉冲激光超声数值模拟[J]. 中国激光, 2004, 31(10): 1275-1280.(SHEN Zhonghua, XU Boqiang, NI Xiaowu, et al. Numerical simulation of pulsed laser induced ultrasound in monolayer and double layer materials[J]. Chinese Journal of Lasers, 2004, 31(10): 1275-1280.(in Chinese))
[16] 伍卓群, 尹景学, 王春明. 椭圆与抛物型方程引论[M]. 北京: 科学出版社, 2003.(WU Zhuoqun, YIN Jingxue, WANG Chunming. Introduction to Elliptic and Parabolic Equations[M]. Beijing: Science Press, 2003.(in Chinese))
包立平(1962—),男,副教授,博士(通讯作者. E-mail: baolp@hdu.edu.cn);
李文彦(1993—),女,硕士生.
包立平, 李文彦, 吴立群. 非Fourier温度场分布的奇摄动解[J]. 应用数学和力学, 2019, 40(5): 536-545.
BAO Liping, LI Wenyan, WU Liqun. Singularly perturbed solutions of non-Fourier temperature field distribution in single-layer materials[J]. Applied Mathematics and Mechanics, 2019, 40(5): 536-545.