基于n阶剪切变形理论的复合材料层合板屈曲分析*

石 峰1, 马洪英1, 孙义真1,项 松2, 王艳冰2, 栾婷婷1

(1. 沈阳广播电视大学 数字化资源研发中心, 沈阳110003;2. 沈阳航空航天大学 辽宁省通用航空重点实验室, 沈阳 110136)

摘要: 采用n阶剪切变形理论分析了复合材料层合板的屈曲问题,根据虚功原理推导出了复合材料层合板在面内载荷作用下临界屈曲的控制微分方程.将此方法所得结果与其他文献中的结果进行了比较,结果表明,该理论具有较高的计算精度.

关 键 词: 复合材料层合板; 屈曲; 解析法; 面内载荷; n阶剪切变形理论

引 言

复合材料层合板具有较高的比强度,已经被广泛用于航空、航天、建筑、船舶等领域.随着复合材料在民用飞机中的广泛应用,对其结构的力学分析已成为普遍关注的重要问题之一,如复合材料结构屈曲与后屈曲问题是国内外复合材料界的研究热点[1]

很多学者研究了复合材料层合板的屈曲问题:袁坚锋等[2]对弯剪复合载荷作用下,复合材料层合板屈曲的强度校核方法进行了分析;彭林欣等[3]针对加肋板屈曲临界荷载的问题进行了求解;顾元宪等[4]在有限元分析基础上,研究了以屈曲稳定性作为约束条件或优化目标的复合材料层合板结构优化设计及其灵敏度分析方法;洪厚全等[5]采用模拟退火算法对复合材料层合板屈曲问题进行了优化设计研究;龚良贵等[6]采用广义Fourier级数法建立了具有弹性约束的复合材料矩形层板在面内载荷作用下的非线性稳定性控制方程组,并分析了层合板非线性屈曲问题;彭凡等[7]将瞬时弹性失稳荷载、持久临界荷载和后屈曲持久变形刚度作为复合材料层合板蠕变屈曲与变形的优化指标,对纤维铺设角进行了优化分析.

由于复合材料层合板结构的复杂性,严格按三维理论分析复合材料层合板结构将是非常困难的,故发展出了各种高阶剪切变形层合板理论.高阶剪切变形层合板理论是在一阶剪切变形层合板理论的基础上发展起来的,是一种分析复合材料层合板结构有效的近似方法,不但能反映三维效应,而且计算精度较高,目前受到了广泛的重视.杨加明等[8]根据Reddy的高阶剪切变形理论,分析了复合材料层板的中等大挠度情况.

n阶剪切变形理论是对Reddy的高阶剪切变形理论的概括,Reddy的高阶剪切变形理论是n阶剪切变形理论在n=3时的特例.n阶剪切变形理论已经由项松等[9-13]用于复合材料层合板、功能梯度板和复合材料夹层板的自由振动及静力分析.

本文采用n阶剪切变形理论分析了复合材料层合板的屈曲问题,采用虚功原理推导出了复合材料层合板在面内载荷作用下临界屈曲的控制微分方程.最后将本文方法所得结果与其他文献中的结果进行了比较.

1 n阶剪切变形理论

n阶剪切变形理论满足剪切应力条件,则其公式如下:

(1)

式中, u,v,w,φx是位移函数, h是板的厚度,n=3,5,7,9,….3阶理论是n阶剪切变形理论的特例.

应变如下式所示:

(2)

基于虚功原理可以获得如下的方程:

(3)

式中是临界屈曲载荷.

(4)

应力-应变关系如下:

(5)

式中

(6)

θ是纤维方向角,

(7)

将式(5)代入式(4),得到如下方程:

(8)

(9)

(10)

(11)

(12)

(13)

(14)

(15)

(16)

(17)

(18)

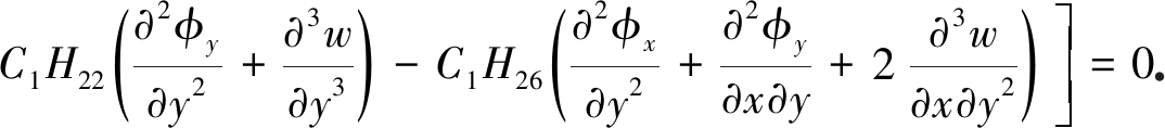
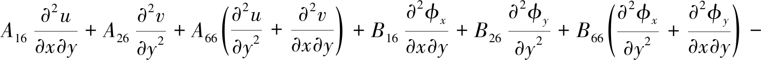
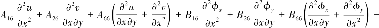
将式(8)~(17)代入式(3),得到用位移表示的控制微分方程如下:

(19)

(20)

(21)

(22)

(23)

简支边界条件如下:

(24)

2 求 解 方 法

(25)

式中,α=rπ/aβ=sπ/brsxy方向的半波数.

将式(25)代入式(19)~(23),可以得到如下的方程:

(26)

式中,K为刚度矩阵,是临界屈曲载荷,M为质量矩阵.方程(26)有非零解的充分必要条件是的行列式为零,通过求解方程临界屈曲载荷可以被求出.

3 数 值 算 例

复合材料层合板每层的材料属性如下:

下式被用来对屈曲载荷进行无量纲处理:

(27)

表1列出了简支复合材料层合板(0°/90°/0°,a/h=10)在单轴载荷作用下的临界屈曲载荷.表2列出了简支复合材料层合板(0°/90°/0°/90°/0°,a/h=10)在单轴载荷作用下的临界屈曲载荷.表3列出了简支复合材料层合板(0°/90°/0°/90°/0°/90°/0°/90°/0°,a/h=10)在单轴载荷作用下的临界屈曲载荷.通过表1~3可以看出,本文结果与参考文献中的结果具有较好的一致性.

表1 简支复合材料层合板(0°/90°/0°,a/h=10)在单轴载荷作用下的临界屈曲载荷
Table 1 The non-dimensional buckling load of the simply supported composite laminate plate(0°/90°/0°,a/h=10) under uniaxial load

methodE1/E2=3E1/E2=10E1/E2=20E1/E2=30E1/E2=40ref. [14]5.3879.83314.89818.89222.153ref. [15]5.3939.94015.29819.67423.340this paper,n=35.3899.83214.88918.87722.120this paper,n=55.3999.87715.00019.05522.361this paper,n=75.4089.91815.10419.22822.601

表2 简支复合材料层合板(0°/90°/0°/90°/0°,a/h=10)在单轴载荷作用下的临界屈曲载荷
Table 2 The non-dimensional buckling load of the simply supported composite laminate plate(0°/90°/0°/90°/0°,a/h=10) under uniaxial load

methodE1/E2=3E1/E2=10E1/E2=20E1/E2=30E1/E2=40ref. [14]5.40410.08815.79120.59124.69ref. [15]5.40910.1516.00820.99925.308this paper,n=35.40610.08915.78720.57824.675this paper,n=55.41210.115.80420.60224.712this paper,n=75.4210.12715.86920.71324.873

表3 简支复合材料层合板(0°/90°/0°/90°/0°/90°/0°/90°/0°,a/h=10)在单轴载荷作用下的临界屈曲载荷
Table 3 The non-dimensional buckling load of the simply supported composite laminate plate(0°/90°/0°/90°/0°/90°/0°/90°/0°,a/h=10)under uniaxial load

methodE1/E2=3E1/E2=10E1/E2=20E1/E2=30E1/E2=40ref. [14]5.40910.17616.10621.19125.608ref. [15]5.43110.19716.17221.31525.79this paper,n=35.41210.17716.121.17825.584this paper,n=55.41810.19516.14321.24825.683this paper,n=75.42510.22116.20621.35625.842

图1、2所示为三层和四层板的临界屈曲载荷随模量比的变化.从图1、2可以看出,随着模量比的增加,临界屈曲载荷逐渐增加,n值越大,临界屈曲载荷越大.

图1 简支复合材料层合板(0°/90°/0°,a/h=10)在单轴载荷作用下的临界屈曲载荷随E1/E2的变化 图2 简支复合材料层合板(0°/90°/90°/0°,a/h=10)在单轴载荷作用下的临界屈曲载荷随E1/E2的变化
Fig. 1 Variations of the non-dimensional buckling load of the simply supported composite laminate plate(0°/90°/0°,a/h=10) under uniaxial load with E1/E2 Fig. 2 Variations of the non-dimensional buckling load of the simply supported composite laminate plate (0°/90°/90°/0°,a/h=10) under uniaxial load with E1/E2

4 结 论

本文采用n阶剪切变形理论分析了复合材料层合板的屈曲问题,采用虚功原理,推导出了复合材料层合板在面内载荷作用下临界屈曲的控制微分方程.结合数值算例,对简支复合材料层合板在单轴载荷作用下的临界屈曲载荷进行了分析和计算.数值计算结果表明,本文的n阶理论在屈曲载荷计算方面具有较高的精度.

参考文献References):

[1] 孔斌, 叶强, 陈普会, 等. 复合材料整体加筋板轴压后屈曲的传载机制[J]. 复合材料学报, 2010, 27(5): 142-149.(KONG Bin, YE Qiang, CHEN Puhui, et al. Post-buckling load transfer mechanisms of an integrated composite panel under uniaxial compression[J]. Acta Materiae Compositae Sinica, 2010, 27(5): 142-149.(in Chinese))

[2] 袁坚锋, 尼早, 陈保兴. 弯剪复合载荷作用下复合材料层合板屈曲的强度校核方法[J]. 复合材料学报, 2014, 31(1): 234-240.(YUAN Jianfeng, NI Zao, CHEN Baoxing. Stress analysis of the buckling of composite laminates under bending shear combination loads[J]. Journal of Composite Materials, 2014, 31(1): 234-240.(in Chinese))

[3] 彭林欣, 杨绿峰. 基于一阶剪切变形理论和移动最小二乘近似的加肋板屈曲临界荷载求解[J]. 工程力学, 2012, 29(7): 42-48.(PENG Linxin, YANG Lüfeng. Critical buckling load calculation of ribbed plates by the first-order shear deformation theory and the moving-least square approximation[J]. Engineering Mechanics, 2012, 29(7): 42-48.(in Chinese))

[4] 顾元宪, 赵国忠, 李云鹏. 复合材料层合板屈曲稳定性优化设计及其灵敏度计算方法[J]. 复合材料学报, 2002, 19(4): 81-86.(GU Yuanxian, ZHAO Guozhong, LI Yunpeng. Optimum design and sensitivity analysis for buckling stability of composite laminated plates[J]. Journal of Composite Materials, 2002, 19(4): 81-86.(in Chinese))

[5] 洪厚全, 李玉亮, 徐超. 复合材料层合板屈曲优化设计的模拟退火算法应用[J]. 强度与环境, 2012, 39(6): 8-14.(HONG Houquan, LI Yuliang, XU Chao. Optimum design and sensitivity analysis for buckling stability of composite laminated plates[J]. Strength and Environment, 2012, 39(6): 8-14.(in Chinese))

[6] 龚良贵, 侯瑾, 李情. 面内载荷作用下复合材料层合板非线性屈曲[J]. 南昌大学学报(工科版), 2011, 33(3): 252-258.(GONG Lianggui, HOU Jin, LI Qing. Nonlinear buckling of composite laminated plates subjected to in-plane loading[J]. Journal of Nanchang University(Engineering & Technology), 2011, 33(3): 252-258.(in Chinese))

[7] 彭凡, 刘一凡, 傅依铭. 复合材料层合板蠕变屈曲与变形的优化问题[J]. 固体力学学报, 2006, 27(1): 51-58.(PENG Fan, LIU Yifan, FU Yiming. Optimization of creep buckling and deformation for viscoelastic laminated plates[J]. Journal of Solid Mechanics, 2006, 27(1): 51-58.(in Chinese))

[8] 杨加明, 孙良新. 用高阶剪切变形理论分析复合材料层板的中等大挠度[J]. 南京航空航天大学学报, 2003, 35(5): 545-552.(YANG Jiaming, SUN Liangxin. Analysis of moderate large deflection of composite laminated plates using higher-order shear deformation theory[J]. Journal of Nanjing University of Aeronautics and Astronautics, 2003, 35(5): 545-552.(in Chinese))

[9] XIANG S, JIN Y X, BI Z Y, et al. A n-order shear deformation theory for free vibration of functionally graded and composite sandwich plates[J]. Composite Structures, 2011, 93(11): 2826-2832.

[10] XIANG S, KANG G W, XING B. A nth-order shear deformation theory for the free vibration analysis on the isotropic plates[J]. Meccanica Milano, 2012, 47(8): 1913-1921.

[11] 项松, 陈英涛. 正交各向异性和各向同性方板自由振动的三维无网格解[J]. 工程力学, 2013, 30(8): 18-22.(XIANG Song, CHEN Yingtao. Three-dimensional meshless solutions for the free vibration of orthotropic and isotropic square plates[J]. Engineering Mechanics, 2013, 30(8): 18-22.(in Chinese))

[12] XIANG S, KANG G W. A nth-order shear deformation theory for the bending analysis on the functionally graded plates[J]. European Journal of Mechanics A: Solids, 2013, 37: 336-343.

[13] XIANG S, KANG G W, LIU Y Q. A nth-order shear deformation theory for natural frequency of the functionally graded plates on elastic foundations[J]. Composite Structures, 2014, 111: 224-231.

[14] FERREIRA A J M, ROQUE C M C, NEVES A M A, et al. Buckling analysis of isotropic and laminated plates by radial basis functions according to a higher-order shear deformation theory[J]. Thin-Walled Structures, 2011, 49(7): 804-811.

[15] PUTCHA N S, REDDY J N. Stability and natural vibration analysis of laminated plates by using a mixed element based on a refined plate theory[J]. Journal of Sound and Vibration, 1986, 104(2): 285-300.

Buckling Analysis of Composite Laminate Plates Based on the nth-Order Shear Deformation Theory

SHI Feng1, MA Hongying1, SUN Yizhen1,XIANG Song2, WANG Yanbing2, LUAN Tingting1

(1. Research and Development Center of Digital Resources, Shenyang Open University,Shenyang 110003, P.R.China;2. Liaoning Key Laboratory of General Aviation, Shenyang Aerospace University,Shenyang 110136, P.R.China)

Abstract: The buckling problem of composite laminate plates was analyzed with the nth-order shear deformation theory. The virtual work principle was used to derive the governing equations for the critical buckling of laminate pates under in-plane loads. The comparison between the present results and the results of previous literatures shows good agreement and high calculation accuracy.

Key words: composite laminate plate; buckling; analytical method; in-plane load; nth-order shear deformation theory

中图分类号: O326

文献标志码:A

DOI: 10.21656/1000-0887.410061

* 收稿日期: 2020-02-24; 修订日期:2020-04-16

基金项目: 航空科学基金(20173254006);辽宁省自然科学基金指导计划(20180550824);辽宁省教育厅重点攻关和服务地方项目(JYT19004)

作者简介: 石峰(1987—),男,讲师,硕士(通讯作者. E-mail: 707163415@qq.com).

引用格式: 石峰, 马洪英, 孙义真, 项松, 王艳冰, 栾婷婷. 基于n阶剪切变形理论的复合材料层合板屈曲分析[J]. 应用数学和力学, 2020, 41(12): 1346-1357.