碳排放限制下的冷藏集装箱多式联运路径优化

刘 松, 邵毅明, 彭 勇

(重庆交通大学 交通运输学院,重庆 400074)

摘要: 为了降低碳排放限制下的冷藏集装箱多式联运成本,实现节能减排的目的,高效的路径选择至关重要该文基于碳排放限制的视角,针对多式联运网络中铁路和水路运输具有发班时间限制,以及冷藏集装箱需要考虑制冷费用、货损货差的特点,建立了在碳排放限制下以总成本最低为目标的优化模型构建总成本时不仅考虑了运输费用和转运费用,还考虑了受发班时间影响而动态变化的冷藏费用和货损费用设计了遗传算法求解,并进行了算例分析结果表明:通过该模型和算法,可根据决策者的要求快速地选出成本最少的运输方案,为决策者提供决策支持

关 键 词: 多式联运; 路径优化; 遗传算法; 冷藏集装箱; 碳排放

引 言

作为物流系统中主要问题之一的路径优化,一直以来都是研究的热点[1-4]随着现代经济的快速发展,交通运输需求越来越大,导致大量温室气体排放,严重污染了环境,雾霾现象也越发严重,碳排放问题受到了全球关注我国于2013年起将全国节能宣传周的第三天设立为“全国低碳日”,并于2016年签订了《巴黎协定》,承诺到2020年,单位国内生产总值CO2排放下降40%~45%[5]在全球碳排放统计中,交通运输占比高达14%冷链物流更是高耗能、高碳排放业务[6]为此,许多城市采取了限排措施[7]而作为先进现代物流技术的多式联运,可以综合利用不同运输方式的优点来降低运输成本、减少碳排放另外,多式联运不同于单一运输方式运输,还要考虑各运输方式之间的转运和水路、铁路等发班的影响,相较于单一运输方式,其路径决策更为困难,近年来受到了学者的关注:如王陆平等[8]利用不规则棱柱网络对低碳多式联运路径优化问题进行了研究;雷定猷等[9]以线路限界、桥梁承载能力、起重设备的起重能力为约束条件,建立了长大货物多式联运路径优化模型,并设计了算法;刘丹等[10]研究了可持续多式联运的多目标优化问题;陈雷等[11]研究了碳减排政策下的多式联运运输方式选择问题;Assadipour 等[12]综合考虑运输成本和风险,对危险品公铁联运进行了研究;曹欢等[13]考虑决策者风险规避程度,对危险品公铁联运路径选择进行了研究;吕学伟等[14]从低碳的角度研究了多式联运最优路径选择问题;彭勇等[15]考虑发班时刻的影响,对多式联运路径优化进行了研究;李珺等[16]研究了速度服从随机分布时的绿色多式联运路径优化问题

现有文献研究了普通货物、长大货物多式联运路径问题,由于冷藏集装箱多式联运起步较晚,2016年3月,大连港创新冷藏集装箱多式联运,相关温度指标等才达到国际标准;2017年商务部等五部门发布《商贸物流发展“十三五”规划》指出要鼓励应用专业冷藏运输因此,对冷藏集装箱多式联运路径选择问题研究较少,而冷藏集装箱多式联运和前文所述的危险品、长大货物多式联运路径选择问题类似,相较于普通集装箱运输有其自身的运输特点,还需要考虑如冷藏费用、冷藏物品的损耗等同时,冷藏运输过程中产生的二氧化碳远比普通货物运输过程中产生的多,还需要考虑冷藏设备制冷所产生的碳排放有关冷藏品的运输问题引起了学者的关注:鲍春玲等[17]研究了考虑碳排放的冷链物流配送路径优化;刘璘等[18]研究了以制冷成本、运输成本、转运成本在内的总成本最小为目标的冷藏集装箱海铁联运路径优化但这些研究未考虑实际多式联运中铁路、水路等发班时刻对路径优化的影响,也没有考虑碳排放由于受发班时刻的影响,冷藏集装箱运输所需的时间和费用以及碳排放与出发时刻有很大的关系,将导致运输成本和碳排放量呈现出动态变化的特征不同出发时刻所需的出行时间不同、费用不同,碳排放量也不同,从而得到的优化路径不同

另外,由于碳排放限制下的冷藏集装箱路径优化问题又是典型的NP(non-deterministic polynomial)难题,对该类问题的求解一直以来都受到学者的高度关注:如Assadipour等[19]设计了启发式算法求解多式联运路径问题;刘帅等[20]设计了动态规划法求解随机时变路网环境下的路径选择问题

据笔者所知,既有文献中少有同时考虑碳排放限制和实际冷藏集装箱多式联运中铁路、水路等运输方式发班时刻对路径优化的影响因此,本文针对该问题建立以运输费用、中转费用和冷藏费用、货损费用最少为目标,在碳排放限制下的优化模型,并针对所求NP问题难的特点,设计求解算法具有一定的理论意义及实际应用价值

1 问题描述与建模

1.1 问题描述

以由9个节点构成的简单多式联运网络为例来进行描述,在如图1所示的由公路、铁路和水路组成的多式联运网络示意图中,现需将冷藏集装箱由起点①运输到终点⑨,集装箱在其间的节点可以进行不同运输方式的转换,铁路和水路运输方式按照班期表发班,求在碳排放限制条件下以运输成本、转运成本、冷藏成本、货损成本最低为目标的运输路径方案

1.2 模型建立

1.2.1 目标函数

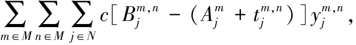
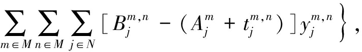
相较于普通集装箱运输,冷藏集装箱除了需要考虑运输成本、转运成本外还需要考虑冷藏费用和冷藏物品的损耗等成本,同时,冷藏运输过程中产生的二氧化碳远比普通货物运输过程中产生的多,还需要考虑冷藏设备制冷所产生的碳排放因此,基于碳排放限制下冷藏集装箱多式联运的现实约束,以最小化总成本为目标函数,目标函数如下:

(1)

其中,Z为总成本,由三部分构成,第一部分为运输成本,第二部分为转运成本,第三部分为冷藏成本和货损成本;N为多式联运网络节点集合,i, jNM表示运输方式集合, m,nMs表示货物运输的起点;表示通过运输方式m由节点i运到j的单位运输成本;表示通过运输方式m由节点i运到j的运输距离;表示从节点ij选择运输方式m等于1,否则等于表示在节点i处由运输方式m转到运输方式n的单位转运成本;表示在节点i由运输方式m转换到运输方式n等于1,否则等于0;v1表示冷藏集装箱的单位时间冷藏费用;v2表示冷藏集装箱的单位时间货损费用;表示通过运输方式m由节点i运到j的运输时间;表示在节点j由运输方式m转换到运输方式n的时间;表示在节点j由运输方式m转换到运输方式n等于1,否则等于表示在节点j由运输方式m换装到运输方式n后,运输方式n最近的发班时刻;表示通过运输方式m 到达节点j的时刻

图1 多式联运示意图

Fig.1 The multimodal transport diagram

1.2.2 约束条件

需满足流量守恒约束,即起点净流量为1,终点净流量为-1,其他节点流量守恒,即

(2)

式中,d为货物运输的终点

需满足运输方式约束,集装箱在相邻两节点间进行运输时,只能选择一种运输方式,即

(3)

需满足前后运输方式的连续性约束,即若在节点j由运输方式m转换为n,则通过m到达j,通过n离开j,即

(4)

碳排放限制约束,即

C1+C2+C3ε,

(5)

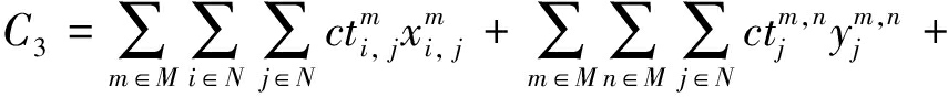
其中,ε为碳排放限制量,C1为运输的碳排放量,C2为转运的碳排放量,C3为冷藏设备制冷的碳排放量,计算公式分别如式(6)~(8)所示:

(6)

式中,为通过运输方式m由节点i运到j的单位碳排放量;

(7)

式中,为在节点j处由运输方式m转到运输方式n的单位碳排放量;

(8)

式中,c为冷藏集装箱的单位时间碳排放量

需满足决策变量取整约束,只能取整数0或者1,即

(9)

(10)

需满足集装箱在节点处只能转运一次约束,即

(11)

需满足变量非负约束,即

i, jN;∀mM

(12)

2 模 型 求 解

由于所建模型NP问题难的特点,当节点数较多时容易出现“组合爆炸”,通常采用智能算法进行求解,而遗传算法求解该类问题效果较好、全局搜索能力强、应用广泛[21-22],所以本文采用遗传算法进行求解

2.1 编码与初始种群的生成

2.1.1 编码

本文采用可变长的路径编码方法针对多式联运网络节点间有多种运输方式的特点,对染色体分两段进行编码,第一段为路径节点,第二段为节点间的运输方式如图2所示染色体的路径节点部分,表示图1中由节点①到节点⑨的一条路径当交叉和变异操作时,把第二段运输方式插入第一段空隙中图2中,H表示公路,R表示铁路运输,W表示水路运输

2.1.2 初始种群的生成

本文采取以下方法构造初始种群:

1)利用多式联运网络生成连通矩阵,即两点间若存在一种运输方式连通,则表示连通,矩阵边的权值取各连通运输方式边的权值的最小值

2)利用Bellman-Ford最短路算法生成染色体的第一段编码,然后在相邻两节点间存在的运输方式中随机选择一种,生成第二段编码,得到初始染色体

3)如果达到种群规模要求,则停止;否则随机生成0~1的小数,然后乘以该路径各弧段的权值,并更新多式联运网络权值,返回步骤2)

图2 染色体编码

Fig.2 The chromosome coding

2.2 适应度评估与违反约束的处理

本文利用目标函数的倒数作为适应度函数:

(13)

优化模型包括碳排放限制要求,但在算法的进化中, 有些个体的碳排放量会超过要求因此,采取以下方法进行调整:

1)计算个体的碳排放量

2)判断每个个体所示方案的碳排放量是否超过要求,若超过,则以一定的概率删除

3)在步骤2)中删除了多少个体就在余下群体中随机选择相应数量的个体进行复制,并替换被删除的染色体

2.3 遗传操作

第一步 选择

采用随机竞争选择策略进行选择操作每次按照轮盘赌选择机制选取一对个体,然后让这对个体竞争,适应度高的被选中,如此反复,直到选满为止

第二步 交叉

由于进行交叉操作的染色体会有两种情况,一是两个父染色体有相同节点(除起点和终点外);二是两个父染色体无相同节点所以,采用改进的单点交叉方法对染色体第一段进行交叉操作对于第一种情况采取在相同节点进行交叉操作,若有多个相同节点,则随机选择一个相同节点作为交叉点对于第二种情况,交叉操作中可能会产生非法个体,出现没有通路的情况,采取以下方法修复非法个体:交叉后若没有连通,则利用Bellman-Ford最短路算法寻找交叉节点与相邻的下一节点的有效路径替代;若没有找到有效路径,则继续查找再下一节点,如此往复直到找到连通路径

需要注意的是,交叉后可能会出现环路,也就是在路径编码中出现了相同的节点,若出现环路,就删除环路,去除环路中间节点,保留一个相同节点,如图3所示的染色体,其中节点②出现了两次,形成了闭环,则去掉环得新的节点①,②,⑦,⑨完成以上操作后,对于第一段编码有变化片段,随机选择节点间的运输方式生成相应的第二段编码而没有发生变化的基因片段,其第二段则不变

第三步 变异

利用改进的散射变异法进行变异操作给各弧段随机赋值,利用Bellman-Ford最短路算法生成染色体的第一段编码,然后随机选择节点间的运输方式生成第二段编码,进而得到变异后的染色体

2.4 精英保留与终止策略

本文利用精英保留策略进行全局最优解更新,以最大迭代次数为终止条件,遗传算法求解流程如图4所示

图3 环路处理

Fig.3 The loop treatment

图4 遗传算法求解流程图

Fig.4 The genetic algorithm

3 算例设计与结果分析

3.1 算例设计

为了检验模型和算法的有效性,采用前期研究[23]的如图5所示的网络图中节点①为起点,节点为终点,由于碳排放限制下的冷藏集装箱多式联运路径优化问题是一个相对较新的问题,没有标准的测试实例库,需要自己构造测试数据本文在文献[24]实例基础上修改得到本文选取文献[24]中R101的前25个点依次对应图5中的节点,文献[24]中节点间的距离扩大10倍表示图中节点间的距离,km补充部分数据:不同运输方式之间的转运时间、转运成本以及转运碳排放量,如表1所示,各种运输方式的运输速度、运输成本、碳排放量以及发班时间如表2所示,冷藏集装箱的冷藏成本为12 yuan/h、货损成本为6 yuan/h、碳排放量为1 kg/h,设现需要将冷藏集装箱在6:00由起点①出发,在碳排放量不超过1 000 kg的情况下,运输到终点,求所需总成本最低的运输路径

图5 多式联运网络

Fig.5 The transportation network

表1 不同运输方式的转运时间、成本和碳排放量

Table 1 Transshipment time, costs and carbon emissions of different modes of transport

modetime T/min, cost c/yuan, carbon emission C/kghighwayrailwaywaterwayhighway0,0,060,3,0.570,3,0.8railway60,3,0.50,0,080,5,1waterway70,3,0.880,5,10,0,0

表2 各运输方式的速度、成本、班期和碳排放量

Table 2 Transportation speeds, costs, timetables and carbon emissions

modehighwayrailwaywaterwayspeed V/(km/h)906040cost c/(yuan/km)410.60carbon emission C/(kg/h)1064timetableunlimited8:0010:3012:0014:3017:3020:009:0012:0013:3015:0018:00

3.2 结果分析

设置遗传算法的种群规模为500,交叉概率Pc为0.6,变异概率Pm为0.1,最大迭代次数为100,采用MATLAB 2014a编程实现算法,运行平台为Intel(R)Core(TM)i5-6300U 2.40 GHz CPU,4.0 GB内存程序运行35 s后获得最优解算法求解过程如图6所示适应值逐步减小最后收敛,算法在达到一定迭代次数后稳定在最优解保持不变

图6 目标函数求解进化过程

Fig.6 Solution and evolution of the objective function

表3 不同交叉概率、变异概率的结果

Table 3 Results of different crossover rates and mutation rates

№.PcPmcost c/yuanconvergency algebra Icaverage value c-/yuan10.50.12 308372 32620.50.22 30882 33130.50.32 308322 32640.50.42 308172 33250.50.52 308372 36560.60.12 308412 33070.60.22 308332 34780.60.32 308202 33690.60.42 308622 358100.60.52 308322 321110.70.12 308232 331120.70.22 308132 337130.70.32 308512 349140.70.42 308122 340150.70.52 30862 329160.80.12 308602 347170.80.22 308322 351180.80.32 308342 352190.80.42 30882 330200.80.52 308262 341210.90.12 30832 316220.90.22 308222 334230.90.32 308482 358240.90.42 308492 337250.90.52 308432 351

该多式联运方案所需总运输成本为2 308元,所需碳排放量为820 kg,满足碳排放限制要求具体运输方案如图7所示

图7 最优运输路径方案

Fig.7 The optimal transport route solution

即冷藏集装箱从节点①出发后,通过水路运输依次通过节点⑥,⑦,⑧后转铁路到达节点⑨并继续通过铁路到达节点后再转水路通过节点后到达终点

为了进一步研究算法求解的效果,在设置遗传算法的种群规模为500、最大进化代数为100的情况下,令交叉概率为0.5,0.6,0.7,0.8,0.9,变异概率为0.1,0.2,0.3,0.4,0.5,两两组合进行计算,计算结果如表3所示从表中可知,最优解不论是在大交叉概率还是大变异概率的情况下均稳定在2 308,同时,在算法迭代70次以内就能找到最优解

4 结 语

本文针对具有碳排放限制的冷藏集装箱多式联运路径优化问题,以最小化运输总成本为目的,考虑铁路、水路运输方式具有发车时间限制以及冷藏集装箱运输需要考虑冷藏费用和货损货差的特点,构建了以运输总成本最少的优化模型所建模型不仅考虑了运输费用和节点换装费用,同时还考虑了受铁路、水路发班时间限制影响,而波动较大的冷藏费用和货损成本采用改进遗传算法求解,算法收敛性较好,能有效求解该问题本文对确定环境下具有碳排放限制的多式联运路径优化问题进行了研究,但是多式联运网络环境更是一个不确定性的,如何选择出更加符合实际情况的运输路径是需要进一步研究的问题

致谢 本文作者衷心感谢重庆交通大学研究生教育创新基金(2019S0119)对本文的资助

参考文献(References)

[1] 龚勃文, 林赐云.一种个性化城市多目标最短路径随机优化算法[J].中国科技论文, 2016, 11(7): 828-834.(GONG Bowen, LIN Ciyun.A stochastic optimization algorithm of the shortest path under multi-criteria for urban roads[J].China Sciencepaper, 2016, 11(7): 828-834.(in Chinese))

[2] 边展, 徐奇, 靳志宏.带时限要求的甩挂运输车辆调度优化[J].中国科技论文, 2018, 13(5): 568-574.(BIAN Zhan, XU Qi, JIN Zhihong.Optimization on the truck-and-trailer routing problem with timeliness requirement[J].China Sciencepaper, 2018, 13(5): 568-574.(in Chinese))

[3] 李根, 李航, 张帅阳, 等.基于蚁群算法的最优路径规划及参数研究[J].中国科技论文, 2018, 13(16): 1909-1914.(LI Gen, LI Hang, ZHANG Shuaiyang, et al.Optimal path planning and parameter analysis based on ant colony algorithm[J].China Sciencepaper, 2018, 13(16): 1909-1914.(in Chinese))

[4] 田晓勇, 何涛, 李巧茹, 等.普通干线公路突发事件后的疏散路径选择[J].中国科技论文, 2018, 13(7): 747-751.(TIAN Xiaoyong, HE Tao, LI Qiaoru, et al.Selection of evacuation path for common trunk highways after emergencies[J].China Sciencepaper, 2018, 13(7): 747-751.(in Chinese))

[5] 刘杰, 彭其渊, 殷勇.低碳背景下的多式联运路径规划[J].交通运输系统工程与信息, 2018, 18(6): 243-249.(LIU Jie, PENG Qiyuan, YIN Yong.Multimodal transportation route planning under low carbon emissions background[J].Journal of Transportation Systems Engineering and Information Technology, 2018, 18(6): 243-249.(in Chinese))

[6] 康凯, 韩杰, 普玮, 等.生鲜农产品冷链物流低碳配送路径优化研究[J].计算机工程与应用, 2019, 55(2): 259-265.(KANG Kai, HAN Jie, PU Wei, et al.Optimization research on cold chain distribution routes considering carbon emissions for fresh agricultural products[J].Computer Engineering and Applications, 2019, 55(2): 259-265.(in Chinese))

[7] 李顺勇, 但斌, 葛显龙.多通路时变网络下低碳车辆路径优化模型与算法[J].计算机集成制造系统, 2019, 25(2): 454-468.(LI Shunyong, DAN Bin, GE Xianlong.Optimization model and algorithm of low carbon vehicle routing problem multi-graph time-varying network[J].Computer Integrated Manufacturing Systems, 2019, 25(2): 454-468.(in Chinese))

[8] 王陆平, 肖伟, 魏庆琦.基于不规则棱柱网络的低碳多式联运路径研究[J].计算机应用研究, 2014, 31(8): 2275-2278.(WANG Luping, XIAO Wei, WEI Qingqi.Study on low-carbon multimodal transport path based on irregular prism network[J].Application Research of Computers, 2014, 31(8): 2275-2278.(in Chinese))

[9] 雷定猷, 游伟, 张英贵, 等.长大货物多式联运路径优化模型与算法[J].交通运输工程学报, 2014, 14(1): 75-83.(LEI Dingyou, YOU Wei, ZHANG Yinggui, et al.Path optimization modal and algorithm of multimodal transport for long and bulky cargo[J].Journal of Traffic and Transportation Engineering, 2014, 14(1): 75-83.(in Chinese))

[10] 刘丹, 赵嵩正.可持续多式联运网络设计的多目标优化模型及算法[J].系统工程, 2015, 33(8): 133-139.(LIU Dan, ZHAO Songzheng.Multi-objective optimization model and algorithm of sustainable intermodal network[J].Systems Engineering, 2015, 33(8): 133-139.(in Chinese))

[11] 陈雷, 林柏梁, 王龙, 等.基于碳减排政策的多式联运运输方式选择优化模型[J].北京交通大学学报, 2015, 39(3): 70-75.(CHEN Lei, LIN Boliang, WANG Long, et al.Optimization model of mode selection for intermodal transportation based on carbon-reduction policy[J].Journal of Beijing Jiaotong University, 2015, 39(3): 70-75.(in Chinese))

[12] ASSADIPOUR G, KE G Y, VERMA M.Planning and managing intermodal transportation of hazardous materials with capacity selection and congestion[J].Transportation Research Part E: Logistics and Transportation Review, 2015, 76: 45-57.

[13] 曹欢, 范体军, 刘丽萍.基于CVaR的危险品公铁联运路径选择研究[J].运筹与管理, 2017, 26(6): 41-48.(CAO Huan, FAN Tijun, LIU Liping.Routing the road and railway intermodal transportation of hazmat based on CVaR[J].Oprations Research and Management Science, 2017, 26(6): 41-48.(in Chinese))

[14] 吕学伟, 杨斌, 袁剑斐.低碳视角下的多式联运最优路径选择[J].广西大学学报(自然科学版), 2017, 42(2): 519-526.(LÜ Xuewei, YANG Bin, YUAN Jianfei.Optimal path selection of multimodal transport under the perspective of low carbon[J].Journal of Guangxi University(Natural Science Edition), 2017, 42(2): 519-526.(in Chinese))

[15] 彭勇, 刘星, 罗佳, 等.考虑班期限制的货物多式联运路径优化研究[J].中国科技论文, 2017, 12(7): 787-792.(PENG Yong, LIU Xing, LUO Jia, et al.Study on the route optimization under schedule limits of multimodal transport of goods[J].China Sciencepaper, 2017, 12(7): 787-792.(in Chinese))

[16] 李珺, 杨斌, 朱小林.绿色多式联运随机优化策略[J].交通运输系统工程与信息, 2018, 18(4): 11-18.(LI Jun, YANG Bin, ZHU Xiaolin.A green intermodal transportation stochastic optimization strategy[J].Journal of Transportation Systems Engineering and Information Technology, 2018, 18(4): 11-18.(in Chinese))

[17] 鲍春玲, 张世斌.考虑碳排放的冷链物流联合配送路径优化[J].工业工程与管理, 2018, 23(5): 95-100.(BAO Chunling, ZHANG Shibin.Route optimization of cold chain logistics in joint distribution: with consideration of carbon emission[J].Industrial Engineering and Management, 2018, 23(5): 95-100.(in Chinese))

[18] 刘璘, 朱小林.考虑总成本的冷藏集装箱海铁联运运输路径优化[J].华中师范大学学报(自然科学版), 2017, 51(4): 504-509.(LIU Lin, ZHU Xiaolin.Optimizing the sea-railway combined transportation route of refrigerated containers based on total cost[J].Jouranl of Central China Normal University(Natural Science), 2017, 51(4): 504-509.(in Chinese))

[19] ASSADIPOUR G, KE G Y, VERMA M.A toll-based bi-level programming approach to managing hazardous materials shipments over an intermodal transportation network[J].Transportation Research Part D: Transport & Environment, 2016, 47(8): 208-221.

[20] 刘帅, 唐伯明, 刘松.基于随机时变路网的运输路径选择[J].重庆交通大学学报(自然科学版), 2017, 36(12): 110-114.(LIU Shuai, TANG Boming, LIU Song.Transportation route selection in stochastic time-dependent network[J].Journal of Chongqing Jiaotong University(Natural Science), 2017, 36(12): 110-114.(in Chinese))

[21] 张利轩, 卿宏军, 胡德安.基于光滑扩展有限元的平板裂纹参数不确定性反求[J].应用数学和力学, 2016, 37(1): 60-72.(ZHANG Lixuan, QING Hongjun, HU Dean.Uncertain inversion of crack parameters for plates based on the SmXFEM[J].Applied Mathematics and Mechanics, 2016, 37(1): 60-72.(in Chinese))

[22] 姚其家, 戈新生.基于微分几何的蛇板系统动力学建模与运动规划[J].应用数学和力学, 2018, 39(1): 29-40.(YAO Qijia, GE Xinsheng.Dynamics modeling and motion planning for snakeboard systems based on differential geometry[J].Applied Mathematics and Mechanics, 2018, 39(1): 29-40.(in Chinese))

[23] LIU S, PENG Y, SONG Q K, et al.The robust shortest path problem for multimodal transportation considering timetable with interval data[J].Systems Science & Control Engineering, 2018, 6(2): 68-78.

[24] SOLOMON M M.Algorithms for the vehicle routing and scheduling problems with time window constraints[J].Operations Research, 1987, 35(2): 254-265.

Optimization of Multimodal Transport Paths for Refrigerated Containers Under Carbon Emission Restriction

LIU Song, SHAO Yiming, PENG Yong

(College of Traffic & Transportation, Chongqing Jiaotong University,Chongqing 400074, P.R.China)

Abstract: To cut the multimodal transportation cost of refrigerated containers under carbon emission restriction, save energy and reduce carbon emission accordingly, efficient path selection is essential.From the perspective of carbon emission limit, based on the points that in a multimodal transport network, the railway and waterway transport modes are restricted by scheduling timetables and the refrigerated containers involve cooling costs, cargo damages and carbon emissions, a path optimization model was established with the lowest total cost.All the costs of transportation, transshipment, refrigeration and cargo damage, dynamically changing with the scheduling timetable, were considered.In addition, a genetic algorithm was designed and applied to example analyses.The results show that, the proposed model and algorithm can quickly select the transportation plan with the least cost according to the requirements of the decision maker, thus providing a useful decision support.

Key words: multimodal transport; path optimization; genetic algorithm; refrigerated container; carbon emission

中图分类号: O22

文献标志码:A

DOI: 10.21656/1000-0887.400159

收稿日期: 2019-05-06;

修订日期:2019-07-17

基金项目: 国家自然科学基金青年科学基金(61803057);教育部人文社会科学研究规划基金(17YJA630079);重庆市社会科学规划项目(2019YBGL049)

作者简介: 刘松(1986—),男,博士生(E-mail: 515044261@qq.com);邵毅明(1955—),男,教授,博士,博士生导师(通讯作者.E-mail: sym@cqjtu.edu.cn).

引用格式: 刘松,邵毅明,彭勇.碳排放限制下的冷藏集装箱多式联运路径优化[J].应用数学和力学, 2020, 41(2): 204-215.

Foundation item: The National Science Fund for Young Scholars of China(61803057)