构造上正交各向异性半球形凸起凹凸板等效刚度研究*

刘 航, 杜国君, 冯 岩

(燕山大学 建筑工程与力学学院 河北省重型装备与大型结构力学可靠性重点实验室, 河北 秦皇岛 066004)

摘要: 根据半球形凹凸板周期性将其划分得到代表性体元结构.首先研究代表性体元的刚度特性,利用变形等效原理、均质化和刚度组合法得到半球形凹凸板的等效刚度.然后将得到的三个主向刚度代入四边简支板Navier解中求解板中心挠度.通过有限元数值模拟解和Navier解进行对比分析,从而验证该文得到的主向刚度的准确性.然后讨论了代表性体元的材料尺寸对所得等效刚度的影响.随着代表性体元边长与凸起半径的比值逐渐增大,所得结果精度越来越高,且等效刚度公式适用于不同厚度的半球形凹凸板.最后给出了较为简洁的工程应用公式,并给出了凸起半径的近似取值范围和工程应用算例.

关 键 词: 凹凸板; 变形等效; 代表性体元; 刚度等效; 有限元模拟

引 言

周期性波纹板和周期性凹凸板作为正交各向异性板材是由普通基础平板经过冲压和辊压而制成.周期性波纹板和凹凸板结构因具有良好的高温热稳定性、承载能力、制作工艺简单、良好的吸能、耐疲劳特性和使用材料成本低等优点在各种工程和生产实际中被广泛的应用[1-5].本文研究的半球形凸起凹凸板是一种典型的凹凸板.近些年对凹凸板的研究工作主要是制作工艺、形状设计和对凹凸板传热、流动和阻力等特性实验的研究和数值模拟研究[6-9].凹凸板作为一种新型板材,国内外学者对其三个主向的等效刚度研究较少.

正弦波纹板和梯形波纹板可看作是单方向经过辊压而成.早期美国国家航空航天局就对相关结构进行了实验和理论计算的研究[10].Briassoulis[11]和McFarland[12]对其抗弯刚度进行了研究.文献[13]得到了比较精确的圆弧形波纹板的相关表达式.文献[14]在文献[11]的基础上研究了梯形的等效抗弯刚度,但经验证其结果误差较大.文献[15]基于能量法和均质化理论,得出了梯形和圆形相关刚度的公式.凹凸板可认为是平板两个方向在垂直平板方向的凸起.冯岩等[16-17]从考虑结构惯性矩的角度出发并结合刚度等效方法,给出了方形凸起和梯形凸起的等效抗弯公式.

现有文献中对周期性凹凸板结构的研究较少,本文提出一种求解周期性凹凸板结构等效刚度的方法.首先根据其周期特性得到代表体元结构.因为宏观板结构是由代表性体元结构构成而且是均匀周期性分布的,所以代表性体元结构的抗弯刚度即是整个宏观板的抗弯刚度.本文在文献[11]方法的基础上,引入一个比例系数,推导得到半圆形波纹板的第二主向刚度公式,并应用积分均质化将其推广到半圆形凸起凹凸板的等效刚度求解中,得到了抗弯刚度的表达式.最后利用刚度组合的方法得到代表性体元的刚度公式,即整个宏观板的等效刚度公式.本文提出了一种关于构造上正交各向异性周期性凹凸板的等效刚度求解方法,得到的等效刚度公式较为精确,可以为工程实际提供理论指导.

1 半圆弧形凸起板等效刚度

半圆弧形凸起板类似于工程中使用的彩钢板,是一种特殊的波纹板,如图1所示.图中a为板沿x轴方向的板长,b为板沿y轴方向的板长,t为板厚.虽然板的材料是各向同性的,但是在构造上属于正交各向异性板.构造上正交各向异性板有三个主向刚度[18],分别为D1D2D3.其中D1D2为薄板在弹性主向的弯曲刚度,D3为薄板在弹性主向的扭转刚度,三者均称为主刚度.

图1 半圆弧形凸起板
Fig. 1 A semi-circular convex plate

图2 代表性单元形状
Fig. 2 The representative unit shape

该半圆弧形凸起板在x方向周期性分布,选择代表性单元如图2所示.图中l为代表性体元在x轴方向的长度,r为凸起半径,a1为代表性单元两侧平板长度.在半圆弧形凸起板垂直波纹方向两侧xoz截面上施加均布的轴力Ny和均布的弯矩M,得到如图3和图4所示的受力示意图.

根据材料力学可知半圆弧形凸起板y方向的压缩量Δy

(1)

式中E为弹性模量,A为单位长度截面面积,b为该板y方向长度.

图3 半圆弧形凸起板受均匀轴力示意图图4 半圆弧形凸起板受均匀弯矩示意图
Fig. 3 Schematic diagram of the uniform axial force Fig. 4 Schematic diagram of the uniform bending moment on the semi-circular convex plate on the semi-circular convex plate

由弯矩引起的转角θ

(2)

根据式(2)可得轴力Ny的表达式为

(3)

对于y方向的轴力Ny将会引起板截面各个位置不均匀的弯矩,这里为了简化计算将该弯矩进行均匀化处理,并引入一个比例系数k=0.5.从而得到该半圆弧形凸起板xoz截面各处的弯矩My如下:

(4)

图2中在一个完整周期0到l上有

(5)

根据式(1)~(5)可得

(6)

对于等效各向异性板xoz截面各处的弯矩和曲率是均匀且固定的,则等效各向异性板的弯矩为

(7)

(8)

其中DBy是等效各向异性平板y方向的等效刚度,将式(2)、(7)和(8)联立得到半圆弧形凸起板第二主向等效刚度的表达式为

(9)

2 半球形凹凸板等效刚度

2.1 半球形凹凸板等效抗弯刚度

由图5可知半球形凸起凹凸板在xy方向是周期性分布的,该板可以看成是由半球形凹凸板代表性体元结构拼接而成,典型单元的等效刚度即是宏观板的等效刚度.所以只需要研究半球形凹凸板代表性体元的等效刚度即可.现将半球形凹凸板代表性体元分成三部分,如图6所示.图中l为代表性体元的边长,R为半球形凸起半径.图中AC部分的抗弯刚度DA,C是平板的刚度D0

(10)

式中E为该板的弹性模量,t为板厚,μ为Poisson比.

现主要研究B部分的等效抗弯刚度,B部分在x方向的截面形状如图2所示,截面半径r在[0,R]连续变化即可组成B部分的形状.利用积分的思想将B部分的刚度进行均匀化处理从而得到平均刚度

(11)

图5 半球形凸起周期性凹凸板形貌
图6 半球形凸起凹凸板代表性体元形状 Fig. 5 The periodic hemispherical convex plate shapeFig. 6 The hemispherical convex unit shape

现使用文献[17]中提出的等效刚度组合法得到半球形凸起凹凸板在xy方向的等效刚度,即宏观板在xy方向的等效刚度Dx,y

(12)

2.2 半球形凹凸板等效抗扭刚度

对于构造正交各向异性板的抗扭刚度的计算, 文献[19]给出了一个综合抗扭刚度H的公式:

(13)

式中D0由式(10)给出,即为平板对自身形心轴的刚度,G为切变模量,JTxb1(JTya1)为纵肋(横肋)的抗扭惯性矩和构造间距或翼缘宽度.对于图6所示半球形凸起凹凸板代表性体元结构B部分凸起结构的截面,将半球形凸起截面视为肋截面.现求解半球部分等效为相同半径圆平板时的平均惯性矩.

图7 半球形凸起截面
Fig. 7 The hemispherical convex unit section

根据材料力学可得到图7截面对形心轴的惯性矩为

(14)

式中Ixc1为截面外圆面对形心轴的惯性矩,Ixc2为截面内圆面对形心轴的惯性矩.

则半球形凸起部分等效为半径为R的圆形平板后的平均惯性矩:

(15)

B部分的凸起部分视为肋截面则得到

(16)

a1=b1=l.

(17)

将式(16)、(17)代入式(13),得到B部分的等效抗扭刚度HB

(18)

本文提出了一个新的刚度组合法,即考虑等效平板单位面积刚度的倒数等于各个部分单位面积刚度的倒数与面积占比的乘积之和.现将图5中半球形代表性体元结构看作两部分组成,即圆形部分和平板去除圆形的部分,则得到该代表性体元结构的等效抗扭刚度为

(19)

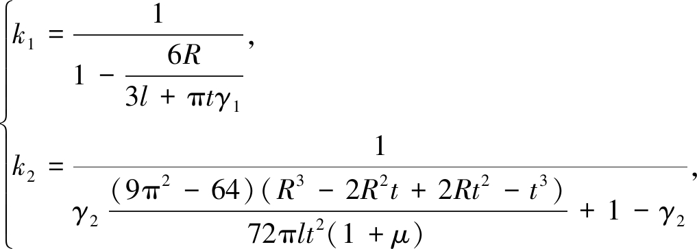
综上得到半球形凸起凹凸板的三个主向刚度为

(20)

3 等效刚度有限元验证和工程应用公式

3.1 静力分析结果验证

为了验证本文半球形凸起凹凸板板三个主向刚度的准确性,应用正交各向异性板的经典方法求解[18].考虑四边简支的矩形薄板,假定薄板的弹性主向和边界平行,使用Navier的二重三角级数并将其应用到正交各向异性板中,得到四边简支下正交各向异性板的挠度.考虑四边简支半球形凸起凹凸板,在板的任意一点(ζ,η)施加集中力F,则板上某点(x,y)的挠度为

(21)

选取固定尺寸的代表性体元结构:l=0.05 m,R=0.01 m,t=0.001 m,和固定的集中力F=10 N,改变宏观板的尺寸即改变代表性体元的数量,ANSYS建模和网格划分如图8、9所示.所选半球形凸起凹凸板的代表性体元个数分别为:10×10,15×15,20×20,25×25,30×30.用有限元模拟结果和本文解析解对比,如图10所示.经过对比可知随着代表性体元个数的增加挠度值呈线性增长趋势,且有限元数值模拟解和式(21)所求挠度基本一致,因此验证了本文的三个主向刚度的正确性.

图8 代表性体元网格划分图9 半球形凹凸板模型
Fig. 8 The representative convex unit meshing Fig. 9 The hemispherical convex plate model

3.2 结构尺寸参数对等效刚度的影响

由式(20)可知影响半球形凹凸板三个主向刚度的变量主要有三个,分别为Rlt.现采用控制变量法分别对三个变量进行讨论,分析其对本文所得刚度的影响.取R=0.005~0.015 m,l=0.03~0.05 m,t=0.001~0.003 m.在ANSYS中选取壳单元建模,设模型的弹性模量E=200 GPa,Poisson比μ=0.3.建模形状如图9所示,两个方向均为十个完整周期.在所建模型板(l/2,l/2)处施加F=10 N的集中力.将该模型板四边简支,所得到的模拟结果与式(21)进行比较,如表1~3所示.

图10 不同数量代表性体元半球形凹凸板有限元解和本文理论解对比
Fig. 10 The finite element solutions of the hemispherical convex plates with different numbers of convex units in comparison with the theoretical solutions

表1 R对等效刚度的影响

Table 1 Effects of Ron the equivalent stiffness

representative unit sizel/mR/mt/mFEM w1/mtheoretical solution w2/merror ε/%0.050.0050.0011.431×10-31.423×10-30.5620.050.007 50.0011.291×10-31.279×10-30.9390.050.010.0011.149×10-31.131×10-31.590.050.012 50.0019.45×10-49.75×10-43.770.050.0150.0017.39×10-48.09×10-48.65

表2 l对等效刚度的影响

Table 2 Effects of l on the equivalent stiffness

representative unit sizel/mR/mt/mFEM w1/mtheoretical solution w2/merror ε/%0.030.010.0012.31×10-42.54×10-49.050.0350.010.0014.09×10-44.25×10-43.760.040.010.0016.16×10-46.28×10-41.910.0450.010.0018.74×10-48.63×10-41.270.050.010.0011.149×10-31.131×10-31.59

由表1可知,本文所求解的等效刚度准确性良好.随着半球形凸起半径R的逐渐增大,其占代表性体元结构的比重逐渐增大,凸起高度越来越大.这导致代表性体元结构的薄板特性减弱,厚板特性逐渐明显,因此误差逐渐增大.在等效抗扭刚度中只考虑了半球形凸起的理想惯性矩,宏观板受力后截面惯性矩发生改变,半径R越大导致代表性体元结构发生扭转程度增大,这也会引起误差增大.根据表2的结果可知,随着l的逐渐增大,即半球形凸起半径相对于代表性体元结构尺寸减小,代表性体元的薄板特性明显,利用经典弹性薄板理论求解精度良好.综合表1、2可知,ANSYS数值模拟结果和本文解析解具有一致性,即随着l/R逐渐增大,等效刚度公式的精度越高.根据表3可知在不同的板厚下,数值模拟结果和本文解析解保持一致,误差较小.结果证明了本文等效刚度的准确性.

表3 t对等效刚度的影响

Table 3 Effects ofton the equivalent stiffness

representative unit sizel/mR/mt/mFEM w1/mtheoretical solution w2/merror ε/%0.050.010.001 53.57×10-43.41×10-44.690.050.010.0021.55×10-41.47×10-45.440.050.010.002 58.18×10-57.70×10-56.230.050.010.0034.86×10-54.57×10-56.34

3.3 半球形凸起凹凸板等效刚度工程应用公式

为了在工程计算过程中使等效刚度公式方便使用,现对式(20)进行数学变换,得到

(22)

(23)

式中为代表体元中以凸起半径R的半球体积,VplateSplate为代表体元未被冲压或辊压前基础平板的体积和面积,Scircular为半球在平板上的投影面积.由式(22)、(23)可得到半球形凹凸板等效刚度关于基础平板等效刚度的表达式,该公式在工程应用中更能方便快捷地求解半球形凸起凹凸板的等效刚度.

图11 不同l时凹凸板等效刚度变化趋势
Fig. 11 Variation trends of the equivalent stiffnesses of convex plate of different unit sizes l

现选取代表性体元的结构尺寸为t=0.001 m,l=0.05,0.08,0.1 m,材料参数为E=200 GPa,μ=0.3.以半球形凸起凹凸板凸起半径R为自变量观察等效抗弯刚度的变化情况,如图11所示.由图可知,当0<2R<(3/4)l时,该凹凸板的等效抗弯刚度近似呈线性趋势增加,可根据工程需要设计半球形凹凸板的结构尺寸.当(3/4)l<2R<l时,该凹凸板的等效抗弯刚度增大显著,在该区域内能有效提高结构的抗弯刚度,以达到更适应工程需要的目的.

4 算 例

选用板材的材料为退火铝1060,其弹性模量E=69 GPa,Poisson比μ=0.33.应用式(20)或式(23)得到该板的等效刚度,再根据式(10)得到等效平板的等效弹性模量.选取不同几何尺寸参数的半球形凸起凹凸板与等效材料正交各向异性平板在不同的边界条件下进行对比.边界条件和集中力位置分别为:四边固支(板中心载荷)、邻边固支(约束边对角载荷)、一边固支(约束边对边载荷)、对边简支(板中心载荷).所选择的边界条件充分考虑了实际工程中板的约束情况以及弯曲和翘曲变形等.选在xy方向分别有20个代表性体元结构的宏观板,集中力大小为F=30 N,对于一边固支约束根据节点号将集中力均匀分布在约束边对边.通过本文所求不同几何尺寸凹凸板在不同边界条件下的变形情况与凹凸板相同边长、边界条件和受力下的等效平板变形情况对比来验证本文所求等效刚度的正确性和工程应用性,所得结果如表4所示.

表4 不同边界下等效平板解和有限元解对比

Table 4 Comparison between the equivalent plate solution and the finite

element solution under different boundaries

representative unit sizel/mR/mt/m4-side fixationwb1/mequivalent platesolutionFEMsolutionadjacent-side fixationwb2/mequivalent platesolutionFEMsolution1-side fixationwb3/mequivalent platesolutionFEMsolution2 opposite simply supported sides wb4/mequivalent platesolutionFEMsolution0.040.010.0019.46×10-31.063×10-26.112×10-15.477×10-15.341×10-14.852×10-14.27×10-24.64×10-20.0450.010.0011.397×10-21.480×10-28.181×10-17.533×10-18.451×10-19.216×10-15.78×10-26.34×10-20.050.010.0011.816×10-21.955×10-21.062 69.926×10-11.115 21.2067.58×10-28.27×10-2

根据表4可知,在不同边界条件下本文求解的等效刚度适用性良好,满足工程需求.即证明本文所求半球形凸起凹凸板等效刚度的准确性.

5 结 论

本文提出了一种新的求解周期性正交各向异性板的方法,基于经典弹性理论、材料力学变形等效原理和积分均质化的思想得到了较为准确的半球形凹凸板等效刚度公式.通过ANSYS有限元模拟结果和Navier法在正交各向异性板上的挠度理论解进行对比来验证所得三个主向刚度的准确性.主要得到以下几点结论:

1) 通过不同数量代表性体元半球形凹凸板有限元模拟结果和解析解的对比可知,本文给出的刚度公式准确性良好,可以适用于不同尺寸的宏观板结构.

2) 半球形凸起凹凸板中随着l/R的比值减小,等效刚度模型的误差越大.其主要原因是随着半球形凸起结构所占代表性体元比重增大,即平板所占比重减少导致该代表性体元薄板特性不再明显.该板在发生变形后抗扭惯性矩发生改变导致误差增大.

3) 在固定材料尺寸下,对于不同板厚的板材,本文的刚度公式准确性良好.

4) 当凸起半径(3/4)l<2R<l时,能有效提高半球形凸起凹凸板的等效抗弯刚度.

参考文献References):

[1] 赵伟东, 高士武, 马宏伟. 扁球壳在热-机械荷载作用下的稳定性分析[J]. 应用数学和力学, 2017, 38(10): 1146-1154.(ZHAO Weidong, GAO Shiwu, MA Hongwei. Thermomechanical stability analysis of shallow spherical shells[J]. Applied Mathematics and Mechanics, 2017, 38(10): 1146-1154.(in Chinese))

[2] LIAO Y, ZHAO X, ISHIDA S, et al. 3D Origami Structure Design and Simulation by Parametric Origami Module[M]. Berlin: Springer, 2012.

[3] YANG Y, XIA Z, ZHAO X, et al. Comprehensive Optimization for Raised Floor Structure Using Origami Engineering[M]. Berlin: Springer, 2012.

[4] 郑宇宁, 邱志平, 苑凯华. 复合材料波纹板在剪切载荷下的屈曲特性分析与可靠性优化[J]. 振动与冲击, 2016, 35(20): 7-14.(ZHENG Yuning, QIU Zhiping, YUAN Kaihua. Buckling performance analysis and reliability optimization of composite corrugated plates under shear loading[J]. Journal of Vibration and Shock, 2016, 35(20): 7-14.(in Chinese))

[5] TOKURA S, HAGIWARA I. Forming process simulation of truss core panel[J]. Journal of Computational Science & Technology, 2010, 4(4): 25-35.

[6] XIA Z Z, ZHAO X L, HAGIWARA I. A simulation approach to improve forming limitation of truss core panel[J]. Applied Mechanics and Materials, 2011, 121/126: 2471-2475.

[7] 王光辉, 王定标, 彭旭, 等. 凹凸板的传热流阻特性及其多目标优化[J]. 工程热物理学报, 2019, 40(1): 143-149.(WANG Guanghui, WANG Dingbiao, PENG Xu, et al. Heat transfer and resistance of plant heat exchanger with dimples and protrusions and optimization[J]. Journal of Engineering Thermophysics, 2019, 40(1): 143-149.(in Chinese))

[8] BURGESS N K, LIGRANI P M. Effects of dimple depth on channel nusselt numbers and friction factors[J]. Journal of Heat Transfer, 2005, 127(8): 839-847.

[9] 王晓霞. 酒窝板换热特性的实验研究[D]. 硕士学位论文. 西安: 西安科技大学, 2008.(WANG Xiaoxia. Experimental study on heat transfer characteristics of dimple plates[D]. Master Thesis. Xi’an: Xi’an University of Science and Technology, 2008.(in Chinese))

[10] STROUD W J. Elastic constants for bending and twisting of corrugation stiffened panels[R]. 1963.

[11] BRIASSOULIS D. Equivalent orthotropic properties of corrugated sheets[J]. Computers & Structures, 1986, 23(2): 129-138.

[12] MCFARLAND D E. An investigation of the static stability of corrugated rectangular plates loaded in pure shear[D]. PhD Thesis. Kansas: University of Kansas, 1967.

[13] WINKLER M, KRESS G. Deformation limits for corrugated cross-ply laminates[J]. Composite Structures, 2010, 92(6): 1458-1468.

[14] LIEW K M, PENG L X, KITIPORNCHAI S. Buckling analysis of corrugated plates using a mesh-free Galerkin method based on the first-order shear deformation theory[J]. Computational Mechanics, 2006, 38(1): 61-75.

[15] XIA Y, FRISWELL M I, FLORES E I S. Equivalent models of corrugated panels[J]. International Journal of Solids and Structures, 2012, 49(13): 1453-1462.

[16] 冯岩, 杜国君, 沈振兴, 等. 周期性正弦凸起凹凸板等效刚度的研究[J]. 应用数学和力学, 2019, 40(5): 490-497.(FENG Yan, DU Guojun, SHEN Zhenxing, et al. Equivalent stiffness of sinusoidal periodic dimpled plates[J]. Applied Mathematics and Mechanics, 2019, 40(5): 490-497.(in Chinese))

[17] 冯岩, 杜国君, 赵卫东. 构造上正交各向异性凹凸板等效刚度的研究[J]. 应用力学学报, 2018, 35(4): 900-905.(FENG Yan, DU Guojun, ZHAO Weidong. Equivalent stiffness research of the construction orthogonal anisotropy truss core panel[J]. Chinese Journal of Applied Mechanics, 2018, 35(4): 900-905.(in Chinese))

[18] 徐芝纶. 弹性力学(下册)[M]. 北京: 高等教育出版社, 2006.(XU Zhilun. Elastic Mechanics[M]. Beijing: Higher Education Press, 2006.(in Chinese))

[19] 胡肇滋, 钱寅泉. 正交构造异性板刚度计算的探讨[J]. 土木工程学报, 1987(4): 51-63.(HU Zhaozi, QIAN Yinquan. Research on the calculation of structurally orthotropic plate rigidity[J]. China Civil Engineering Journal, 1987(4): 51-63.(in Chinese))

Study on Equivalent Stiffnesses of Orthotropic Hemi-Spherical Convex Plates

LIU Hang, DU Guojun, FENG Yan

(Key Laboratory of Mechanical Reliability for Heavy Equipment and Large Structure of Hebei Province, School of Civil Engineering & Mechanics, Yanshan University, Qinhuangdao, Hebei 066004, P.R.China)

Abstract: The hemispherical convex plate was periodically divided into representative unit structures. Firstly, the stiffness characteristics of representative units were studied, and the equivalent stiffness of the hemispherical convex plate was obtained by means of the deformation equivalence principle, the homogenization procedure and the stiffness combination method. Then the 3 principal stiffnesses were brought into the theoretical solution of the 4-side simple plate to solve the plate center deflection. The finite element numerical simulation solution and the theoretical solution were compared and analyzed to verify the accuracy of the theoretical principal stiffnesses. The effect of the material dimensions of the representative units on the equivalent stiffness was then discussed. As the ratio of the length of the representative unit to the convex radius increases, the accuracy of the theoretical results will improve, and the equivalent stiffness formula is applicable to hemispherical convex plates of different thicknesses. Finally, a relatively simple engineering application formula was given with the approximate range of the convex radius based on several examples.

Key words: convex plate; deformation equivalence; representative unit; stiffness equivalence; finite element simulation

ⓒ 应用数学和力学编委会,ISSN 1000-0887

http://www.applmathmech.cn

*收稿日期: 2019-06-04;

修订日期:2019-07-01

作者简介:

刘航(1993—),男,硕士生(E-mail: 13012052086@163.com);

杜国君(1961—),男,教授,博士,博士生导师(通讯作者. E-mail: dugj2002@ysu.edu.cn).

引用格式: 刘航, 杜国君, 冯岩. 构造上正交各向异性半球形凸起凹凸板等效刚度研究[J]. 应用数学和力学, 2020, 41(1): 70-80.

中图分类号: O34

文献标志码:A

DOI: 10.21656/1000-0887.400181