基于Lévy噪声的混合时滞中立型神经网络自适应同步研究

顾凤蛟, 高 燕, 任丽佳, 马健武, 陈玲琦

(上海工程技术大学 电子电气工程学院, 上海 201600)

摘要: 研究了带有Lévy噪声的混合时滞随机中立型神经网络的自适应同步问题Lévy噪声的提出,使得网络里的噪声干扰由Gauss过程和Poisson点过程两部分组成,同时包含了连续的扰动和不连续的突触噪声通过建立新的Lyapunov泛函,使用Its公式以及不等式分析方法,得到误差系统的稳定性条件,给出了反馈控制器的更新率,从而进一步保证响应系统和驱动系统的自适应同步最后,提供了一个数值实例,通过MATLAB相关仿真,说明前文所得结果的正确性

关 键 词: 中立型神经网络; Lévy噪声; 自适应同步; 混合时滞

引 言

在神经网络中,时滞延迟是不可避免的问题,它可能会破坏网络的稳定性,甚至会出现混沌现象因此,时滞系统的动力学行为分析具有重要现实价值中立型神经网络是一类特殊的时滞系统,其模型结构特点是不仅系统状态中存在时滞,而且系统状态的导数中也存在时滞,即系统状态的演化依赖于现在的状态和过去时刻状态的变化率由于中立型神经网络的特殊性,激起了很多学者的研究兴趣(见文献[1-3])但中立型神经网络的系统模型更加复杂,已经取得的很多结果不能简单地套用,所以有关中立型神经网络的研究成果有待进一步完善

众所周知,稳定和同步问题是神经网络研究中非常重要的问题对于含有不同时变时滞的神经网络系统,得到了很多研究者的关注,已有文献研究了很多有关稳定性的结果(见文献[4-7])其中文献[4]研究了基于加性时滞和混合时滞的中立型神经网络的稳定性;文献[5]研究了具有连续时滞的神经网络的渐近稳定性此外,对于神经网络同步开始广泛用在信号处理、组合优化和信息安全等领域现在已经存在很多有关神经网络同步的研究(见文献[8-14])比如文献[11]讨论了两个混沌神经网络的自适应同步问题;文献[12]研究了有关模糊控制系统的自适应控制问题

在有关研究中立型神经网络稳定性和同步性的文献中,Gauss白噪声或Brown运动被认为是描述神经网络中出现扰动的一种常用模型然而Gauss白噪声是连续的运动轨迹,不足以描述由突触传递所产生的不连续突触噪声幸运的是,Poisson点过程可以用来描述这种突触噪声研究者们为了更好地对系统噪声进行建模,提出了Lévy噪声,它由Gauss过程和Poisson点过程两部分组成,包含了连续的Gauss白噪声和不连续的突触噪声,这样使得网络系统中的噪声能够更加全面且贴合实际关于具有Lévy噪声的随机微分系统的稳定性研究,见文献[15-17]文献[9]研究了具有Gauss噪声的时滞神经网络,并没有使用Lévy噪声;文献[16]研究了具有Lévy噪声的时滞网络稳定性,模型中的时滞并没有同时依赖于离散和分布时滞本文在中立型神经网络系统中的扰动使用的是Lévy噪声,时滞为包含离散和分布两部分的混合时滞,考虑了更多的时滞信息,所得的结论相对具有较小的保守性到目前为止,基于Lévy噪声的混合时滞中立型神经网络的自适应同步问题还没有引起足够的重视

本文主要研究基于Lévy噪声的混合时滞中立型神经网络的p阶自适应指数同步,所采用的方法包括线性矩阵不等式方法、Lyapunov泛函方法和不等式分析技术,由此得到网络的p阶自适应指数同步准则和控制器的更新率

主要创新点为以下三点:

1) 建立了基于Lévy噪声的混合时滞中立型神经网络模型;

2) 本文提出的Lyapunov泛函可以解决同时存在混合时滞中立型和Lévy噪声的问题;

3) 设计了新的控制器更新率,得到响应系统和驱动系统是p阶自适应指数同步准则

1 问 题 描 述

神经网络动力学经常被建模为带Gauss白噪声的随机系统,而本文网络模型中的扰动是将Gauss白噪声推广到了Lévy噪声,且在中立型神经网络中添加了包含离散和分布两部分的混合时滞,所得的结论相对具有较小的保守性

考虑如下带有Lévy噪声的混合时滞随机中立型神经网络模型:

d[x(t)-Dr(t)x(t-h0)]=

g(t,r(t),x(t),x(t-h1(t)),…,x(t-hm(t)))dB(t)+

(1)

其中x(t)=[x1(t),x2(t),…,xn(t)]TRn表示n个神经元的状态向量, f(·)是神经元激活函数,hq(t),δ(t)是传递时滞对于是正定对角矩阵,分别表示连接权矩阵和时滞连接权矩阵,B(t)是定义在完备概率空间的一维标准Brown运动,N(dt,dz)表示一个一维Ft-适应的Poisson随机测度g:R+×S×Rn×…×RnRn×mh:R+×S×R×Rn×…×RnRn分别是连续噪声强度矩阵和不连续噪声强度矩阵

令{r(t),t≥0}是一个取值于完备概率空间S={1,2,…,S}上的右连续Markov链,其转移矩阵Γ=(γij)S×S表示成

其中δ>0,γij≥0是ij时从ij的传输速率,

主系统(1)所对应的从系统如下:

d[y(t)-Dr(t)y(t-h0)]=

g(t,r(t),y(t),y(t-h1(t)),…,y(t-hm(t)))dB(t)+

(2)

其中y(t)是网络的状态向量,是对应于的估计量,U(t,r(t))是同步控制器

e(t)=y(t)-x(t),记r(t)=i,由式(1)和(2)易得

d[e(t)-Dr(t)e(t-h0)]=

[g(t,r(t),y(t),y(t-h1(t)),…,y(t-hm(t)))-

g(t,r(t),x(t),x(t-h1(t)),…,x(t-hm(t)))]dB(t)+

h(t,r(t),x(t),x(t-h1(t)),…,x(t-hm(t)))]N(dt,dz),

(3)

其中

系统(3)的初始条件为

F(t)=F(t,x(t),y(t),r(t),e(t),eh1(t),…,ehm(t))=

G(t)=G(t,x(t),y(t),r(t),e(t),eh1(t),…,ehm(t))=

g(t,r(t),y(t),y(t-h1(t)),…,y(t-hm(t)))-

g(t,r(t),x(t),x(t-h1(t)),…,x(t-hm(t))),

H(t,z)=H(t,x(t),y(t),r(t),e(t),eh1(t),…,ehm(t))=

h(t,r(t),y(t),y(t-h1(t)),…,y(t-hm(t)))-

h(t,r(t),x(t),x(t-h1(t)),…,x(t-hm(t))),

则式(3)可以简记为

(4)

时滞状态反馈控制器如下:

U(i,t)=Ki[e(t)+ψ(e(t))], ψ(e(t))=φ(y(t))-φ(x(t))

(5)

假设1 对于中立项参数矩阵Di(i=1,2,…,S),存在κi∈(0,1),κi为正常数,使得ρ(Di)=κiκ∈(0,1),其中κ=maxiSκi,且ρ(Di)是矩阵Di的谱半径

假设2 对于激活函数f(·)满足Lipschitz条件,存在常数L>0,使得

|f(x)-f(y)|≤L|x-y|, ∀x,yRn

假设3 特征测度υ(dz)dt满足υ(dz)dt=λμ(dz)dt,使得Poisson点过程是平稳过程,其中λ是Poisson分布的强度,而μ是随机变量z的概率分布

假设4 连续噪声强度矩阵g(t,r(t),x(t),x(t-h1(t)),…,x(t-hm(t)))满足Lipschitz条件,存在正常数使得

trace[GT(t,r(t),x(t),x(t-h1(t)),…,x(t-hm(t)))·

G(t,r(t),x(t),x(t-h1(t)),…,x(t-hm(t)))]≤

G+G1+…+Gq+Gδ,

]νdz

下面我们给出系统p阶自适应指数同步的定义如下

定义1使得

则误差系统(3)的平凡解e(t,ζ(θ))是p阶指数稳定的当误差系统(3)是p阶指数稳定的,主系统(1)和从系统(2)是p阶指数同步的

定义2 如果一个随机过程{x(t)|t∈[0,+∞)}满足下面的条件,则它是一个Lévy过程:

1) x(0)=0;

2) x(t)有独立平稳增量;

3) 对于∀a>0,∀s≥0,x(t)是随机连续的

引理1[18] 假设xRn, yRn,那么有

xTy+yTxxTx+-1yTy

对∀>0都成立

引理2(Young不等式[19]) 假设a,bRβ∈[0,1],那么

β|a|+(1-β)|b|

引理3[20] 假设p>1,存在常数μ∈(0,1),使得|D(z,i)|≤μ|z|,则

≤(1+μ)p-1(), ∀(x,z,i)∈RN×RN×S

(6)

引理4[20] 假设p>1,存在一个常数μ∈(0,1),使得|D(z,i)|≤μ|z|,那么有

(7)

使用Hölder不等式,得到

-≤-(1-μ)p-1+μ(1-μ)p-1

(8)

引理5[21] 存在正定对称矩阵R和任意可微函数w:[a,b]→Rn,那么有

(9)

2 主 要 结 果

给定V(x,t,i)∈C2,1(R+×S×Rn×…×Rn;R+),定义算子

LV(t,i,e,eh0)=

Vt(t,i,e-Dieh0)+Vx(t,i,e-Dieh0)F(t)+

(10)

其中

定理1 假设存在函数V(e,t,i)∈C2,1(Rn×S×R+;R+)及4个正常数p,μ1,λ1,λ2使得

λ2<λ1μ1V(e,t,i),

(11)

LV(t,e,eh,i)≤-λ1+λ2, ∀t≥0, iS, eRn,

(12)

(13)

那么,系统是p阶指数稳定的

定理2 假设

(14)

其中

κ=H1+H2+H3+H4-a1(1-μ)p-1+a2(1+μ)p-1

ι0=(J1+J2+J3+J4)wi+a2c2μ(1-μ)p-1+b1μ+η0ιq=L2+ηq+Gq

(15)

反馈控制器U(i,t)的更新率选择为

(16)

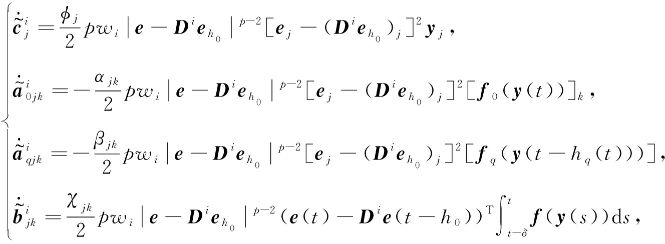
且矩阵的参数更新率选择如下:

(17)

其中ζj>0,φj>0,αjk>0,βjk>0, χjk>0(j,k=1,2,…,n)分别是任意的正常数

那么,响应系统(2)和驱动系统(1)是p阶自适应指数同步的

证明 选择如下的Lyapunov函数:

V(t,r(t),x(t))=V1+V2+V3+V4+V5+V6

其中

X=e(t)-Die(t-h0),由式(12)和(13)计算算子LV1可得

(18)

利用式(6)分别计算以下算子:

-kpwi(e(t)-Dieh0)T

(19)

(20)

(21)

(22)

(23)

结合式(18)~(23),可以得到

LV(t,i,e,eh0)≤

(24)

运用假设2~4以及引理1、3和4可得

(25)

(26)

Gq+Gδ],

(27)

ηq+ηδ],

(28)

并且有

(29)

使用Young不等式得

(30)

(31)

(-eTCie)≤

(-

γ(-(1-μ)p-3+μ(1-μ)p-3)=

(32)

(33)

(34)

利用引理1,计算可得

(35)

其中,S是正定对称矩阵

再使用引理5,我们有

(36)

(37)

ϑϑμ(1+μ)p-1

(38)

把式(25)~(38)代入式(10),通过计算可得

[wi(J1+J2+J3+J4)+J5+η0]+

wi(L2+η1+G1)+…+wi(L2+ηm+Gm)

(39)

其中

ϑ(1+μ)p-1,

ϑμ(1+μ)p-1,

a2c2μ(1-μ)p-1+b1μ

整理可得

((J1+J2+J3+J4)wi+a2c2μ(1-μ)p-1+b1μ+η0)+

wi(L2+η1+G1)+…+wi(L2+ηm+Gm)=

(40)

其中

κ=H1+H2+H3+H4-a1(1-μ)p-1+a2(1+μ)p-1

ι0=(J1+J2+J3+J4)wi+a2c2μ(1-μ)p-1+b1μ+η0ιq=L2+ηq+Gq

根据广义Dynkin定理可得

EEV(0,ξ(0))+ELV(s,e(s),eh1(s),…,ehm(s))ds

(41)

(42)

υ1+υ2Eds

(43)

其中

Eυ1eυ2t可得,

因此误差系统(3)是p阶指数稳定的,可得响应系统(2)和驱动系统(1)是p阶自适应指数同步的

3 数 值 仿 真

我们考虑系统(1)~(3)S={1,2}为Markov链{r(t):t≥0}的状态空间,其Markov链如图1所示

网络参数给定如下:

神经元激活函数选择如下f(x(t))=tanh(x(t)),取h0=0.1,h1=0.4,h2=0.7,令扰动为Lévy噪声Lévy噪声如图2和3所示

图1 Markov链
Fig. 1 The Markov chain

图2 Brown运动
Fig. 2 The Brownian motion

连续的噪声强度函数如下:

G(t,1,e,eh1,eh2)=[0.3e+0.2eh2, 0.5eh1],

G(t,2,e,eh1,eh2)=[0.4eh2, 0.1e+0.2eh1];

不连续的噪声强度函数如下:

H(t,1,z,e,eh1,eh2)=z(e+eh1+eh2)/10,

H(t,2,z,e,eh1,eh2)=z(e+eh1+eh2)/10

通过上面参数易得

α=0.186 3, β1=0.204 4, β2=0.228 5, μ=0.2, L=1,

假设1~4成立,且符合条件(14)因此,依据定理2,响应系统(2)和驱动系统(1)是p阶自适应指数同步误差系统(3)的状态轨迹见图4,根据图4可以看出响应系统(2)和驱动系统(1)是同步的其中控制率的状态变化见图5本文的结果将文献[9]中的扰动由连续的Gauss噪声扩展到同时包含连续和不连续部分的Lévy噪声,此外,还将文献[16]中的离散时滞推广到了离散和分布都存在的情况

图3 Poisson点过程
Fig. 3 The Poisson point process

图4 误差系统的状态曲线
Fig. 4 The state trajectory of the error system

图5 控制增益的更新率
Fig. 5 The update rate of the gain controller

4 结 论

本文针对基于Lévy噪声的混合时滞中立型神经网络系统,通过线性矩阵不等式方法和Lyapunov稳定性理论,给出了系统的自适应同步准则和控制器的更新率所提出的Lévy噪声,使得网络里的噪声干扰不仅包含了连续的扰动,而且含有不连续的突触噪声同时,中立型神经网络系统中的时滞是包含离散和分布两部分的混合时滞,考虑了更多的时滞信息,所得的结论相对具有较小的保守性最后,本文提供了一个数值实例来验证所提出方法的有效性

参考文献(References):

[1] BALASUBRAMANIAM P, MANIVANNAN A, RAKKIYAPPAN R. Exponential stability results for uncertain neutral systems with interval time-varying delays and Markovian jumping parameters[J]. Applied Mathematics and Computation, 2010, 216(11): 3396-3407.

[2] LIU Y R, WANG Z, LIU X. Stability analysis for a class of neutral-type neural networks with Markovian jumping parameters and mode-dependent mixed delays[J]. Neurocomputing, 2012, 94(3): 46-53.

[3] DAI A D, ZHOU W N, XU Y H, et al. Adaptive exponential synchronization in mean square for Markovian jumping neutral-type coupled neural networks with time-varying delays by pinning control[J]. Neurocomputing, 2016, 173(3): 809-818.

[4] SAMIDURAI R, RAJAVEL S, SRIRAMAN R, et al. Novel results on stability analysis of neutral-type neural networks with additive time-varying delay components and leakage delay[J]. Automation and Systems, 2017, 15(4): 1888-1900.

[5] ZHAO Y, GAO H, MOU S. Asymptotic stability analysis of neural networks with successive time delay components[J]. Neurocomputing, 2008, 71(13/15): 2848-2856.

[6] PHAT V N, TRINH H. Exponential stabilization of neural networks with various activation functions and mixed time-varying delays[J]. IEEE Transactions on Neural Networks, 2010, 21(7): 1180-1184.

[7] 舒含奇, 宋乾坤. 带有时滞的Clifford值神经网络的全局指数稳定性[J]. 应用数学和力学, 2017, 38(5): 513-525. (SHU Hanqi, SONG Qiankun. Global stability of Clifford-valued recurrent neural networks with mixed time-varying delays[J]. Applied Mathematics and Mechanics, 2017, 38(5): 513-525. (in Chinese))

[8] ZHOU W N, TONG D B, FANG J A. Adaptive synchronization for stochastic neural networks of neutral-type with mixed time-delays[J]. Neurocomputing, 2013, 99(1): 477-485.

[9] ZHOU W N, TONG D B, GAO Y, et al. Mode and delay-dependent adaptive exponential synchronization in pth moment for stochastic delayed neural networks with Markovian switching[J]. IEEE Transactions on Neural Networks and Learning Systems, 2012, 23(4): 662-668.

[10] 张玮玮, 陈定元, 吴然超, 等. 一类基于忆阻器分数阶时滞神经网络的修正投影同步[J]. 应用数学和力学, 2018, 39(2): 239-248. (ZHANG Weiwei, CHEN Dingyuan, WU Ranchao, et al. Modified-projective-synchronization of memristor-based fractional-order delayed neural networks[J]. Applied Mathematics and Mechanics, 2018, 39(2): 239-248. (in Chinese))

[11] HE W L, CAO J D. Adaptive synchronization of a class of chaotic neural networks with known or unknown parameters[J]. Physics Letters A, 2007, 372(4): 408-416.

[12] CHEN C S, TSAI S H, TAML M, et al. Fuzzy adaptive control of two totally different chaotic systems with complicated structures by novel pragmatically adaptive control strategy[J]. Soft Computing, 2017, 21(22): 35-38.

[13] 艾合麦提·麦麦提阿吉, 李洪利. 含分布时滞递归神经网络的一般衰减同步[J]. 应用数学和力学, 2019, 40(11): 1204-1213. (MUHAMMADHAJI Ahmadjan, LI Hongli. General decay synchronization for recurrent neural networks with distributed time delays[J]. Applied Mathematics and Mechanics, 2019, 40(11): 1204-1213. (in Chinese))

[14] WU Z, SHI P, SU H, et al. Stochastic synchronization of Markovian jump neural networks with time-varying delay using sampled-data[J]. IEEE Transactions on Cybernetics, 2013, 43(6): 1796-1806.

[15] APPLEBAUM D, SIAKALLI M. Stochastic stabilization of dynamical systems using Lévy noise[J]. Stochastics and Dynamics, 2010, 10(4): 509-527.

[16] PENG J, LIU Z M. Stability analysis of stochastic reaction-diffusion delayed neural networks with Lévy noise[J]. Neural Computing and Applications, 2011, 20(4): 535-541.

[17] YANG J, ZHOU W N, SHI P, et al. Synchronization of delayed neural networks with Lévy noise and Markovian switching via sampled data[J]. Nonlinear Dynamics, 2015, 81(3): 1179-1189.

[18] WANG Z, LIU Y, YU L, et al. Exponential stability of delayed recurrent neural networks with Markovian jumping parameters[J]. Physics Letters A, 2006, 356(4/5): 346-352.

[19] XENG X J, TIAN S H, SHI H G. Stability analysis of stochastic recurrent neural networks with unbounded time-varying delays[J]. Neurocomputing, 2011, 74(10): 11-16.

[20] KOLMANOVSKII V, KOROLEVA N, MAIZENBERG T, et al. Neutral stochastic differential delay equations with Markovian switching[J]. Stochastic Analysis and Applications, 2003, 21(4): 819-847.

[21] PARK P, LEE W, LEE S Y. Auxiliary function-based integral inequalities for quadratic functions and their applications to time-delay systems[J]. Journal of the Franklin Institute, 2015, 352(4): 1378-1396.

Adaptive Synchronization of Neutral Neural Networks With Mixed Delays and Lévy Noises

GU Fengjiao, GAO Yan, REN Lijia, MA Jianwu, CHEN Lingqi

(School of Electronic and Electrical Engineering, Shanghai University of Engineering Science, Shanghai 201600, P.R.China)

Abstract: The problem of feedback controllers designed to achieve adaptive synchronization was investigated for neutral neural networks with mixed delays and Lévy noises. The noise disturbance in the neural network model was driven by the Lévy stochastic process consisting of the Gaussian process and the Poisson point process, and involving continuous disturbances as well as discontinuous synaptic noises. Based on the Lyapunov functional, the Its formula and the inequality analysis technique, the criteria to ensure adaptive stabilization for the error system were built. Moreover, the update rate of the feedback controller was given to enhance the adaptive synchronization of the response system and the drive system. Results of a simulation example show the effectiveness of the theoretical analysis.

Key words: neutral neural network; Lévy noise; adaptive synchronization; mixed delays

中图分类号: O231

文献标志码:A

DOI: 10.21656/1000-0887.400350

收稿日期: 2019-11-21; 修订日期:2020-09-29

基金项目: 国家自然科学基金(61503238)

作者简介:

顾凤蛟(1996—),女,硕士生(E-mail: 2548746829@qq.com);

高燕(1985—),女,讲师,博士,硕士生导师(通讯作者. E-mail: gy@sues.edu.cn).

引用格式: 顾凤蛟, 高燕, 任丽佳, 马健武, 陈玲琦. 基于Lévy噪声的混合时滞中立型神经网络自适应同步研究[J]. 应用数学和力学, 2020, 41(11): 1259-1274.

Foundation item: The National Natural Science Foundation of China(61503238)