基于Allee效应诱导的Filippov生态系统的动力学行为研究*

覃文杰1, 关海艳1, 王培培1, 唐光耀2

(1. 三峡大学 三峡数学研究中心, 湖北 宜昌 443002;2. 湖北民族大学 数学系, 湖北 恩施 445000)

摘要: 该文建立了一类由Allee效应诱导的非光滑Filippov切换系统.运用Filippov系统的定性分析方法,从理论上研究了系统的滑动区域、滑动模态和各类平衡点的存在性.同时用数值方法研究了系统的滑动模态分支、边界焦点分支及全局动力学行为.研究发现: Allee效应的强度可使种群的动态不稳定,不利于濒危生物种群的管理.

关 键 词: Allee效应; Filippov系统; 滑动模态; 滑动分支

引 言

Allee效应[1-2]是由著名的生态学家Allee于20世纪30年代提出来的,他指出: 生物种群的群聚现象有利于种群的增长、存活,每个生物种群都有自己的最适密度,过分稀疏、拥挤都可能阻碍种群的生长.Allee效应可能是由诸多因素引起的,包括寻找配偶的困难、近亲繁殖、对捕食者的防御以及扩散消耗等.脊椎动物、无脊椎动物、植物等有机体[3-5]都可能存在Allee效应,当种群数量变大时Allee效应就消失了.Allee效应对濒危生物的管理、种群的开发利用以及物种的引入至关重要.

自Allee效应被提出后,生态种群的Allee效应一直是生态学及生物数学领域内一个倍受关注的热点研究问题.许多专家学者尝试着用数学模型来研究种群的Allee效应,文献[5-6]建立了具有Allee效应的单种群模型; 文献[7-8]将Allee效应引入到多种群模型中.然而,应用非光滑Filippov系统来研究种群Allee效应的文献很少,本文正是关注于Allee阈值对生物种群行为的影响,建立由Allee阈值诱导的非光滑Filippov生态切换模型,并从理论和数值上研究模型的动力学行为.

本文的结构如下: 第1节将建立具有Allee效应的Filippov捕食模型; 第2节重点介绍Filippov系统的基本理论、相关定义及其子系统的动力学性质; 第3节从理论上对模型的滑动区域、滑动动力学及各类平衡点的存在性进行系统分析; 第4节从数值上研究模型的滑动分支、全局动力学行为等; 最后给出相应的生物意义解释.

1 模 型 建 立

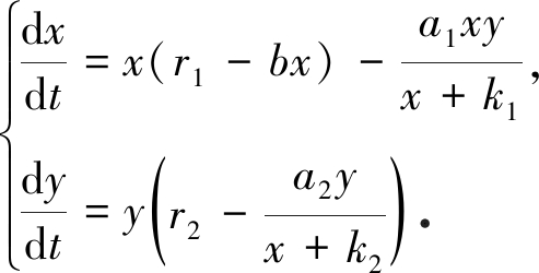
基于文献[9]提出的Leslie-Gower捕食模型,考虑到食饵种群具有附加Allee效应,文献[10] 建立了具有Allee效应的Leslie-Gower捕食模型:

(1)

其中x(t)和y(t)分别代表食饵和捕食者在时间t的种群密度; r1r2分别表示食饵和捕食者的内禀增长率,b为食饵种群的种内抑制率,a1a2分别代表食饵转化成捕食者的最大生物转化率和生物转化率,k1k2表示半饱和常数; p/(x+q)为附加Allee效应,其中pq为Allee效应常数; 假设所有参数均为正常数.

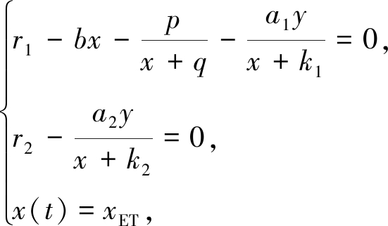
Allee效应只有在食饵密度小于Allee阈值xET时才发生,而当食饵密度大于Allee阈值xET时,食饵种群将不会发生Allee效应,于是便得到了如下模型(即文献[9]考虑的情形):

(2)

因此,联系模型(1)和(2),本文建立了具有附加Allee效应的非光滑Filippov捕食模型:

(3)

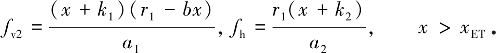
其中

(4)

2 预 备 知 识

2.1 Filippov系统的相关理论及定义

定义二维空间和函数H(Z)=x-xET,并作如下记号:

则模型(3)及(4)可以写成一般的非光滑Filippov系统[11-17]

(5)

其中

同时,定义不连续的切换面将区域G1G2分开.为了研究模型(5)在切换面Σ上的性质,需要采用凸组合[11]或Utkin等度控制[12]方法.由文献[11]的相关定义可得

FG(Z)=λ(Z)FG1(Z)+[1-λ(Z)]FG2(Z),

(6)

其中

(7)

或定义

FG(Z)=[1-λ(Z)]FG1(Z)+λ(Z)FG2(Z),

其中

另外,Filippov系统的滑动模式动力学可由

决定.

现在,本文参考文献[11-14],给出了Filippov系统平衡点的相关定义.

定义1(伪平衡点) 若平衡点Z*是Filippov系统(5)滑动模式动力学上的点,且满足关系式(6)和(7),则称Z*为Filippov系统(5)的伪平衡点.

定义2(边界平衡点) 若Filippov系统(5)的平衡点Z*满足如下条件之一:

FG1(Z*)=0, H(Z*)=0;

FG2(Z*)=0, H(Z*)=0,

则称Z*为Filippov系统(5)的边界平衡点.

定义3(切点) 若Filippov系统(5)的平衡点Z*满足如下条件之一:

FG1H(Z*)=0, Z*ΣS

FG2H(Z*)=0, Z*ΣS

则称Z*为Filippov系统(5)的切点.

定义4(真、假平衡点) 若Filippov系统(5)的平衡点Z*满足如下条件之一:

FG1(Z*)=0, H(Z*)<0;

FG2(Z*)=0, H(Z*)>0,

则称Z*为Filippov系统(5)的真平衡点.

Z*满足如下条件之一:

FG1(Z*)=0, H(Z*)>0;

FG2(Z*)=0, H(Z*)<0,

则称Z*为Filippov系统(5)的假平衡点.

2.2 子系统的动力学行为

x(t)<xET时,Filippov系统(5)的动力学行为由子系统(1)决定,文献[10]通过无量纲变化将系统(1)转化成如下系统:

(8)

文献[10]对系统(8)的动力学行为进行了深入细致的分析,本文主要考虑0<m<b的情形(弱Allee效应),为了方便叙述引理,作记号:

3η2=bc+bc1+cc2+m-b-c1, η3=bcc2+c1(m-b),

μ1=1+b+c1+bc1+c2+cc1-2m-bc-2cc2-2c,

μ2=-cc2+b-m+2bc1-2bc+b2-cc1+c2c2+c2b-bm+cm-b2c-

引理1 如果系统(8)满足如下条件之一:

2c1+1-c-b>0, 0<mb,m*};

2c1+1-c-b<0, 0<m*<m<b,

则系统(8)存在唯一的正平衡点进一步地,如果

则系统(8)的正平衡点的Hopf分支发生在处.

x(t)>xET时,Filippov系统(5)的动力学行为由子系统(2)决定.基于文献[9]的主要研究结果,本文给出了如下引理.

引理2 子系统(2)存在三个边界平衡点(0,0),(r1/b1,0),(0,r2k2/a2). 若r1k2a1<r1k1a2,则系统存在唯一的正平衡点(x*,y*).进一步地,如果

2a1L1<r1k1, k1<2k2, 4(r1+b1k1)<a1

成立,则正平衡点(x*,y*)是全局渐近稳定的,其中

3 滑动模态及平衡点

由式(7)中λ(Z)的定义,可得

求解不等式0≤λ(Z)≤1可得

为了叙述的方便,作如下记号:

根据预备知识中关于ΣS的定义,可得Filippov系统(5)的滑线区域为

(9)

接下来,应用Utkin等度控制方法[12]来研究Filippov系统(5)在滑线ΣS上的动力学性质,由H(Z)=0可得

对于上述方程关于ε求解得

由Utkin等度控制方法可得Filippov系统(5)在滑线ΣS上滑动模式动力学微分方程为

(10)

下文将继续探讨Filippov系统(5)各类平衡点的存在性.

伪平衡点 由定义1可知Filippov系统(5)存在唯一的伪平衡点Ep(xET,yp),其中

边界平衡点 由定义2可知Filippov系统(5)的边界平衡点需满足如下方程:

(11)

(12)

对于方程组(11),若ymin=yp,则Filippov系统(5)存在边界平衡点Eb(xET,ymin);

对于方程组(12),若ymax=yp, 则Filippov系统(5)存在边界平衡点Eb(xET,ymax).

切点 由定义3可知Filippov系统(5)的切点需满足如下方程:

(13)

(14)

求解上述方程组可得,Filippov系统(5)存在切点Et(xET,ymin)或Et(xET,ymax).

真、假平衡点 由子系统的动力学行为相关预备知识可知,子系统(1)至多存在两个正平衡点,记为E11(x11,y11)和E12(x12,y12),在此假设x11<x12. 因此对子系统(1)的真、假平衡点概括如下:

x12>xET,则子系统(1)存在两个假平衡点

x11<xET,则子系统(1)存在两个真平衡点

x11<xET<x12,则子系统(1)存在一个真平衡点和一个假平衡点

类似地,子系统(2)至多存在一个正平衡点,记为E21(x21,y21). 则对子系统(2)的真、假平衡点概括为:

x21<xET,则子系统(2)存在一个假平衡点

x21>xET,则子系统(2)存在一个真平衡点

此外,本文还给出两个子系统的等倾曲线方程.子系统(1)的垂直和水平等倾曲线方程分别为

子系统(2)的垂直和水平等倾曲线方程分别为

4 滑动分支及全局动力学行为

通过对Filippov系统(5)滑动区域、滑动模态动力学及平衡点的研究可知: Filippov系统(5)存在伪平衡点、真平衡点、假平衡点、边界平衡点等多种平衡点,当一些重要参数发生微小变化时,可能会引起一系列滑动模态及平衡点分支现象.下面,本文将通过数值方法来研究Filippov系统(5)的滑动分支及全局动力学行为.

首先,选择Allee阈值xET作为分支参数来研究Filippov系统(5)的滑动模态分支,同时固定其他参数为r1=4,r2=3,b=0.1,q=0.1,a1=0.5,a2=0.9,k1=2,k2=2.如图1所示,随着xET的逐渐变化,Filippov系统(5)的滑线段长度、伪平衡点的存在发生了迅速变化.特别地,当Allee效应常数p不同时,Filippov系统(5)的滑线段长度和伪平衡点个数变化趋势也不同.通过对比图1(a)与1(b)发现Filippov系统(5)的滑动模态对Allee效应常数p相当敏感,当p较大时,即Allee效应较强时,Filippov系统(5)滑线段上的伪平衡点个数增多,而滑线上的伪平衡点会使Filippov系统的动力学行为变得更加复杂.这说明了Allee效应的强度可使种群的动态变得不稳定,不利于濒危生物种群的管理.

(a) p=10

(b) p=4
图1 Filippov系统(5)的滑动模态分支
Fig. 1 Sliding mode bifurcation of Filippov system (5)

(a) q=1 (b) q=3.3 (c) q=5
图2 Filippov系统(5)的边界焦点分支
Fig. 2 Boundary focus bifurcation of Filippov system (5)

接下来,选择以Allee常数q为分支参数来研究Filippov系统(5)的边界焦点分支,其他参数为r1=1,r2=0.125,a1=0.5,a2=0.125,k1=0.3,k2=0.2,b=1,p=0.24,xET=0.5.当q较小时,Filippov系统(5)的两个子系统(1)和(2)分别存在一个稳定的真平衡点(焦点)同时系统还存在一个稳定的伪平衡点Ep,如图2(a)如示.当q增大到3.3时,即图2(b)所示情形,子系统(1)的焦点与系统的伪平衡点Ep碰撞成一点,即边界平衡点Eb, 此时Filippov系统(5)发生了边界焦点分支.进一步增大q到图2(c)所示情形,边界平衡点Eb突然消失,系统所有的轨线趋于子系统(2)的真平衡点(焦点)

最后,本文研究了Filippov系统(5)的全局动力学行为.如图3所示,选取所有参数值为r1=1,r2=0.08,a1=0.5,a2=0.08,k1=0.3,k2=0.2,b=1,p=0.24,q=0.4,xET=0.5.子系统存在一个不稳定的真平衡点(焦点)和一个稳定的标准周期解(极限环)Γ. 同时,Filippov系统(5)在滑线上存在一个稳定的伪平衡点Ep. 此外,从图3还可以看出: 子系统(2)存在一个稳定的真平衡点(焦点)

图3 Filippov系统(5)的全局动力学行为
Fig. 3 Global dynamic behaviors of Filippov system (5)

5 结 论

本文在一类具有Allee效应的Leslie-Gower捕食模型的基础上,考虑到Allee阈值对种群Allee效应的影响,建立了一类具有附加Allee效应的非光滑Filippov捕食系统.综合运用Filippov系统的基本理论与研究方法,从理论上研究了Filippov系统(5)的滑动区域、滑动动力学和各类平衡点的存在性.同时用数值分析技巧研究了该系统的滑动模态分支、 边界焦点分支及全局动力学行为.研究发现: Allee效应的强度可使种群的动态不稳定, 不利于濒危生物种群的管理.

然而,本文仅考虑了附加Allee效应对种群生态的影响.事实上,诸如气候的多变、环境的不确定等随机因素也可能会对生物种群带来重要影响.因此,考虑这些随机因素,建立复杂的混合动力学模型来研究Allee效应对种群生态的影响,探讨在Allee效应条件下混合动力系统的生态学解释,这将是一项非常有意义的工作.今后我们将重点关注这方面的研究.

参考文献(References):

[1] ALLEE W C. Animal Aggregations: a Study in General Sociology[M]. Chicago: Chicago University Press, 1931.

[2] ALLEE W C, PARK O, EMERSON A E, et al. Principles of Animal Ecology[M]. Philadelphia: Saunders Company, 1949.

[3] DENNIS B. Allee effects: population growth, critical density, and the chance of extinction[J]. Natural Resource Modeling, 1989, 3(4): 481-538.

[4] MCCARTHY M A. The Allee effect, finding mates and theoretical models[J]. Ecological Modelling, 1997, 103(1): 99-102.

[5] STEPHENS P A, SUTHERLAND W J. Consequences of the Allee effect for behaviour, ecology and conservation[J]. Trends in Ecology & Evolution, 1999, 14(10): 401-405.

[6] BOUKAL D S, BEREC L. Single-species models of the Allee effect: extinction boundaries, sex ratios and mate encounters[J]. Journal of Theoretical Biology, 2002, 218(3): 375-394.

[7] WANG W X, ZHANG Y B, LIU C. Analysis of a discrete-time predator-prey system with Allee effect[J]. Ecological Complexity, 2011, 8(1): 81-85.

[8] YU T, TIAN Y, GUO H, et al. Dynamical analysis of an integrated pest management predator-prey model with weak Allee effect[J]. Journal of Biological Dynamics, 2019, 13(1): 218-244.

[9] AZIZ-ALAOUI M A, OKIYE M D. Boundedness and global stability for a predator-prey model with modified Leslie-Gower and Holling-type Ⅱ schemes[J]. Applied Mathematics Letters, 2003, 16(7): 1069-1075.

[10] CAI Y L, ZHAO C D, WANG W M, et al. Dynamics of a Leslie-Gower predator-prey model with additive Allee effect[J]. Applied Mathematical Modelling, 2015, 39(7): 2092-2106.

[11] FILIPPOV A F. Differential Equations With Discontinuous Right-Hand Sides[M]. Dordrecht: Kluwer Academic Publishers, 1988.

[12] UTKIN V I, GULDNER J, SHI J X. Sliding Model Control in Electromechanical Systems[M]. London: Taylor Francis Group, 2009.

[13] KUZNETSOV YU A, RINALDI S, GRAGNANI A. One parameter bifurcations in planar Filippov systems[J]. International Journal of Bifurcation and Chaos, 2003, 13(8): 2157-2188.

[14] DI BERNARDO M, BUDD C J, CHAMPNEYS A R, et al. Bifurcations in nonsmooth dynamical systems[J]. SIAM Review, 2008, 50(4): 629-701.

[15] KRIVAN V. On the Gause predator-prey model with a refuge: a fresh look at the history[J]. Journal of Theoretical Biology, 2011, 274(1): 67-73.

[16] TANG S Y, LIANG J H, XIAO Y N, et al. Sliding bifurcations of Filippov two stage pest control models with economic thresholds[J]. SIAM Journal on Applied Mathematics, 2012, 72(4): 1061-1080.

[17] TANG S Y, LIANG J H. Global qualitative analysis of a non-smooth Gause predator-prey model with a refuge[J]. Nonlinear Analysis: Theory, Methods & Applications, 2013, 76: 165-180.

Dynamic Behaviors of Filippov Ecosystems Induced by Allee Effects

QIN Wenjie1, GUAN Haiyan1, WANG Peipei1, TANG Guangyao2

(1. Three Gorges Mathematical Research Center, China Three Gorges University, Yichang, Hubei 443002, P.R.China;2. Department of Mathematics, Hubei Minzu University, Enshi, Hubei 445000, P.R.China)

Abstract: A non-smooth Filippov predator-prey system induced by Allee effects was proposed. The sliding domain, the sliding mode dynamics and the existence of several equilibria were discussed by means of the qualitative theory and method related to the Filippov system. Furthermore, the sliding mode bifurcation, the boundary focus bifurcation and the global dynamic behaviors were given through numerical simulations. The results indicate that, the intensity of Allee effects could make the dynamics of population become unstable, and may be unfavorable for the protection of endangered species.

Key words: Allee effect; Filippov system; sliding mode; sliding bifurcation

ⓒ 应用数学和力学编委会,ISSN 1000-0887

http://www.applmathmech.cn

*收稿日期: 2019-05-10;

修订日期:2019-07-12

基金项目: 国家自然科学基金(11601268;11761031;11801311)

作者简介:

覃文杰(1983—), 男, 副教授, 博士, 硕士生导师(E-mail: wenjieqin@hotmail.com);

关海艳(1986—), 女, 讲师, 博士(通讯作者. E-mail: ghyan928@ctgu.edu.cn).

引用格式: 覃文杰, 关海艳, 王培培, 唐光耀. 基于Allee效应诱导的Filippov生态系统的动力学行为研究[J]. 应用数学和力学, 2020, 41(4): 438-447.

中图分类号: O175

文献标志码:A

DOI: 10.21656/1000-0887.400169

Foundation item: The National Natural Science Foundation of China(11601268; 11761031; 11801311)