非饱和黄土中椭球形扩孔问题弹塑性解析*

党星海1,2, 周 鹏1,2, 钞 鑫2, 郭启明2, 吴润霖2

(1. 西部土木工程防灾减灾教育部工程研究中心, 兰州 730050;2. 兰州理工大学 甘肃省土木工程防灾减灾重点实验室, 兰州 730050)

摘要: 在非饱和土统一强度准则中引入非饱和原状黄土黏聚力与基质吸力拟合公式,采用改变孔型系数k的方法并结合边界条件、平衡方程及应力协调方程,推导了排水与不排水条件下椭球形扩孔在ξ平面内的弹性区与塑性区应力-应变场、塑性区半径及极限扩孔压力的解析解,并利用MATLAB软件分析了基质吸力、强度准则和剪胀对解析解的影响结果表明:不同排水条件下非饱和黄土有效应力均随孔型系数k及基质吸力的增大而增大;当参数r/rp一定时,在排水条件下,有效应变随剪胀系数h及基质吸力的增大而增大,且后者的影响程度更大;在同等条件下,b=1时双剪应力强度准则下的有效应力-应变均大于b=0时的Mohr-Coulomb强度准则

关 键 词: 非饱和黄土; 统一强度准则; 椭球形扩孔; 排水条件; 参数分析

引 言

自Vesic[1]首次给出基于相关联流动Mohr-Coulomb(M-C)屈服准则的小孔扩孔问题弹塑性解析解至今,众多学者针对土体类型、强度准则、扩孔形式和排水条件对扩孔问题的影响进行了研究Carter等[2]采用M-C强度准则推导出无黏性土扩孔问题的解析解;贾尚华等[3]假设砂土土体服从SMP屈服准则,推导了初始半径、扩孔半径和扩孔压力三者间的理论关系;Vrakas[4]推导了土中柱形孔和球形孔扩张的解析解和半解析解;晁明颂等[5]推导了弹塑性区位移、应力、应变表达式以及极限扩孔压力的表达式;对于摩擦性土中柱形扩孔问题,Chen等[6]给出了排水条件下的半解析解;梅毕祥等[7]基于渗流理论推导了球形孔扩张的超孔隙水压力分布公式以上研究主要基于饱和土理论,对于非饱和土的扩孔问题,Russell等[8]基于边界面模型给出了非饱和土以及饱和土中扩孔问题的半解析解;胡伟等[9]以颗粒间应力代替净应力和基质吸力,基于修正Cambridge模型推导了非饱和土柱形孔扩张时应力场、位移场的分布解;刘旭[10]结合理论分析和数值模拟推导了排水和不排水条件下非饱和土基于M-C模型的柱形孔扩张解析解;卢国文[11]基于黏性土一般强度准则给出了不同屈服准则下黄土不排水条件下扩孔问题的弹塑性解析

以上研究针对的是传统柱形或球形孔,理论成果已广泛应用于地锚承载力的分析[12]、劈裂注浆启劈压力预估[11]等岩土工程问题但对于诸如劈裂注浆初始阶段的椭球形鼓泡、冻结管周围的椭球形冻结体等扩孔问题,若采用传统的扩张理论解释势必造成误差,需采用椭球形孔扩张来解释实际受力性状,而此类问题一般是基于复变函数理论,通过保角变换的方式转化为像平面上的标准圆孔来研究Zhou等[13-15]将物理平面中的椭圆孔保角变换为像平面内的单元圆,推导出了应力函数并获得了应力场及位移场的分布,但求解过程过于复杂梁恒昌[16]采用改变平衡方程系数k的方法给出了Treasca材料中椭球形扩孔问题理论解析

目前对于黄土的扩孔问题研究相对较少,尤其对于椭球形扩孔问题研究更少,为了能给黄土地区沉桩、劈裂注浆等发生椭球形扩张时的工程问题提供可供理论,本文将原状非饱和黄土的黏聚力与基质吸力拟合公式引入到非饱和土统一强度准则中,采用改变平衡系数的方法对非饱和黄土地区的椭球形扩孔问题进行弹塑性分析,以期得到不同排水条件下非饱和黄土椭球形扩孔问题的有效应力-应变场、塑性区半径及极限扩孔压力的解析解

1 椭球形扩孔问题简述及基本假设

1.1 简述

椭球形扩孔问题是指近似于椭球形的孔洞在均匀压力作用下孔壁形状和孔周土体材料中应力、应变状态的演变问题[16],椭球形小孔的长短轴比从1趋向无穷大时的扩孔可视为由球形孔向柱形孔转化,并定义平衡系数k为小孔由球形孔经不同长短轴比值的椭球形孔变化到柱形孔过程中的孔型系数对于传统的扩孔问题,根据力学平衡方程,在小孔周围土体材料中任一点,应力均满足

(1)

式中k=1为柱形孔,k=2为球形孔;σr为径向应力,σθ为环向应力

将平面上的椭圆孔通过保角变换映射到ξ平面内圆孔,则ξ平面内圆孔径向应力σr和环向应力σθ对应于原物理平面上沿曲线ρ=const和θ=const的应力,相应对应关系见图1

(a) ξ平面同心圆 (b) 原物理平面
(a) Concentric circles on the ξ plane (b) The original physical plane
图1 平面与原物理平面椭球形孔周应力对应关系
Fig. 1 Corresponding relationship between the plane stress and the original physical plane stress around an ellipsoidal hole

对于椭球形扩孔中孔型系数k的取值,文献[16]中从保角变换角度给出了长短轴比值和k的关系:

(2)

式中m为椭圆转单位圆的映射函数参数,ae,be分别表示椭圆长、短轴

1.2 基本假设

本文进行非饱和黄土土体椭球形扩张时的弹塑性分析基于以下假设:

1) 力学模型中椭圆形状的小孔扩张过程中不发生变化,即扩张后ξ平面上仍为同心圆,只存在径向位移

2) 土为连续、均匀各向同性的非饱和土体

3) 在土体弹性区,应力-应变关系服从Hooke定律; 塑性区,应力-应变关系服从统一强度准则

4) 无限远处的静止土压力以及初始状态下土体内部压力为p0,各方向数值大小相等

2 强 度 理 论

2.1 非饱和黄土强度理论

Lu等[17]基于微观颗粒间作用力和有效应力提出以吸应力cs取代参数χ和基质吸力s=ua-uw,给出了基于吸应力的有效应力公式:

σ′=σ-ua-cs,

(3)

式中σ-ua为净法向应力

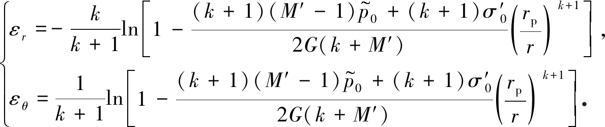
毕银强等[18]以甘肃黑方台地区原状非饱和黄土为试样,结合三轴剪切试验,给出了吸应力与对应的有效强度参数关系为式(4),则基于吸应力的抗剪强度公式如式(5)所示:

(4)

τf=σ′tan φ′=(σ-ua-cs)tan φ′,

(5)

式中φ′为有效内摩擦角,αn为土-水特征曲线拟合参数

Van Genuchten模型[18]较适应于黄土土-水特征曲线[19],故本文的吸应力cs公式中参数取自van Genuchten模型王晋伟[20]对陇东地区非饱和原状黄土进行了大量试验, 基于非饱和原状黄土基质吸力与黏聚力成幂函数关系, 结合土-水特征曲线拟合出非饱和原状黄土黏聚力公式:

c′=13.14+2.349(ua-uw)0.541,

(6)

式中c′为有效黏聚力本文采用的有效黏聚力c′均为式(6)所示

2.2 非饱和黄土统一强度准则

张常光等[21]假设非饱和土的双剪单元体上的2个较大剪应力及面上正应力影响函数达到某一极限时,单元体开始屈服破坏为了能准确分析非饱和黄土,假设以压为正,将非饱和黄土统一屈服准则写成式(7):

(7)

(8)

(9)

式中为有效径向和有效环向应力;参数M′,σ0为非饱和黄土统一强度准则参数;m为中间主应力参数;b为统一强度准则参数, 当b=0时为M-C强度准则, b=1时为双剪应力强度准则; 应力采用基于吸应力的有效应力; 内摩擦角采用有效摩擦角φ′;总黏聚力c″=c′+cs代替c

3 排水条件下椭球形扩孔问题的弹塑性分析

3.1 弹性阶段应力-应变分析

假设在具有有效黏聚力c′和有效内摩擦角φ′的非饱和黄土材料内,发生不同长短轴比值下的椭球形小孔扩张,可将其转化为在ξ平面内应力为各向同性,无限远处存在静止土压力p0的圆孔扩张问题,初始圆孔半径为a0,扩张后最终半径为au转化后ξ平面内径向应力σr,环向应力σθ分别代表原z平面上沿曲线ρ=const和θ=const的应力,而小孔扩张的边界条件在非饱和土中表示为式(10),小孔扩张示意图如图2所示,r0为初始时土体中某点到孔中心的距离,rp为塑性区半径

(10)

式中为弹塑性交界面处应力,为无限远处弹性区的静止土压力

在非饱和黄土中,土中应力应采用有效应力表示,本文采用基于吸应力的有效应力,在排水条件下非饱和土中基质吸力分布恒定,则小孔周围土体满足的平衡方程用有效应力表达为

(11)

式中为基于吸应力的有效径向应力和有效环向应力;k为孔型系数,可表示椭球形小孔的长短轴比值

图2 ξ平面上小孔扩张示意图
Fig. 2 A diagram for orifice expansion on the ξ plane

非饱和黄土中弹性阶段应力-应变关系,即本构关系如下所示:

(12)

式中E为弹性模量,εr,εθ分别为土体扩张时径向和环向应变,μ为Poisson比

根据几何方程可得应变协调方程为

(13)

将弹性阶段本构关系式(12)代入式(13)可以得到用有效应力表示的应力协调方程为

(14)

在弹性阶段联立式(11)和(14),结合边界条件(10)可得到弹性阶段的应力场解答如下:

(15)

将上式的有效径向应力和有效环向应力代入到式(12)中,可以得到非饱和黄土中椭球形小孔扩张弹性阶段应变分量以及土体径向位移u分别为

(16)

(17)

从图2中可以看出土体在初始应力作用下会发生位移分量,式(17)中应减去初始应力下产生的位移根据假设,在初始应力状态下则小孔扩张弹性阶段在初始有效应力作用下的应变分量以及土体径向位移u0分别为

(18)

(19)

将式(16)、(17)对应减去式(18)、(19),可得非饱和黄土下小孔扩张问题应变分量和位移分量:

(20)

(21)

r=rp时,可得弹塑性界面上位移为

(22)

根据几何方程可知弹塑性界面处弹性极限应变为

(23)

3.2 塑性阶段应力-应变分析

在塑性区假设土体材料满足非饱和黄土统一屈服准则,易知在小孔扩张时,小孔内壁满足式(7),则将弹性应力表达式(15)代入式(7)可得小孔内表面屈服时内压力为

(24)

当小孔内部有效压力达到式(24)时,ξ平面内圆孔内壁也即原物理空间中的椭球小孔内壁开始屈服,如果此时压力持续增加,塑性区域开始进入椭球孔内部,塑性区半径仍采用ξ平面内rp表示联立式(7)和有效应力表示的平衡方程式(11)可得

(25)

上式中应力均为基于吸应力的有效应力,参数M′和σ0中的内摩擦角和黏聚力分别采用有效摩擦角φ′和总黏聚力c对式(25)进行求解并代入边界条件式(10),可得ξ平面内非饱和土体椭球形扩张塑性区径向、环向应力分别为

(26)

在非饱和黄土椭球形小孔扩张过程中,当孔周土体达到屈服后在塑性区应变服从大变形理论,见式(27);土体总应变包含弹性应变和塑性应变两部分,见式(28);为确定塑性区土体的应变场,采用非相关联法则,塑性区径向应变、环向应变的塑性变形关系如式(29)[11]

(27)

(28)

(29)

式(27)表示土中某点从半径r0扩张到r产生的应变;式(29)中参数h为剪胀特性参数,h=(1+sin ψ)/(1-sin ψ),ψ为剪胀角,当ψ=φ时为相关联流动法则,当ψ=0时不考虑土体的剪胀特性

结合式(27)和(28)可得式(30),考虑到式(23)塑性区弹性极限应变将式(29)代入可得塑性区位移协调方程为式(31)所示

(30)

(31)

对式(31)偏微分求解,代入边界条件式(22),扩张时孔径r0从初始扩张孔径a0扩张到a,可得弹塑性界面上有

(32)

忽略urp/rp的高次项对上式进行Taylor级数展开,当aau时,得最终塑性区半径rp

(33)

结合上式和式(28)可解得塑性区内径向应变与环向应变场分别为

(34)

式中

r=au时,结合式(26)和(33),可得土体的极限扩孔压力为

(35)

4 不排水条件下椭球形扩孔问题的弹塑性分析

假设黄土不排水条件下体积应变为0,即当小孔从初始半径r0扩张到半径r时,体积应变表达式为

εv=εr+θ=0

(36)

结合式(28)、(36)可以得到土体中某点从初始半径r0扩张到半径r时与圆孔初始孔径a0和当前孔径a之间的关系:

(37)

r=rp,考虑到弹塑性交界面发生了urp的位移,将urp代入到式(37)并结合非饱和黄土统一屈服准则求解得

(38)

当初始孔径a0趋近于0时,a趋近于最终扩孔半径au,式(38)可以写成式(39),即塑性区半径计算公式:

(39)

联立式(28)和(39)可得不排水条件下的塑性区发生的径向应变、环向应变分别为

(40)

根据小孔边界条件、非饱和黄土统一强度准则求解平衡方程并结合式(39)可得ξ平面内土体椭球形扩张不排水条件下塑性区径向应力、环向应力分别为

(41)

根据弹塑性交界面处r=rp,根据上式可得极限扩孔压力为

(42)

5 参数分析与讨论

5.1 基质吸力、强度准则对应力分量的影响分析

为分析基质吸力对非饱和土应力分量的影响,选取不同的基质吸力值,做图定性分析基质吸力对小孔扩张应力状态的影响选取参数μ=0.3,初始孔压有效内摩擦角φ′取20°,有效黏聚力c′按式(6)计算,非饱和黄土总黏聚力为

c″=c′+cs=13.14+2.349(ua-uw)0.541+cs

取基质吸力s为50,100,300 kPa,根据上述公式计算总黏聚力c″以及不同b值下弹性极限扩孔压力计算结果见表1

表1 总黏聚力c″和弹性极限扩孔压力随基质吸力s的变化

Table 1 Changes of the total cohesion and the elastic limit pore expansion pressure with the matrix suction

matrix suction s/kPatotal cohesionc″/kPabelastic limit pore pressure p/kPak=1k=1.2k=1.4k=1.6k=1.8k=25032.870165.09173.29180.53186.98192.75197.951177.90188.27197.54205.89213.43220.2910041.760173.44182.69190.86198.14204.65210.531187.90199.60210.06219.48227.99235.7230064.810195.10207.08217.66227.08235.52243.121213.83228.98242.52254.71265.73275.75

从表1中可以看出,随着基质吸力s的增大,总黏聚力c″增大,在不同强度准则即不同b值下,弹性极限扩孔压力随孔型系数k值的增大而增大,b为1时要比b为0时大,同时可以看出随基质吸力s的增大而增大

当径向有效应力超过表1中对应弹性极限扩孔压力时,土体屈服进入塑性区,根据应力分量公式,做图定性分析不同参数对应力分量的影响,见图3~6

在M-C强度准则和双剪应力强度准则下选取不同的基质吸力s时,非饱和黄土排水条件下的有效应力随参数r/rp的变化规律如图3、图4所示

由图3、图4可知,当r/rp<1时,距离小孔较近,土体处于塑性区,有效应力随参数r/rp变化显著;当r/rp≥1时,距离小孔较远,土体处于弹性区,应力随参数r/rp的增大最后逐渐趋近于当取不同的孔型系数k时,有效应力均随k值增大而增大,可知在孔型系数k为1或2时,刚好为k值介于1~2之间椭球形小孔扩张有效应力分量的上下限对比图3和图4可知,b=1时的应力分量要比b=0时大,即同等条件下,双剪应力强度准则下的应力要比M-C强度准则时大,在以参数b为中主应力参数时,双剪应力强度准则因考虑了中主应力的影响使其应力分量较M-C强度准则时大

(a) s=50 kPa

(b) s=100 kPa (c) s=300 kPa
图3 不同基质吸力时,非饱和黄土排水条件下应力分布图(M-C强度准则,b=0)
Fig. 3 Stress distribution diagrams for unsaturated loess under drainage condition for different matrix suctions (M-C strength criterion, b=0)

(a) s=50 kPa

(b) s=100 kPa (c) s=300 kPa
图4 不同基质吸力时,非饱和黄土排水条件下应力分布图(M-C强度准则,b=1)
Fig. 4 Stress distribution diagrams for unsaturated loess under drainage condition for different matrix suctions (M-C strength criterion, b=1)

(a) k=1

(b) k=1.4 (c) k=2
图5 不同扩孔系数k下非饱和黄土排水条件下应力分布图
Fig. 5 Stress distributions for unsaturated loess under drainage condition for different expansion coefficient k values

分析可知,在同等条件下,非饱和黄土中因基质吸力的存在使得土体中黏聚力和吸应力增大,从而土体强度增大,导致土体中小孔扩张所需压力增大为验证分析的正确性,取b=0,基质吸力s=50,100,200,300 kPa时k=1,1.4和2的有效应力如图5所示,可以看出有效应力随着基质吸力s的增大而增大

在不排水条件下,选择极限扩孔压力pu=1 000 kPa,取参数E=3 900 kPa,φ′=20°,结合前文所取参数做图分析非饱和黄土不排水条件下基质吸力、屈服准则对弹塑性应力分量的影响,如图6、图7所示

(a) s=50 kPa

(b) s=100 kPa (c) s=300 kPa
图6 不同基质吸力时,非饱和黄土不排水条件下应力分布图(M-C强度准则,b=0)
Fig. 6 Stress distributions for unsaturated loess under undrained condition for different matrix suctions (M-C strength criterion, b=0)

(a) s=50 kPa

(b) s=100 kPa (c) s=300 kPa
图7 不同基质吸力时,非饱和黄土不排水条件下应力分布图(双剪应力强度准则, b=1)
Fig. 7 Stress distributions for unsaturated loess under undrained condition for different matrix suctions (double shear stress strength criterion, b=1)

由图6、图7可知,在相同条件下,随着基质吸力s的增大而增大,b=1时的双剪应力强度准则下的应力分量要比b=0时的M-C强度准则大对比排水和不排水条件下的有效应力分量,可以看出当基质吸力和强度准则一定时,不排水条件下的应力分量更大

(a) s=100 kPa时εr的关系变化 (b) s=300 kPa时εr的关系变化
(a) s=100 kPa, the change trend of εr(b) s=300 kPa, the change trend of εr

5.2 基质吸力、强度准则和剪胀对应变分量的影响分析

为研究基质吸力、强度准则和剪胀对非饱和黄土扩孔问题中应变分量的影响,取计算参数分别为E=3 900 kPa,φ′=20°,μ=0.3,基质吸力选取s=100,300 kPa,对应于基质吸力的总黏聚力c″按表1中计算数据选取,考虑到塑性区域,则参数rp/r取值在1~2之间,做图定性分析在非饱和黄土统一强度参数b取不同值时对应的强度准则下参数rp/r与剪胀系数h对塑性区应变分量的影响,如图8、图9所示

(c) s=100 kPa时εθ的关系变化 (d) s=300 kPa时εθ的关系变化
(c) s=100 kPa, the change trend of εθ(d) s=300 kPa, the change trend of εθ
图8 不同基质吸力下非饱和黄土应变分量与参数rp/rh的关系(M-C强度准则)
Fig. 8 Relations between unsaturated loess strain components and parameters rp/r and dilatation reduction coefficient h for different matrix suction (M-C strength criterion)

(a) s=100 kPa时εr的关系变化 (b) s=300 kPa时εr的关系变化
(a) s=100 kPa, the change trend of εr(b) s=300 kPa, the change trend of εr

(c) s=100 kPa时εθ的关系变化 (d) s=300 kPa时εθ的关系变化
(c) s=100 kPa, the change trend of εθ(d) s=300 kPa, the change trend of εθ
图9 不同基质吸力下非饱和黄土应变分量与参数rp/rh的关系(双剪应力强度准则)
Fig. 9 Relations between unsaturated loess strain components and parameters rp/r and dilatation reduction coefficient h for different matrix suctions (twin shear stress strength criterion)

由图8、图9中可以看出在参数rp/rh的共同作用下,εrεθ基本呈非线性变化rp/r一定时,εrεθ均随着剪胀系数h增大而增大,当孔型系数k逐渐增大时,剪胀系数hεrεθ的影响逐渐显著,可以看出k=1和k=2时的应变是其介于1~2之间其他椭球形小孔扩张时应变分量的上下限对比图8和图9中不同基质吸力下的应变分量,可以看出随着基质吸力s的增大,应变分量εrεθ均随之增大,基质吸力s对应变的影响程度比剪胀系数h大;b=1时双剪应力强度准则下的应变分量大于b=0时的M-C强度准则,因此对于非饱和黄土地区的扩孔问题研究需要考虑不同强度准则的影响,但相比基质吸力s的影响,强度准则对其影响的程度较小

不排水条件下,考虑不同基质吸力s时应变分量εrεθ随参数rp/rb的变化规律如图10所示

(a) s=100 kPa时εr的关系变化 (b) s=300 kPa时εr的关系变化
(a) s=100 kPa, the change trend of εr(b) s=300 kPa, the change trend of εr

(c) s=100 kPa时εθ的关系变化 (d) s=300 kPa时εθ的关系变化
(c) s=100 kPa, the change trend of εθ(d) s=300 kPa, the change trend of εθ
图10 不同基质吸力下非饱和黄土应变分量与参数rp/rb的关系
Fig. 10 Relations between strain components and parameters rp/r and bof unsaturated loess for different matrix suctions

从图10中可以看出,在参数rp/r一定时,参数bεrεθ的影响并不显著;当参数b一定时,εrεθr/rp增大而增大,而当椭球形小孔的孔型系数k逐渐增大时,rp/r对应变的影响更加显著,同样可以看出k=1和k=2时应变是椭球形小孔扩张时应变的上下限

6 结 论

本文在非饱和黄土统一强度准则中引入非饱和原状黄土黏聚力与基质吸力的拟合公式对非饱和黄土中的椭球形扩孔问题进行了弹塑性分析,主要结论如下:

1) 推导出了在不同排水条件下考虑土体剪胀、大变形以及不同强度准则等因素影响下非饱和黄土椭球形扩孔时弹性区及塑性区的有效应力、应变分量的解析解同时获取了排水和不排水条件下的塑性区半径及极限扩孔压力解析解

2) 非饱和黄土在排水和不排水条件下,随着孔型系数k与基质吸力s的增大,有效应力均随之增大,且同等条件下在孔型系数k=1和2时刚好为其他非特殊椭球形小孔扩张时的有效应力分量上下限,当基质吸力s一定,b=1时双剪应力强度准则下的有效应力要比b=0时的M-C强度准则下的大

3) 非饱和黄土在排水条件下,当参数r/rp一定时,εrεθ均随剪胀系数h与基质吸力s增大而增大,相比剪胀系数h,基质吸力s对有效应变的影响程度更大;在不排水条件下,当参数r/rp一定时,参数b的变化对有效应变的影响并不明显在同等条件下b=1时双剪应力强度准则下的有效应变要比b=0时的M-C强度准则大

参考文献

[1] VESIC A S. Expansion of cavities in infinite soil mass[J]. Journal of the Soil Mechanics and Foundations Division, 1972, 98(3): 265-290.

[2] CARTER J P, BOOKER J R, YEUNG S K. Cavity expansion in cohesive frictional soils[J]. Géotechnique, 1987, 36(3): 349-358.

[3] 贾尚华, 赵春风, 赵程. 砂土中柱孔扩张问题的扩孔压力与扩孔半径分析[J]. 岩石力学与工程学报, 2015, 34(1): 182-188.(JIA Shanghua, ZHAO Chunfeng, ZHAO Cheng. Analysis of expanded radius and internal expanding pressure of cylindrical hole[J]. Chinese Journal of Rock Mechanics and Engineering, 2015, 34(1): 182-188.(in Chinese))

[4] VRAKAS A. Relationship between small and large strain solutions for general cavity expansion problems in elasto-plastic soils[J]. Computers & Geotechnics, 2016, 76: 147-153.

[5] 晁明颂, 高盟, 张继严, 等. 基于能量耗散的球孔扩张理论解答[J]. 岩土力学, 2016, 37(7): 1986-1993.(CHAO Mingsong, GAO Meng, ZHANG Jiyan, et al. An analytic solution for spherical cavity expansion based on energy dissipation theory[J]. Rock and Soil Mechanics, 2016, 37(7): 1986-1993.(in Chinese))

[6] CHEN S L, ABOUSLEIMAN Y N. Cavity expansion in strain hardening frictional soils under drained condition[J]. International Journal for Numerical & Analytical Methods in Geomechanics, 2017, 42(1): 132-142.

[7] 梅毕祥, 杨敏, 贾尚华. 基于摩尔库伦准则考虑渗流影响的孔扩张理论[J]. 同济大学学报(自然科学版), 2017, 45(3): 309-316.(MEI Bixiang, YANG Min, JIA Shanghua. Mohr-Coulomb criterion-based theoretical solutions of spherical cavity expansion considering seepage[J]. Journal of Tongji University(Natural Science), 2017, 45(3): 309-316.(in Chinese))

[8] RUSSELL A R, KHALILI N. Cavity expansion in unsaturated soils[C]//Proceedings of the Third International Conference on Unsaturated Soils. Recife, Brazil, 2002: 233-238.

[9] 胡伟, 刘明振. 非饱和土中球形孔扩张的弹塑性分析[J]. 岩土工程学报, 2006, 28(10): 1292-1297.(HU Wei, LIU Mingzhen. Elastic-plastic solution of expansion of sphere cavity in unsaturated soils[J]. Chinese Journal of Geotechnical Engineering, 2006, 28(10): 1292-1297.(in Chinese))

[10] 刘旭. 非饱和土中的柱形孔扩张问题的研究[D]. 硕士学位论文. 北京: 北京交通大学, 2017.(LIU Xu. Cylindrical cavity expansion in unsaturated soils[D]. Master Thesis. Beijing: Beijing Jiaotong University, 2017.(in Chinese))

[11] 卢国文. 黄土扩孔问题的理论解析及其在劈裂注浆中的应用研究[D]. 硕士学位论文. 兰州: 兰州理工大学, 2018.(LU Guowen. Theoretical analysis of loess hole enlargement and its application in splitting grouting[D]. Master Thesis. Lanzhou: Lanzhou University of Technology, 2018.(in Chinese))

[12] 赵明华, 何玮茜, 衡帅, 等. 基于圆孔扩张理论的筋箍碎石桩承载力计算方法研究[J]. 岩土工程学报, 2017, 39(10): 1785-1792.(ZHAO Minghua, HE Weixi, HENG Shuai, et al. Calculation method of geogrid-encased stone columns’ bearing capacity based on cavity expansion theory[J]. Chinese Journal of Geotechnical Engineering, 2017, 39(10): 1785-1792.(in Chinese))

[13] ZHOU H, LIU H, KONG G, et al. Analytical solution for pressure-controlled elliptical cavity expansion in elastic-perfectly plastic soil[J]. Géotechnique Letters, 2014, 4(2): 72-78.

[14] ZHOU H, KONG G, LI P, et al. Flatcavity expansion: theoretical model and application to the interpretation of the flat dilatometer test[J]. Journal of Engineering Mechanics, 2015, 142: 04015058. DOI: 10.1061/(ASCE)EM.1943-7889.0000957.

[15] ZHOU H, KONG G Q, LIU H L. Pressure-controlled elliptical cavity expansion under anisotropic initial stress: Elastic solution and its application[J]. Science China Technological Sciences, 2016, 59(7): 1100-1119.

[16] 梁恒昌. Tresca材料椭球形孔扩张问题研究[D]. 博士学位论文. 徐州: 中国矿业大学, 2010.(LIANG Hengchang. Advances in ellipsoidal cavity expansion with Tresca material[D]. PhD Thesis. Xuzhou: China University of Mining and Technology, 2010.(in Chinese))

[17] LU N, GODT J W, WU D T. A closed form equation for effective stress in unsaturated soil[J]. Water Resources Research, 2010, 46(5): W05515. DOI: 10.1029/2009WR008646.

[18] 毕银强, 张茂省, 谷天峰, 等. 非饱和黄土土水特征及其强度指标[J]. 防灾减灾工程学报, 2018, 38(3): 520-527.(BI Yinqiang, ZHANG Maosheng, GU Tianfeng, et al. Soil-water characteristics and strength indexes of unsaturated loess[J]. Journal of Disaster Prevention and Mitigation Engineering, 2018, 38(3): 520-527.(in Chinese))

[19] 刘朋飞, 殷跃平, 李滨, 等. 非饱和黄土干湿循环土-水特征曲线试验及渗透系数预测[J]. 中国地质灾害与防治学报, 2015, 26(4): 125-129.(LIU Pengfei, YIN Yueping, LI Bin, et al. The tests of soil-water characteristics curve and permeability coefficient prediction of the wetting-drying cycles for unsaturated loess[J]. The Chinese Journal of Geological Hazard and Control, 2015, 26(4): 125-129.(in Chinese))

[20] 王晋伟. 陇东地区非饱和黄土土水特征曲线及强度特性试验研究[D]. 硕士学位论文. 兰州: 兰州理工大学, 2017.(WANG Jinwei. Study on the soil water characteristics curve and strength characteristics of unsaturated loess in east Gansu province[D]. Master Thesis. Lanzhou: Lanzhou University of Technology, 2017.(in Chinese))

[21] 张常光, 范文, 赵均海. 非饱和土统一强度理论及真三轴试验结果验证[J]. 岩石力学与工程学报, 2015, 34(8): 1702-1711.(ZHANG Changguang, FAN Wei, ZHAO Junhai. Unified strength theory of unsaturated soils and verification with true triaxial test[J]. Chinese Journal of Rock Mechanics and Engineering, 2015, 34(8): 1702-1711.(in Chinese))

Elastoplastic Analysis of Ellipsoidal Hole Expansion in Unsaturated Loess

DANG Xinghai1,2, ZHOU Peng1,2, CHAO Xin2, GUO Qiming2, WU Runlin2

(1. Western Engineering Research Center of Disaster Mitigation in Civil Engineering of Ministry of Education, Lanzhou 730050, P.R.China; 2. Key Laboratory of Disaster Prevention and Mitigation in Civil Engineering of Gansu Province, Lanzhou University of Technology, Lanzhou 730050, P.R.China)

Abstract: In the unified strength criterion for unsaturated soils, the formulae of cohesion of unsaturated undisturbed loess and matrix suction were introduced. The method of changing hole pattern coefficient k was combined with boundary conditions, equilibrium equations and stress compatibility equations to derive stress and strain solutions under drainage and undrained conditions. Analytical solutions of the stress and strain fields, the plastic zone radii and the limit hole expansion pressure in the elastic and plastic regions around the ellipsoid hole in the plane, and the influences of the matrix suction, the strength criterion and the dilatancy on the analytical solutions were discussed with the MATLAB software. The results show that, the effective stresses of unsaturated loess under different drainage conditions will increase with hole pattern coefficient k and the matrix suction; when the parameters are constant, the effective strain under the drainage condition will increase with dilatation coefficient h and even more with the matrix suction; with the same condition, the effective stress and strain under the double shear stress strength criterion for b=1 will be larger than those under the MC strength criterion for b=0.

Key words: unsaturated loess; unified strength criterion; ellipsoidal hole expansion; drainage condition; parameter analysis

ⓒ 应用数学和力学编委会,ISSN 1000-0887

http://www.applmathmech.cn

*收稿日期: 2019-06-12;

修订日期: 2020-01-07

基金项目: 国家自然科学基金(51468040)

作者简介: 党星海(1972—),男,教授,硕士生导师(通讯作者. E-mail: 245515697@qq.com).

引用格式: 党星海, 周鹏, 钞鑫, 郭启明, 吴润霖. 非饱和黄土中椭球形扩孔问题弹塑性解析[J]. 应用数学和力学, 2020, 41(9): 994-1010.

中图分类号: TU444

文献标志码: A

DOI: 10.21656/1000-0887.400186

Foundation item: The National Natural Science Foundation of China(51468040)