内机械激波
——海洋激流的一种解释

吴 锋, 钟万勰

(大连理工大学 工程力学系, 辽宁 大连 116023)

摘要: 采用Lagrange坐标和Hamilton原理,推导了二维两层浅水系统的位移法内波方程,并在此基础上研究了二维内机械激波.通过具体的数值算例分析发现内机械激波具有流速大、持续时间短、空间范围狭小、水面存在突变的特点,指出海洋激流就是内机械激波.内机械激波同样也为海洋断崖提供了一种解释.

关 键 词: 内机械激波; 海洋激流; 海洋断崖; Lagrange坐标; Hamilton原理

引 言

海洋激流最早由美国海洋地质学家Hollister提出,是一种海洋内观测到的突发性异常高速流动[1].我国是海洋国家,从1998年起,在渤海埕岛海区、滦河口、江苏北部海域、舟山群岛和南海东部区域等地均发现了海洋激流现象[1-5].我国学者对海洋激流现象进行了大量观察.修日晨等在渤海埕岛区域的海流观测记录中观察到海洋激流[2];刘爱菊等在江苏北部海域观测到海洋激流[3];尹逊福等对南海海域的实测高密度海流资料进行分析,发现了许多海洋激流现象[5].根据这些激流数据,不同学者对激流的特点进行了总结,其中修日晨等对激流的特性总结具有一定代表性[1-3]: (a) 流速巨大(或者流速的绝对值大,或者激流发生后的流速与发生前的流速之比特别大); (b) 持续时间短暂; (c) 空间范围狭小; (d) 具有很大的随机性.

对于激流的形成原因,目前还未形成统一的认识.修日晨等认为流场辐合是形成海洋激流的重要条件[1];彭畅等则观测到喇叭口容易引起激流[4],这与钱塘江潮有一定相似.然而由于激流的复杂性,关于激流的数学机理尚无清楚的解释,甚至有学者认为激流是一种混沌力学,既不能用Newton力学,也不能用随机统计力学进行分析.本文认为在海洋激流的尺度范围内,Newton定律仍然是其基本规律,地形拓扑、潮流、风力等随机性虽然会导致激流的随机性,但在概率空间内单样本的演化仍然服从Newton定律.从激流的特点来看,激流现象与激波的特点十分吻合.洪水溃坝时,在下游会形成洪峰,也即机械激波.洪峰的空间范围狭小,经过某地时,其流速立刻变得特别大,但持续时间却不长.在海洋内部,由于温度、密度等差异,在分层界面通常会出现内波,其中最为人知的是内孤立波.内孤立波也会导致海洋强流,如文献[6]曾利用内孤立波解释南海北部大陆坡区的突发性强流.但是内孤立波一般不具备持续性短、空间范围狭小等特点,因此不可能是激流.对于激流的观察中发现,无论是流场辐合还是喇叭口,实际上都是在局部地区囤积大量水,由此当水量释放时类似洪水溃坝,在海洋内部形成激波十分合理.考虑到现有关于海洋激流的观察很多发生在浅水区域,本文将在两层浅水长波近似框架下,分析海洋激流的机理.

文献[7-13]中,笔者曾在Lagrange坐标下研究了单层浅水系统,以质点位移为基本未知量,建立了相应的变分原理和保辛的求解格式.文献[10-11]基于位移法,研究了浅水表面的机械激波.本文将基于Lagrange坐标和Hamilton方法的二维两层浅水的位移内波方程研究内机械激波,具体来说是构造一个二维数值水池,其初始时刻局部大量蓄水,释放后对分层界面波的演化进行数值仿真,从而给出一个具体的内机械激波.最后,本文将在适当的简化条件下,构造出二维内机械激波的解析解.通过对内机械激波的特点与已经观察到的海洋激流的特点进行分析,本文指出海洋激流实际上是一种内机械激波.

1 位移浅水内波方程

1.1 基本模型

建立基本模型如图1所示,其中z=0为水面,h1表示上层水的静水深度,而h2=h-h1表示下层水的静水深度,L表示水池长度.本文分析采用不可压缩、无黏性和密度不变的假设,上下层水的密度分别记为ρ1ρ2,且有ρ2>ρ1

图1 两层水
Fig. 1 Double-layer water

为描述水波的运动,本文采用uiwi(i=1,2)分别表示第i层水质点在xz方向的位移. 在水池左右两端,要求水平位移为0,即

ui(0,z,t)=ui(L,z,t)=0, i=1,2;

(1)

在水池底部,要求竖向位移为0,即

w2(x,-h,t)=0.

(2)

分析内波即分析两层水交界面处的界面波.当上下两层水的密度相差不大时,内波的波幅往往远大于表面波的波幅,可采用所谓的“刚盖假定”[14],即

w1(x,0,t)=0.

(3)

在交界面上要求上下两层水光滑移动,没有分离.对于上层水,设界面z=-h1上某质点P1,其初始时刻位置为(x,-h1),运动后在t时刻的位置为(x+u1(x,-h1,t),-h1+w1(x,-h1,t)).因为要求两层水之间没有分离,这意味着在下层水必然存在一个质点P2,其在t时刻的位置与P1重叠.设质点P2在初始时刻的位置为(xa,-h1),则P2t时刻的位置可表示为(xa+u2(xa,-h1,t),-h1+w2(xa,-h1,t)),据此可知

xa=x+u1(x,t)-u2(xa,t), w1(x,-h1,t)=w2(xa,-h1,t).

(4)

上式即为界面处的连接条件.

1.2 作用量与位移浅水内波方程

由文献[13]可知,基于位移表示的浅水不可压缩条件可写为

(5)

上式对z积分有

(6)

其中Ci(x)由水底、水面以及两层水之间的界面决定.对于下层水,因为在水底要求竖向位移为0,于是有C2(x)=-u2,xh/(1+u2,x).即下层水的竖向位移可表示为

(7)

再分析上层水,根据式(6)可知

(8)

根据分层处界面条件,将式(8)代入式(4),再结合式(7),有

(9)

根据刚盖假定的要求,将式(9)代入式(3)可得

(10)

根据上式,可以解得

(11)

再将式(11)代入式(9)可得

(12)

上式即为考虑边界条件后上层水的位移法不可压缩条件.根据边界条件和不可压缩条件还可以将u1u2表达.由式(11)可知

(13)

将上式代入式(4)可得

(14)

以上即是本文所考虑的两层水系统的基本模型,其中式(13)和(12)分别表示上层水的水平和竖向位移.从这两个等式可见,上层水的水平和竖向位移均可以用下层水的水平位移表示.式(7)表示下层水的竖向位移,也是用下层水的水平位移表示.因此本文所分析的两层水系统实际只需要u2这一个基本变量.图1所示两层水系统,其总势能为

U=U1+U2

(15)

其中

(16)

分别表示上下两层水的势能.将式(12)和(7)分别代入U1U2可得

(17)

对式(14)两边求全微分可得

(18)

结合上式和边界条件(1),U2可改写为

(19)

将式(19)和(16)代入式(15)可得总势能为

(20)

其中g′=g(ρ2-ρ1)/ρ2为约化重力加速度.

再分析动能.根据文献[7, 12]可知,对于浅水长波来说,竖向动能远小于水平动能,对于浅水系统,竖向速度一般远小于水平速度.故而本文分析时忽略水平动能的影响,此时总动能可表示为

T=T1+T2

(21)

其中

(22)

(23)

将式(13)对时间求偏导,并结合式(14)可知

(24)

将式(24)代入T1可得

(25)

于是总作用量可表示为

(26)

对上式进行变分,并要求δS=0可得

(27)

其中

(28)

这里g′表示约化重力加速度,而h′表示约化水深.式(27)即为两层水系统的位移浅水内波方程.如果上层水的密度设为0,此时γ=0,则式(27)退化为单层的位移浅水方程[8]

2 数值内机械激波

2.1 数值水槽

图2 数值内波水槽
Fig. 2 The numerical internal wave flume

基于式(28)构造如下数值水池,水深分别为h1=20 m,h2=10 m,总水深为h=h1+h2=30 m.上下两层水的密度分别为ρ1=1 035 kg/m3ρ2=1 054 kg/m3.取重力加速度为g=10 m/s2,水槽长为L=200 m,初始时刻在左端大量蓄水,释放后水向右涌出,形成内机械激波.设初始位移为

(29)

由此形成的初始水面表示为

(30)

其中A=10 m,k=1.5 m-1x0=10 m.初始速度为

(31)

数值仿真时,采用有限元进行空间离散,令

u2=NTu

(32)

将上式代入作用量(26)可得

(33)

其中

(34)

对式(33)变分可得

(35)

其中

(36)

因为真实情况两层水之间不可能光滑移动,必然存在微小的摩擦,对水波的平移产生阻尼作用,而离散模型(35)采用的是式(4)描述的两层水之间完全光滑移动的条件.为考虑这一微小的阻尼作用,在式(35)中施加一项微小的人工阻尼进行分析,时间积分本文采用时间有限元[15]进行,时间步长取Δt=0.02 s,仿真进行到t=150 s结束.空间上采用两点线性单元进行离散,空间步长取Δx=0.1 m.不同时刻内激波的水面和速度分布如图3~6所示.以上采用的格点未知数是位移u,而图中的速度为

图3 不同时刻的速度分布(数值水槽)
Fig. 3 Velocity distributions at different moments(numerical flume)

(a) x=30 m(b) x=60 m

(c) x=90 m(d) x=120 m
图4 4个不同点处速度的时程曲线(数值水槽)
Fig. 4 The time history curves of velocities at different points(numerial flume)

图5 不同时刻的水面分布(数值水槽)
Fig. 5 Water surfaces at different moments(numerical flume)

(a) x=30 m(b) x=60 m

(c) x=90 m(d) x=120 m
图6 4个不同点处水面的时程曲线(数值水槽)
Fig. 6 The time history curves of water surfaces at different points(numerial flume)

2.2 内机械激波的特征

由上述数值结果,分析内机械激波的特征,认为激流实际上是内激波.下面进行详细论述.

2.2.1 流速特别大

该算例设计了一个较小的初始速度,在初始时刻水槽的左端储存大量的水,释放后水向右涌出,形成激波,激波发生处流速迅速增大.图4给出了x=30,60,90,120 m这4个点处水平速度的时程曲线.以x=30 m为例,当t≤16 s时,速度为0.014 m/s.而当t>16 s时,流速突然增加到0.47 m/s,激波前后流速比达到33.6.其余点也有流速突发增大现象,这一特点与海洋激流的观察吻合.

2.2.2 持续时间短暂

根据观察,海洋激流所持续时间是短暂的,这也符合激波的特征.由图4可见,激波经过处,流速会迅速增大到峰值,然后经过10 s左右的时间即迅速下降.因此突发的流速增大现象只会持续很短一段时间,当激波传过之后,流速会下降到正常状态,这一特征与海洋激流的观察吻合.

2.2.3 空间范围狭小

图3给出了不同时间的流速分布,图5给出了不同时间的两层水的水面分布.由这两幅图可以看到,在内激波中,流速和水面突然增大区域仅仅局限在狭小的空间,与实际观察到的海洋激流特征吻合.从图5绘制的不同时间水面分布也可发现,水面凸起部分的重力势能显著高于其他区域,而这部分也局限在局部范围内.

2.2.4 激流观察随机性的讨论

以往观察的海洋激流表明,激流发生的地点、发生的时间、持续时间的长短、流速的大小等均具有随机性.从水波演化方程来看,地形、风场等环境可视为波浪的定解条件.如果定解条件随机,波浪演化也表现出随机性,如果定解条件具有一定的确定性,则波浪演化也相对确定,如彭畅等[4]对南黄海辐射沙脊北部水域的观察表明,在同一地点激流流向变化小,且流向变化范围基本相同.实际上真实海洋的地形、风场等往往具有高度随机性,导致波浪也表现出随机性,也即随机性并不是海洋激流独有的特征,可以说海洋内几乎所有的流动均具有一定的随机性.因此本文没有考虑随机因素,而仅仅是确定性的分析.

2.2.5 断崖

图5给出了不同时刻的水面分布,从图中可以清楚看到,内激波的存在会导致海洋断崖.以t=25 s为例,此时x=39 m附近出现断崖,当潜艇穿过时浮力突然变小,水流迅速下降,从而会导致潜艇迅速下沉.以往常考虑内孤立波来分析这一现象,显然激波理论更适用于解释海洋断崖.图6绘出了不同点处水面的变化,从图中可见,当激波发生时,水面会突然上升,然后持续很短时间即迅速降落,而且其空间尺度也很小.因此可以想象海洋内这种水面突变一方面会导致海洋物质的上下层交换,另一方面会给海洋平台、船业等造成很大的突发性冲击荷载.

3 解析内机械激波

式(27)表示二维分层浅水系统方程,对比单层水的位移浅水方程可知,两者形式是一样的.文献[11]曾详细分析了位移浅水方程的解,采用类似处理方法,也可以得到式(27)的内机械激波解析解.通过解析解,可以更好地理解内机械激波的结构和特征.

3.1 Riemann不变量

首先引入两个变量:

(37)

于是式(27)可表示为

(38)

根据式(7)可知,中间层的水面可表示为

(39)

比较式(37)和(39)可知

(40)

所以η实际上是一种约化水面.式(38)是一组齐次、守恒、双曲型方程组,其两个特征值和Riemann不变量分别为

(41)

(42)

其中λ1,2是特征值,ω1ω2是Riemann不变量.两个特征值与Riemann不变量分别满足

(43)

两个特征值可以定义两类特征线:

(44)

而根据式(43)可知,两个Riemann不变量在两个特征线上数值恒定不变,这给解析求解带来了可能.且可以验证,式(38)与(43)是等价的,只要求得两个Riemann不变量,就可以反推得

(45)

3.2 隔板抽离

单层水系统,考虑溃坝时在下游即存在激波,即溃坝面.文献[11]中给出了溃坝求解的详细过程.考虑分层水,本文分析如图7所示模型,该系统也存在激波解.

图7 物理模型
Fig. 7 The physical model

初始时刻在x=0处存在一个隔板,隔板左右两边水面不一致,分别为ηLηR,且ηL>ηR,如果突然抽离隔板,隔板左边第二层水向右涌出,于是在下游形成激波解.根据左右水面,定义初始条件为

(46)

文献[11]详细地论述了位移浅水方程溃坝问题,其形式与本小节隔板抽离模型一致.因此根据文献[11]可知隔板抽离后的水面和速度可表示为

(47)

(48)

其中

(49)

这里η*s满足如下非线性方程:

(50)

3.3 激流

实际的激流具有流速大(相对流速大)、持续时间短暂、空间范围狭小、随机性等特点.3.2小节隔板抽离模型中虽然出现了激波,但从式(48)可见,在激波过后,流速保持不变,而没有迅速衰减,这不符合激流特点.实际3.2小节的模型是个理想模型,隔板抽离后,左边水会源源不断涌向右边,这才是激波过后流速不衰减的原因.如果假设隔板左边水量有限,则就会形成激流.为此假设存在如图8所示的激波模型.

图8 内机械激波 图9 第一类特征线
Fig. 8 The internal mechanical shock waveFig. 9 The first type of eigenlines

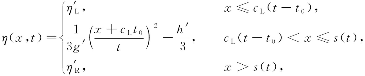
图8给出了某时刻t0的水面形状,其中分为四段区间:最左段为x<0,有水面高度为ηL,速度为vL;第Ⅱ段为简单波,0≤x<xl,其水面和速度待定;第Ⅲ段为η*,速度为v*xlxxs;第Ⅳ段为ηR,速度为vRx>xs.必须指出,这里的四段水面、速度以及位置等并不是独立的,必须满足水波的物理模型,仅假设ηL,vA,ηR,vB,t0,xs已知,而η*,v*,xl待定.

图9绘制的是第一类特征线.水面高度从左向右不断增加,在xs处突然减小,形成间断.间断处左边的水面高于右边的水面,因此有λ1(x<xs)>λ1(x>xs),这表明第一类特征线(即λ1定义的特征线)必然相交.因为Riemann不变量在特征线上是常数,两个特征线相交,意味着在该交点处出现两个不同值的Riemann不变量,此时意味着解的间断,也即激波(见图9,其中x=s(t)表示间断线).当x>s(t)时(即图9中Ⅲ区),激波尚未传递到该区,因此该区处于原始状态,水面高度和速度均不变.另外,当水波向右传播,在最左段区间(即Ⅰ区)不会被水面干扰,水面高度和速度也保持不变.在Ⅲ区,初始时刻水面高度一致,速度也相同.随着水波向右不断传播,Ⅱ区逐渐扩大,Ⅲ区最左端(即A点)也不断向右移动,但是必然存在部分未被干扰区域,水面高度和速度不变.因此实际只需要分析Ⅱ区.

Ⅱ区左端的第一类特征线为直线,且该特征线上的第一类Riemann不变量ω1、水面和速度均为常数,因此可知其为简单波,其内部的第一类特征线均为直线[11],其特征线可以写为

(51)

根据上式可得

(52)

因为在x=cL(t-t0)上有η=ηLv=vL,故而有C=-cLt0,所以有

(53)

同时,在x=c*(t-t0)+xl上,要求η=η*,由此可知

(54)

上式表明xl=(c*-cL)t0.因此如果c*已知,则xl也是已知的.

从Ⅱ区内任意一点出发的第二类特征线向左延伸,必然进入Ⅰ区,而根据第二类Riemann不变量可知,必须有

(55)

于是上式可推出

(56)

同时在x=c*(t-t0)+xl上,要求v=v*,于是有

(57)

接下来还需确定激波线x=s(t).从图9可见,存在某个时刻t*,特征线x=c*(t-t0)+xlx=s(t)相交.t<t*意味第Ⅲ段水面的解为η*v*;而当t>t*时,第Ⅱ段的简单波与第Ⅳ段水面之间相连,此时第Ⅲ段水面不再存在,第Ⅱ段与第Ⅳ段直接相连.

首先分析t<t*情况.对于间断处,也即激波发生处,Riemann不变量是多值的,单纯依靠特征线是不能解的,还必须结合物理条件,也即Hugoniot条件[15-17]才能解决.对于本文的位移浅水波方程,Hugoniot条件可表示为

(58)

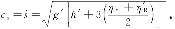
式中Δ(#)=#L-#R表示函数#在间断线左右值的差,t<t*时,根据上式可得

(59)

式(57)和(59)组成了一个非线性方程组,可以确定出将此三式合并可得

(60)

可由上式首先求出η*,然后从式(59)可以进一步推出

(61)

因为η*ηR均为常数,故而激波线为直线,可表示为

x=s(t)=cs(t-t0)+xs

(62)

其中

(63)

当激波线x=s(t)与x=c*(t-t0)+xl相交时,可以求得t*

(64)

t>t*时,第Ⅱ段的简单波与第Ⅳ段水面之间相连,在间断性的左边,水面为

(65)

此时根据Hugoniot条件有

(66)

结合式(65)和(66)可得

(67)

上式是一个非线性微分方程,当t=t*时的定解条件为

s(t*)=cs(t*-t0)+xs

(68)

(69)

于是有

(70)

上式可分离变量为

对上式两边同时积分可得

(71)

这里A可利用式(68)确定

(72)

其中

(73)

所以当t0tt*时,解可以表示为

(74)

(75)

其中η*可通过求解非线性方程(60)得到,然后再通过式(61)和(63)计算v*cs.当t>t*时,解可以表示为

(76)

(77)

其中s(t)可由非线性方程(71)确定.

图10 不同时刻的速度分布(解析激流)
Fig. 10 Velocity distributions at different moments(analytial shock current)

3.4 解析激流的特征

为考察解析激流的特征,取速度为vL=vR=0.5 m/s.初始时刻t0=1 s, ηL=-2 m, ηR= -1 m,由此根据式(40)可得ηL=-1.341 4 m,ηR=-0.670 7 m.于是根据解(71)~(77)可给出两层水的内激波在不同时刻的水面和速度分布如图10~13所示.

(a) x=15 m (b) x=25 m

(c) x=35 m (d) x=45 m
图11 4个不同点处速度的时程曲线(解析激流)
Fig. 11 The time history curves of velocities at different points(analytical shock current)

图12 不同时刻的水面分布(解析激流)
Fig. 12 Water surfaces at different moments(analytical shock current)

由图10~13仍然可以看到海洋激流的流速大、持续时间短、空间范围狭小的特点.因为本文设在激波发生前的速度为0.5 m/s,而在激波发生处,流速则远大于0.5 m/s.图11给出了x=15,25,35,45 m这4个点处水平速度的时程曲线.以x=15 m为例, 当t≤3.6 s时, 速度为0.5 m/s.而当t>3.6 s时,流速突然增加到3.4 m/s,不仅流速绝对值大,激波前后流速比达到6.8.其余点也有流速突发增大现象,这一特点与海洋激流的观察吻合.

(a) x=15 m(b) x=25 m

(c) x=35 m(d) x=45 m
图13 4个不同点处水面的时程曲线(解析激流)
Fig. 13 The time history curves of water surfaces at different points(analytical shock current)

根据观察,海洋激流所持续时间是短暂的,这也符合激波的特征.从图11可见,激波经过处,流速会迅速增大到峰值,然后经过短暂时间即迅速下降.因此突发的流速增大现象只会持续很短一段时间,当激波传过之后,流速会下降到正常状态,这一特征与海洋激流的观察吻合.

图10给出了不同时间的流速分布.由该图可以看到,在内激波中,流速突然增大区域仅仅局限在狭小的空间,与实际观察到的海洋激流特征吻合.此外从图12中还可以清楚看到海洋断崖.以t=7 s为例,此时x=17.6 m处出现断崖.图13绘出不同点处水面的变化,从图中可见,当激波发生时,水面会突然上升,然后持续很短时间即迅速降落,而且其空间尺度也很小.

4 结 论

本文在浅水长波框架下,基于Lagrange坐标和Hamilton方法,给出了二维两层浅水系统的内机械激波的数值解和解析解,通过具体的算例分析指出,内机械激波具有流速巨大、持续时间短暂、空间范围狭小、存在海洋断崖等特征,这些特征与实际观察到的海洋激流的特征十分相似,因此判定激流实际上是内机械激波.

参考文献

[1] 修日晨, 张自历, 刘爱菊. 海洋激流的观测实验及分析讨论[J]. 海洋学报, 2004, 26(2): 118-124.(XIU Richeng, ZHANG Zili, LIU Aiju. Observational experiment,analysis and discussion of sea storm current[J]. Acta Oceanologica Sinica, 2004, 26(2): 118-124.(in Chinese))

[2] 修日晨, 顾玉荷, 刘爱菊, 等. 海洋激流的若干观测结果[J]. 海洋学报, 2000, 22(4): 118-124.(XIU Richeng, GU Yuhe, LIU Aiju, et al. Some observational results of sea storm current[J]. Acta Oceanologica Sinica, 2000, 22(4): 118-124.(in Chinese))

[3] 刘爱菊, 修日晨, 张自历, 等. 江苏近海的激流[J]. 海洋学报, 2002, 24(6): 120-126.(LIU Aiju, XIU Richeng, ZHANG Zili, et al. Storm current in the coastal waters of Jiangsu province, China[J]. Acta Oceanologica Sinica, 2002, 24(6): 120-126.(in Chinese))

[4] 彭畅, 陈可锋, 徐志峰. 南黄海辐射沙脊北部水域“激流”特征及成因机制研究[J]. 科学技术与工程, 2014, 14(5): 24-31.(PENG Chang, CHEN Kefeng, XU Zhifeng. Analyses on characteristics and genesis of storm current in north radial sand ridges area, South Yellow Sea[J]. Science Technology and Engineering, 2014, 14(5): 24-31.(in Chinese))

[5] 尹逊福, 刘爱菊, 张海波. 南海东部区域的海流状况Ⅱ: 海洋激流现象[J]. 黄渤海海洋, 2002, 20(2): 7-11.(YIN Xunfu, LIU Aiju, ZHANG Haibo. Current conditions in the eastern South China Sea Ⅱ: ocean storm current phenomenon[J]. Journal of Oceanography of Huanghai & Bohai Seas, 2002, 20(2): 7-11.(in Chinese))

[6] 方文东, 陈荣裕, 毛庆文. 南海北部大陆坡区的突发性强流[J]. 热带海洋, 2000, 19(1): 70-75.(FANG Wendong, CHEN Rongyu, MAO Qingwen. Abrupt strong currents over continental slope of northern South China Sea[J]. Tropic Oceanology, 2000, 19(1): 70-75.(in Chinese))

[7] 钟万勰, 姚征. 位移法浅水孤立波[J]. 大连理工大学学报, 2006, 46(1): 151-156.(ZHONG Wanxie, YAO Zheng. Shallow water solitary waves based on displacement method[J]. Journal of Dalian University of Technology, 2006, 46(1): 151-156.(in Chinese))

[8] 钟万勰. 应用力学的辛数学方法[M]. 北京: 高等教育出版社, 2006.(ZHONG Wanxie. Symplectic Method in Applied Mechanics[M]. Beijing: Higher Education Press, 2006.(in Chinese))

[9] 钟万勰, 吴锋. 力-功-能-辛-离散-祖冲之方法论[M]. 大连: 大连理工大学出版社, 2016.(ZHONG Wanxie, WU Feng. Force-Work-Energy-Symplecticity-Discretization-ZU Chongzhis Methodology[M]. Dalian: Dalian University of Technology Press, 2016.(in Chinese))

[10] 钟万勰, 吴锋, 孙雁. 浅水机械激波[J]. 应用数学和力学, 2017, 38(8): 845-852.(ZHONG Wanxie, WU Feng, SUN Yan. Shallow water mechanical shock wave[J]. Applied Mathematics and Mechanics, 2017, 38(8): 845-852.(in Chinese))

[11] 吴锋. 基于位移的水波数值模拟: 辛方法[M]. 大连: 大连理工大学, 2017.(WU Feng. Numerical Modeling of Water Waves Based on Displacement: Symplectic Method[M]. Dalian: Dalian University of Technology Press, 2017.(in Chinese))

[12] 姚征, 钟万勰. 位移法浅水波方程的解及其特性[J]. 计算机辅助工程, 2016, 25(2): 21-25.(YAO Zheng, ZHONG Wanxie. Solutions and characteristics of shallow water equation based on displacement method[J]. Computer Aided Engineering, 2016, 25(2): 21-25.(in Chinese))

[13] 吴锋, 钟万勰. 浅水问题的约束Hamilton变分原理及祖冲之类保辛算法[J]. 应用数学和力学, 2016, 37(1): 1-13.(WU Feng, ZHONG Wanxie. The constrained Hamilton variational principle for shallow water problems and the Zu-type symplectic algorithm[J]. Applied Mathematics and Mechanics, 2016, 37(1): 1-13. (in Chinese))

[14] KINNMARK I. The Shallow Water Wave Equations: Formulation, Analysis and Application[M]. Berlin: Springer, 1986.

[15] WU F, ZHONG W X. On displacement shallow water wave equation and symplectic solution[J]. Computer Methods in Applied Mechanics and Engineering, 2017, 318: 431-455.

[16] STOKER J J. Water Waves: the Mathematical Theory With Applications[M]. New York: Interscience Publishers LTD, 1957.

[17] COURANT R, FRIEDRICHS K O. Supersonic Flow and Shock Waves[M]. New York: Wiely, 1948.

Internal Mechanical Shock Wave: an Explanation of the Ocean Shock Current

WU Feng, ZHONG Wanxie

(Department of Engineering Mechanics, Dalian University of Technology, Dalian, Liaoning 116023, P.R.China)

(Contributed by ZHONG Wanxie, M. AMM Editorial Board)

Abstract: With the Lagrangian coordinate and the Hamiltonian principle, the 2D displacement internal wave equation was derived. Based on the 2D displacement internal wave equation, the 2D internal mechanical shock wave in the 2-layer shallow water system was analyzed numerically and analytically. In terms of the numerical examples, it is found that the internal mechanical shock wave have 4 characteristics, i.e., high velocity, short duration, narrow space range and shock change of water surface, which means the ocean shock current is essentially an internal mechanical shock wave. The internal mechanical shock wave also provides an explanation for the ocean cliffs.

Key words: internal mechanical shock wave; ocean shock current; ocean cliff; Lagrangian coordinate; Hamiltonian principle

(我刊编委钟万勰来稿)

收稿日期: 2019-04-16

基金项目: 国家自然科学基金(51609034;11472076);中央高校基本科研业务费(DUT17RC(3)069)

作者简介:

吴锋(1985—),男,副教授(E-mail: vonwu@dlut.edu.cn);

钟万勰(1934—),男,教授,中科院院士(通讯作者. E-mail: zwoffice@dlut.edu.cn).

中图分类号: O353.2

文章编号:1000-0887(2019)08-0823-17

ⓒ 应用数学和力学编委会,ISSN 1000-0887

文献标志码: A

DOI: 10.21656/1000-0887.400138

Foundation item: The National Natural Science Foundation of China(51609034;11472076)

引用本文/Cite this paper: 吴锋, 钟万勰. 内机械激波——海洋激流的一种解释[J]. 应用数学和力学, 2019, 40(8): 823-839.WU Feng, ZHONG Wanxie. Internal mechanical shock wave: an explanation of the ocean shock current[J]. Applied Mathematics and Mechanics, 2019, 40(8): 823-839.