推广的β平面近似下带有外源和耗散强迫的非线性Boussinesq方程及其孤立波解*

陈利国1,2, 杨联贵1

(1. 内蒙古大学 数学科学学院, 呼和浩特 010021;2. 内蒙古财经大学 统计与数学学院, 呼和浩特 010070)

摘要: 在推广的β平面近似下,从包含耗散和外源的准地转位涡方程出发,利用Gardner-Morikawa变换和弱非线性摄动展开法,推导出带有外源和耗散强迫的非线性Boussinesq方程去刻画非线性Rossby波振幅的演变和发展.利用修正的Jacobi椭圆函数展开法,得到Boussinesq方程的周期波解和孤立波解,从解的结构分析了推广的β效应、切变基本流、外源和耗散是影响非线性Rossby波的重要因素.

关 键 词: Boussinesq方程; 非线性Rossby波; Jacobi椭圆函数; 外源; 耗散

引 言

Rossby波是由地球自转产生的一种行星波,它是一种生命周期较长的大尺度波动,非线性大气和海洋动力学的许多问题都可以归结为Rossby波演变问题,其研究领域涉及天气系统的演变、大气和海洋的相互耦合、大气环流中阻塞形成、海洋涡旋、大气中大尺度包络孤立子理论等内容.因此,Rossby波的理论研究引起了许多国内外学者的关注.在早期,学者们通过各种非线性偏微分方程建立动力学模型去描述Rossby波的演变和发展,去解释大气和海洋运动中观察到的一些自然现象.如Long[1]β平面近似下得到了Rossby振幅演变满足的KdV方程,对于正压流体做了开创性的工作.Wadati [2]和Redekopp [3]从正压流体和分层流体的模式推导了mKdV 方程,推广了Long的工作.随后,许多学者在正压流体中进一步研究了切变气流中Rossby波的生成和发展[4-7].Boyd[8-9]从基本方程出发,采用多重尺度法得到了正压流体中赤道非线性Rossby波振幅满足的KdV方程和mKdV方程.Meng和Lü[10]从包含地形和外源的正压准地转位涡出发,推导了Rossby波振幅满足的Boussinesq方程.Ono [11]采用多重尺度法,从准地转位涡方程出发,推导出BDO方程刻画Rossby振幅演变的代数孤立波.Luo[12]从大气中的浅水方程出发,通过多重尺度法建立了Benjamin-Ono方程描述代数孤立波.另外,在研究中发现Rossby波影响天气现象和气候变化,如木星红斑、大气阻塞、El Nio现象、南方涛动[13-15].因此,对Rossby波的研究不仅能够为天气和海洋预报提供理论依据,而且对大气和海洋非线性动力学具有重要的理论和实际意义.

在真实的大气和海洋运动中,Rossby波的演变和发展会受到诸多物理因素的影响,如推广的β效应、切变基本流、地形、耗散、外源、层结效应以及完整Coriolis力等.蒋后硕等[16]的研究结果表明基本流剪切和地形作用对Rossby波的形成和发展具有重要意义.吕克利等[17]推导了外源和耗散强迫的广义KdV-Burgers方程,分析了外源和孤波的相互作用对局地阻塞的形成.张瑞岗等[18]从大气基本方程组出发,研究了地形效应对近赤道非线性Rossby波的影响.Meng等[19]推导出包含地形和耗散项的非齐次强迫的BDO-Burgers方程,在弱切变基本气流下讨论了地形和耗散对代数孤立波的影响.Yang等[20-21]考虑地形、耗散和外热源等因素对Rossby波的影响,研究了地形效应对大气阻塞等问题.Song等[22-23] 首次在推广的β平面近似(即推广的β效应)下进行了研究,研究结果表明推广的β效应和地形能够诱导非线性Rossby孤立波.李少峰等[24]β效应、层结效应和地形效应作用下,推导了Rossby孤立波包演变所满足的非齐次Schrödinger方程.尹晓军等[25]研究了在完整Coriolis作用下外源对Rossby波的影响.Lu等[26]研究了在层结流体中具有耗散作用下的Boussinesq方程.但是,建立带有外源和耗散强迫的Boussinesq方程的数学模型去描述非线性Rossby波振幅的演变和发展还没有出现,这也是本文的主要工作.

许多学者对于获得的动力学模型方程,通过求解结果去解释物理因素对Rossby波动的影响及其波动的运动本质,进而解释大气和海洋中若干物理现象,为海洋物理、大气动力、天气现象及天气预报等提供理论依据和研究价值.但是,大多数非线性偏微分方程都没有解析解,特别是孤立波解.因此,求解非线性偏微分方程也是一个重要的研究课题,不同的方程对应不同的求解方法,许多学者在寻求孤立波解方面做了许多工作[27-32].

本文在推广的β平面近似下,从包含外源和耗散的准地转正压位涡方程出发,利用Gardner-Morikawa变换和摄动法,推导出描述非线性Rossby孤立波的数学模型,即带有外源和耗散强迫的非线性Boussinesq方程.分析了推广的β效应、切变基本流、外源和耗散对非线性Rossby波的影响.利用修正的Jacobi椭圆函数展开法,获得了带有外源和耗散强迫的Boussinesq方程的周期波解和孤立波解,通过分析解的结构,结果表明外源和耗散对非线性Rossby波的影响.

1 方程模型的推导与方法

1.1 控制方程与边界条件

在推广的β平面近似下,带有外源和耗散的无量纲准地转位涡方程为[17,33]

2ψ+β(y)y]=-λ2ψ+Q

(1)

其中ψ是总的流函数,β(y)y是推广的β平面近似[22],λ>0是耗散系数,Q=Q(x,y,t)为外源,表示二维的 Laplace算子.

边界条件为

(2)

1.2 带有外源和耗散强迫的非线性Boussinesq方程

假设总的流函数为

(3)

其中c0是线性波的相速度,小参数ε(ε≪1)为考虑弱非线性问题,ψ′是扰动流函数,是切变基本流,α是量级为1的常数,称为失谐参数[34] .

为了平衡耗散和非线性项,以及消除由切变基本流引起的耗散,假设

(4)

将式(3)和(4)代入到式(1)和(2),得到扰动方程和边界条件:

2ψ′=

-ε3/2μ2ψ′+Q′(x,t),

(5)

(6)

其中

由于大气和海洋运动的时空多尺度性,采用多重尺度法,即Gardner-Morikawa变换:

X=ε1/2x, T=εt.

(7)

将式(7)代入方程(5)和(6),得到

(8)

(9)

这里考虑了外源和非线性项平衡,即Q′(x,t)=ε2Q1(X,T).

将扰动流函数ψ′做如下的小参数展开:

ψ′(X,y,T)=εψ0(X,y,T)+ε3/2ψ1(X,y,T)+ε2ψ2(X,y,T)+….

(10)

将式(10)代入方程(8)和(9),得到各阶摄动问题:

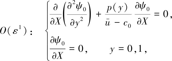
(11)

其中假设方程(11)有如下形式的分离解:

ψ0(X,y,T)=A(X,T)φ0(y),

(12)

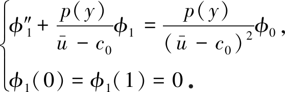
将式(12)代入方程(11),方程(11)变为

(13)

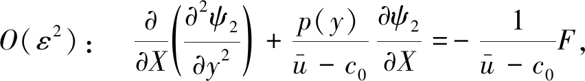
注意到方程(13)是一个本征值问题,而且本征值问题只能确定Rossby波振幅的径向结构,而不能确定Rossby波振幅随时空的演变.因此,需要考虑高阶问题:

(14)

为了得到Boussinesq方程,在不失一般情况下,假设

(15)

将式(15)代入方程(14) ,方程(14)变为

(16)

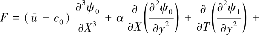
方程(16)也是一个本征值问题,也不能确定Rossby波振幅A(X,T).继续考虑更高一阶问题:

(17)

其中

(18)

利用本征值函数的正交性,得到方程(17)的可解性条件:

(19)

将方程(18)代入式(19)中,整理后得到

(20)

其中

这里φ0,φ1由本征值方程(13)和(16)来确定.方程(20)是刻画非线性Rossby波振幅演变所满足的数学模型.通过分析方程(20)能够解释非线性Rossby波新的物理机制.系数α2以及φ0φ1表示,这表明推广的β效应和切变基本流都是诱导Rossby波的非线性因素.而且即使没有切变基本流(即推广的β效应也能诱导非线性Rossby波,这与Song等的结果一样[22].μα4(∂A/∂X)表示由耗散效应引起的强迫项.α5(∂Q1/∂X)表示由外源产生的非齐次强迫项.由此可见,推广的β效应、切变基本流、外源和耗散都是非线性Rossby波的影响因素.当α4=0和α5=0时,方程(20)是标准的Boussinesq方程.因此,方程(20)称为带有外源和耗散强迫的非线性Boussinesq方程.

2 带有外源和耗散强迫的非线性Boussinesq方程的周期波解和孤立波解

α4=0和α5=0时,方程(20)变为标准的Boussinesq方程,即

(21)

利用Jacobi椭圆函数展开法[28],得到方程(21)的孤立波解为

(22)

其中k为径向线性波数,c为相速度,且

c2=-α1+α3k2.

类似于付遵涛等的方法[31],利用修正Jacobi椭圆函数展开法求解方程(20)的周期波解和孤立波解.为了计算简单,并且能够解释外源对Rossby波的影响,不妨假设

则方程(20)变为

(23)

A(X,T)=B(X,T)+τ(T),

(24)

其中将式(24)代入方程(23),整理得到

(25)

注意到,方程(25)是关于时间T的变系数Boussinesq方程.

利用修正Jacobi椭圆函数展开法,假设方程(25)具有如下形式解:

(26)

这里ξ=K(T)[X-C(T)],其中bj(T),K(T),C(T)是关于T的待定函数,sn(ξ,m)是Jacobi椭圆函数,m为Jacobi椭圆函数的模数(0≤m≤1).通过平衡方程(25)的最高阶非线性项和最高阶导数项,得到n=2.于是式(26)可写为

B(X,T)=b0(T)+b1(T)sn ξ+b2(T)sn2 ξ.

(27)

将式 (27)代入方程(25),得到

(28)

(29)

为方便计算,不妨设K(T)为线性波数k,而b0(T)满足方程

b0(T)-24α3m2k4b0(T)=g(T),

(30)

其中非齐次项

g(T)=24α3m2k4τ(T)-

(31)

注意到方程(30)是二阶常系数非齐次线性常微分方程,并且给定函数τ(T)后,容易求得方程(30)的解.因此,由式(24)、(27)~(31)联立可以得到方程(23)的周期波解为

(32)

由于sn2 ξ+cn2 ξ=1,并且当m→1,cn ξ→sech ξ,于是得到方程(23)的孤立波解为

(33)

孤立波的波速为

Cs=μα4T.

(34)

孤立波解(33)的解释: 由于方程(30)的非齐次项g(T)含有外源τ(T)和耗散系数μ,因此,解b0(T)中必含有τ(T)与μ,从而说明外源和耗散是影响Rossby孤立波的强迫因素.另外,孤立波解(33)中出现非线性项系数α2,说明推广的β效应和切变基本流是诱导非线性Rossby孤立波的重要因素.从式(34)来看,耗散效应影响Rossby孤立波的波速.因此,孤立波解(33)从理论上进一步说明外源和耗散影响Rossby孤立波的演变和发展.

3 结 论

本文推导了带有外源和耗散强迫的非线性Boussinesq方程去描述非线性Rossby波的振幅演变和发展,通过分析得出推广的β效应和切变基本流是诱导Rossby波的非线性因素.最后,利用修正的Jacobi椭圆函数展开法,得到带有外源和耗散强迫的非线性Boussinesq方程的周期波解和孤立波解,从解的结构进一步分析了外源和耗散影响非线性Rossby波的演变和发展.

参考文献References):

[1] LONG R R. Solitary waves in the westerlies[J]. Journal of Atmosphere Science, 1964, 21(3): 197-200.

[2] WADATI M. The modified Korteweg-de Vries equation[J]. Journal of the Physical Society of Japan, 1973, 34(5): 1289-1296.

[3] REDEKOPP L G. On the theory of solitary Rossby waves[J]. Journal of Fluid Mechanics, 1977, 82(4): 725-745.

[4] AMBRIZZI T, HOSKINS B J, HSU H H. Rossby wave propagation and teleconnection patterns in the austral winter[J]. Journal of Atmosphere Science, 1995, 52(21): 3661-3672.

[5] GRIMSHAW R. Nonlinear aspects of long shelf waves[J]. Geophysical & Astrophysical Fluid Dynamics, 1977, 8(1): 3-16.

[6] BENNEY D J. Long nonlinear waves in fluid flows[J]. Journal of Mathematics and Physics, 1966, 45(1): 52-63.

[7] REDEKOPP L G. WEIDMAN P D. Solitary Rossby waves in zonal shear flows and their interactions[J]. Journal of Atmosphere Science, 1978, 35(5): 790-804.

[8] BOYD J P. Equatorial solitary waves, part 1: Rossby solitons[J]. Journal of Physical Oceanography, 1980, 10(11): 1699-1718.

[9] BOYD J P. Equatorial solitary waves, part 2: envelope solitons[J]. Journal of Physical Oceanography, 1983, 13(3): 428-449.

[10] MENG L, LÜ K L. Nonlinear long-wave disturbances excited by localized forcing[J]. Chinese Journal of Computational Physics, 2000, 17(3): 259-267.

[11] ONO H. Algebraic Rossby wave soliton[J]. Journal of the Physical Society of Japan, 1981, 50(8): 2757-2761.

[12] LUO D H. On the Benjamin-Ono equation and its generalization in the atmosphere[J]. Science in China(Series B), 1989, 32(10): 1233-1245.

[13] MAXWORTHY T, REDEKOPP L G. New theory of the great red spot from solitary waves in the Jovian atmosphere[J]. Nature, 1976, 260(5551): 509-511.

[14] 罗德海, 季立人, 大气阻塞形成的一个理论[J]. 中国科学(B辑), 1989, 32(3): 323-333.(LUO Dehai, JI Liren. A theory of blocking formation in the atmosphere[J]. Science in China(Series B), 1989, 32(3): 323-333.(in Chinese))

[15] HOREL J D, WALLACE J M. Planetary-scale atmospheric phenomena associated with the southern oscillation[J]. Monthly Weather Review, 1981, 109(4): 813-829.

[16] 蒋后硕, 吕克利. 切变气流中地形强迫激发的非线性长波[J]. 高原气象, 1998, 17(3): 231-244.(JIANG Houshuo, LÜ Keli. The nonlinear long-wave excited by topography in a shear flow[J]. Plateau Meteorology, 1998, 17(3): 231-244.(in Chinese))

[17] 吕克利, 蒋后硕. 外源和孤波的相互作用对阻塞形成的影响[J]. 应用气象学报, 1998, 9(4): 431-440.(LÜ Keli, JIANG Houshuo. Influences of interaction of external source with solitary wave on blocking[J]. Journal of Applied Meteorological Science, 1998, 9(4): 431-440.(in Chinese))

[18] 张瑞岗, 杨联贵, 宋健, 等. 地形作用下的近赤道非线性Rossby波[J]. 地球物理学进展, 2017, 32(4): 1532-1538.(ZHANG Ruigang, YANG Liangui, SONG Jian, et al. Nonlinear Rossby waves near the equator with topography[J]. Progress in Geophysics, 2017, 32(4): 1532-1538.(in Chinese))

[19] MENG L, LÜ K L. Dissipation and algebraic solitary long-wave excited by localized topography[J]. Chinese Journal of Computational Physics, 2002, 19(2): 259-267.

[20] YANG H W, YIN B S, SHI Y L. Forced dissipative Boussinesq equation for solitary waves excited by unstable topography[J]. Nonlinear Dynamic, 2012, 70(2): 1389-1396.

[21] YANG H W, YANG D Z, SHI Y L, et al. Interaction of algebraic Rossby solitary waves with topography and atmospheric blocking[J]. Dynamics of Atmospheres and Oceans, 2015, 71(5): 21-34.

[22] SONG J, YANG L G. Modified KdV equation for solitary Rossby waves with β effect in barotropic fluids[J]. Chinese Physics B, 2009, 18(7): 2873-2877.

[23] 宋健, 刘全胜, 杨联贵. 切变纬向流中β效应与缓变地形Rossby波[J]. 物理学报, 2012, 61(21): 210510.(SONG Jian, LIU Quansheng, YANG Liangui. Beta effect and slowly changing topography Rossby waves in a shear flow[J]. Acta Physica Sinica, 2012, 61(21): 210510.(in Chinese))

[24] 李少峰, 杨联贵, 宋健. 层结流体中在热外源和β效应地形效应作用下的非线性Rossby孤立波和非齐次Schrödinger方程[J]. 物理学报, 2015, 64(19): 199-201.(LI Shaofeng, YANG Liangui, SONG Jian. Nonlinear solitary Rossby waves with external heating source and β effect topographic effect in stratified flows described by the inhomogeneous Schrödinger equation[J]. Acta Physica Sinica, 2015, 64(19): 199-201.(in Chinese))

[25] 尹晓军, 杨联贵, 宋健, 等. 完整Coriolis力作用下带有外源强迫的非线性KdV方程[J]. 应用数学和力学, 2017, 38(9): 1053-1060.(YIN Xiaojun, YANG Liangui, SONG Jian, et al. The nonlinear KdV equation under external forcing with the complete Coriolis force[J]. Applied Mathematics and Mechanics, 2017, 38(9): 1053-1060.(in Chinese))

[26] LU C N, FU C, YANG H W. Time-fractional generalized Boussinesq equation for Rossby solitary waves with dissipation effect in stratified fluid and conservation laws as well as exact solutions[J]. Applied Mathematics and Computation, 2018, 327(1): 104-116.

[27] HEREMAN W, NUSEIR A. Symbolic methods to construct exact solutions of nonlinear partial differential equations[J]. Mathematics and Computers in Simulation, 1997, 43(1): 13-27.

[28] LIU S K, FU Z T, LIU S D, et al. Jacobi elliptic function expansion method and periodic wave solutions of nonlinear wave equations[J]. Physics Letters A, 2001, 289(1): 69-74.

[29] FU Z T, LIU S K, LIU S D, et al. New Jacobi elliptic function expansion and new periodic solutions of nonlinear wave equations[J]. Physics Letters A, 2001, 290(2): 72-76.

[30] TRIKI H, TAHA T R, WAZWAZ A M. Solitary wave solutions for a generalized KdV-mKdV equation with variable coefficients[J]. Mathematics and Computers in Simulation, 2010, 80(9): 1867-1873.

[31] 付遵涛, 刘式达, 刘式适, 等. 含变系数或强迫项的KdV方程的新解[J]. 应用数学和力学, 2004, 25(1): 67-73.(FU Zuntao, LIU Shida, LIU Shikuo, et al. New exact solutions to KdV equations with variable coefficients or forcing[J]. Applied Mathematics and Mechanics, 2004, 25(1): 67-73.(in Chinese))

[32] HONG B D, LU C. New exact solutions for the generalized variable-coefficient Gardner equation with forcing term[J]. Applied Mathematics and Computation, 2012, 219(5): 2732-2738.

[33] PEDLOSKY J. Geophysical Fluid Dynamics[M]. New York: Springer, 1979.

[34] WARN T, BRASNETT B. The amplification and capture of atmospheric solitons by topography: a theory of the onset of regional blocking[J]. Journal of the Atmospheric Sciences, 1983, 40(1): 28-38.

A Nonlinear Boussinesq Equation With External Source and Dissipation Forcing Under Generalized β Plane Approximation and Its Solitary Wave Solutions

CHEN Liguo1,2, YANG Liangui1

(1. School of Mathematical Sciences, Inner Mongolia University, Hohhot 010021, P.R.China;2. School of Statistics and Mathematics, Inner Mongolia University of Finance and Economics, Hohhot 010070, P.R.China)

Abstract: Under generalized β plane approximation, based on the quasi-geostrophic potential vorticity equation, and by means of the Gardner-Morikawa transform and the weak nonlinear perturbation expansion method, a Boussinesq equation with external source and dissipation forcing was derived to describe the generation and evolution of the Rossby wave amplitude. The periodic wave solutions and solitary wave solutions for the Boussinesq equation were presented with the modified Jacobi elliptic function expansion method. The solution structure shows that, the generalized β effect, the shear basic flow, the external source and the dissipation are extremely important factors influencing the nonlinear Rossby wave.

Key words: Boussinesq equation; nonlinear Rossby wave; Jacobi elliptic function; external source; dissipation

ⓒ 应用数学和力学编委会,ISSN 1000-0887

http://www.applmathmech.cn

*收稿日期: 2019-02-27;

修订日期:2019-03-14

基金项目: 国家自然科学基金(11762011);内蒙古自然科学基金(2017MS0108)

作者简介:

陈利国(1976—),男,副教授,博士生(E-mail: chenliguo66@163.com);

杨联贵(1961—),男,教授,博士,博士生导师(通讯作者. E-mail: lgyang@imu.edu.cn).

引用格式: 陈利国, 杨联贵. 推广的β平面近似下带有外源和耗散强迫的非线性Boussinesq方程及其孤立波解[J]. 应用数学和力学, 2020, 41(1): 98-106.

中图分类号: O29; P433; O175.2

文献标志码:A

DOI: 10.21656/1000-0887.400067

Foundation item: The National Natural Science Foundation of China(11762011)