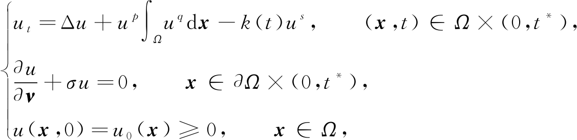
18世纪, 为解决弦振动、 万有引力、 流体水力学等实际物理问题,出现了偏微分方程.其中,反应扩散方程是偏微分方程中的一类重要方程.本文将讨论具有时间系数的非局部反应扩散方程的爆破行为,其方程可表示为
(1)
给出不同的边界条件:
齐次Dirichlet边界条件
u(x,t)=0, ∂Ω×(0,t*);
(2)
齐次Neumann边界条件
(3)
齐次Robin边界条件
(4)
其中p,q≥0,p+q=s>m>1,σ>0,Ω⊂R3是一个具有光滑边界的凸域,t*<∞是可能发生爆破的时间,若t*=∞,则爆破不会发生.k(t)>0且满足条件:
① |Ω|-k(t)≥0,|Ω|是区域Ω的体积;
② k(t)∈C1(R+)且![]()
如果上述问题的解可能在有限时间里爆破,即t*<∞,我们将给出在不同的边界条件下t*的下界估计.
在过去的十几年中,众多学者研究了反应扩散方程的爆破问题[1-4].Bao和Song[5]研究了拟线性方程的爆破行为,他们通过修改Payne-Philippin-Schaefer方法,获得如下问题的爆破时间下界:
(5)
这里Ω⊂Rn(n≥3)是一个光滑有界区域, f, G和g(x)均为非负函数.多孔介质方程ut=Δum+up是问题(5)的一个典型的例子.对于具有齐次Robin边界条件的反应扩散方程,Payne和Philippin在文献[6]中考虑了如下具有时间系数的拟线性方程:
ut=Δu+k(t)f(u), (x,t)∈Ω×(0,t*).
(6)
他们利用辅助函数法和一些不等式技巧得到了具有齐次Robin边界条件的爆破时间的上下界.然而,非局部方程比局部方程更能刻画实际问题.对于含有非局部项的反应扩散方程在各种边界条件下的爆破时间边界估计,可参考文献[7-9].Liu和Mu等[10]讨论了非局部多孔介质方程:
(7)
在这里p,q≥0,p+q>m>1,他们利用微分不等式技巧分别给出了在齐次Dirichlet和齐次Neumann边界条件下,方程(7)解的爆破时间下界.最近,Wang和Fang等[11]研究了在Robin边界条件下具有时间系数的非局部问题:
(8)
其中Ω⊂RN(N≥3)是一个具有光滑边界的有界区域,p≥0,q>0,p+q=s>1,σ为非零常数,并且k(t)是一个非负可微函数.他们利用一些不同的不等式技巧得到了问题(8)的爆破时间下界.据笔者所知,目前还没有文献对问题(1)的爆破时间进行估计.因此,受上述文献的启发,我们将通过构造辅助函数和利用各种不等式技巧,给出问题(1)在不同边界条件下的爆破时间估计.实际上,由文献[10-11]及相关文献不难证明,当p+q=s>m>1时,问题(1)的解在有限时间爆破.
为了计算简洁,始终记![]()
本文结构安排如下:在第1节到第3节,我们将分别估计在齐次Dirichlet、齐次Neumann以及齐次Robin边界条件下,问题(1)解的爆破时间下界;第4节给出了在三种边界条件下的应用实例;第5节对全文进行了总结.
这一节,我们将利用Sobolev不等式等技巧,给出问题(1)、(2)的爆破时间下界的估计,下面给出这一部分的结论.
定理1 设u(x,t)是问题(1)、(2)的非负解,常数L≥max{(6n-3m+3)/n,1/n},如果u(x,t)在有限时间爆破,则爆破时间的下界为
(9)
其中k′(t)/(k(t)+1)<h已在文中给出, k2是一个待定的非负常数,其定义将在证明中给出.
证明 定义辅助函数
(10)
为了方便,记k=k(t),将式(10)两边对t进行求导,得到
![]()
u(nL+m-1)/2|2dx+
(11)
利用Hölder不等式,有
记δ=(nL+m-1)/(2n),由于p+q=s,得
![]()

![]()
(12)
再次利用Hölder不等式,得
(13)
由Sobolev嵌入不等式,有
其中λ1=2/π, λ2=41/33-1/2π-2/3.将上述两式代入式(13)中,并且利用Hölder不等式和Cauchy不等式, 可推出
![]()

![]()
(14)
这里
将式(14)代入式(12)中,得
φ′1(t)≤
![]()
vδ|2dx+
![]()
vδ|2dx+
(15)
选择合适的ε1 使得![]()
vδ|2dx前的系数为0,由此我们可以得到
φ′1(t)≤hφ1(t)+k2[φ1(t)](n(L+2)-m+1)/(nL),
(16)
这里
将式(16)两边在(0,t*)上积分,得到
(17)
这一节,我们将利用Payne和Schaefer积分不等式等技巧,得出问题(1)、(3)的爆破时间下界的估计.
定理2 设u(x,t)是问题(1)、(3)的一个非负解,常数L≥{2,1/n},如果u(x,t)在有限时间爆破,则爆破时间的下界为
(18)
其中h同定理1,k4,k5都是待定非负常数,其定义将在证明中给出.
证明 这里的辅助函数φ2(t)与定理1中的辅助函数φ1(t)相同,但L的取值范围发生了一些变化:
(19)
同式(12),有
![]()
vδ|2dx+
(20)
利用Hölder不等式,有
(21)
现在,估计
利用Payne和Schaefer积分不等式(参考文献[12]中的式(2.14)),有
(22)
接下来估计
利用Payne不等式(参考文献[13]中的式(A.1))及Hölder不等式,可得到
![]()

![]()
vδ|dx≤
(23)
其中
由于Ω是具有光滑边界的凸域,故ρ>0.因此,有
即
其中α>0为待定常数.将上式先代入式(21),再代入式(20),可得
φ′2(t)≤
![]()
vδ|2dx≤
![]()
vδ|2dx.
(24)
选择适当小α使得m1=0,其中
则
φ′2(t)≤hφ2(t)+k4(φ2(t))(L+1)/L+k5(φ2(t))2(L-δ)(L+1)/(L(L-1)),
(25)
这里
对式(25)两边在(0,t*)上积分,得
(26)
在Robin边界条件下,我们利用Sobolev不等式、Hölder不等式等技巧给出问题(1)和(4)的爆破时间下界的估计,其结论如下.
定理3 假定u(x,t)是问题(1)、(4)的一个非负解,常数L≥max{(6n-3m+3)/n,1/n},如果u(x,t)在有限时间爆破,则u(x,t)爆破时间的下界为
(27)
其中0≤h<∞是一个常数, k7是将在证明中定义的非负待定常数.
证明 仍令辅助函数
(28)
为了简洁,仍记k=k(t),将式(28)两边对t进行求导,有
(29)
利用Hölder不等式,有
(30)
由s=p+q,可以得出
(31)
现在,将估计不等式(29)中右边第二项
![]()
u|2dx=
![]()
u(nL+m-1)/2|2dx.
(32)
记δ=(nL+m-1)/(2n),并将式(30)~(32)代入式(29),得到
![]()

![]()
(33)
现在对
进行估计,利用Hölder不等式,有
(34)
参考文献[14]中的式(3.8),有
(35)
再次利用Sobolev嵌入不等式:
则
(36)
其中
因此
![]()

![]()
(37)
这里
c4=c3|Ω|(n(L-6)+3(m-1))/(6nL).
将式(37)代入式(33),可以得到
φ′3(t)≤
![]()
vδ|2dx+
![]()
vδ|2dx≤
![]()
vδ|2dx.
(38)
选择合适的ε2使m2为0,这里
则可得到
φ′3(t)≤hφ3(t)+k7(φ3(t))(n(L+2)-m+1)/(nL),
(39)
其中
将式(39)两边在(0,t*)上积分,得到
(40)
这一节,我们将通过实例来验证上述结论.下面我们给出一个反应扩散方程及其初值:
其中
则有m=3,p=2,q=2,s=4,n=3, k(t)=|Ω|(1-e-1-t),我们给出
在热力学当中,u(x,t)表示温度分布函数,
及k(t)u4分别表示区域内部的热源和热汇.我们将对上述热传导问题解的爆破时间下界在三类边界条件下进行估计.
1) 齐次Dirichlet边界条件
令L=4,则
由定理1的结论,得到上述问题解的爆破时间的下界估计为
2) 齐次Neumann边界条件
令L=4,则α=0.404 4,k4=7.090 8,k5=32.778 1, φ2(0)=0.421 6,由定理2,得到上述问题解的爆破时间的下界估计为
3) 齐次Robin边界条件
令σ=1 000,L=4,则c4=0.591 9,ε2=1.477 7,k7=2.403 8,φ3(0)=0.421 6.由定理3,可得上述问题解的爆破时间的下界估计为
本文研究了一类同时具有热源和热汇的反应扩散方程在解发生爆破的情形下爆破时间的下界.在不同边界条件下,通过构造合适的辅助函数,利用各种不等式技巧,分别给出了爆破时间下界的估计,并通过实例对结论进行验证.由于此问题针对气体或者液体在多孔介质中的反应扩散现象,此情形下,区域表面的传热系数和区域内部导热系数之比(即σ)一般很大,这时Robin边界条件可近似转化为Dirichlet边界条件,从实例中看出,在这两类边界条件下爆破时间的估计比较接近.此外,问题中Robin边界条件表明热量向外流出,相较于Neumann边界条件绝热的情形,热量更难聚积,发生爆破的时间更长,此状况在实例中也得到了验证.
虽然在慢扩散(m>1)的情形下,热量更易聚积,爆破现象更容易发生,但是对Neumann边界条件下的爆破时间下界的估计还是偏小,因此,对此类问题的估算技术还待进一步改进.
[1] 邓卫兵, 刘其林, 谢春红.一类含非局部源的非线性退化扩散方程解的爆破性质[J]. 应用数学和力学, 2003, 24(11): 1204-1210.(DENG Weibing, LIU Qilin, XIE Chunhong. The blowup properties for a class of nonlinear degenerate diffusion equation with nonlocal source[J]. Applied Mathematics and Mechanics, 2003, 24(11): 1204-1210.(in Chinese))
[2] 陈玉娟, 朱月萍. 一类拟线性抛物型方程组的爆破率和爆破模式[J]. 应用数学和力学, 2009, 30(7): 811-820.(CHEN Yujuan, ZHU Yueping. Blow-up rate and profile for a class of quasilinear parabolic system[J]. Applied Mathematics and Mechanics, 2009, 30(7): 811-820.(in Chinese))
[3] MA L, FANG Z B. Blow-up analysis for a reaction-diffusion equation with weighted nonlocal inner absorptions under nonlinear boundary flux[J]. Nonlinear Analysis: Real World Applications, 2016,32: 338-354.
[4] MA L, FANG Z B. Blow-up analysis for a nonlocal reaction-diffusion equation with Robin boundary conditions[J]. Taiwanese Journal of Mathematics, 2017, 21(1): 131-150.
[5] BAO A, SONG X. Bounds for the blowup time of the solutions to quasi-linear parabolic problems[J]. Zeitschrift für Angewandte Mathematik und Physik, 2014, 65(1): 115-123.
[6] PAYNE L E, PHILIPPIN G A. Blow-up in a class of non-linear parabolic problems with time-dependent coefficients under Robin type boundary conditions[J]. Applicable Analysis, 2012, 91(12): 2245-2256.
[7] SONG J C. Lower bounds for the blow-up time in a non-local reaction-diffusion problem[J]. Applied Mathematics Letters, 2011, 24(5): 793-796.
[8] LIU Y. Lower bounds for the blow-up time in a non-local reaction diffusion problem under nonlinear boundary conditions[J]. Mathematical and Computer Modelling, 2013, 57(3/4): 926-931.
[9] 赵元章, 马相如. 一类具有变扩散系数的非局部反应-扩散方程解的爆破分析[J]. 数学物理学报, 2018, 38(4): 750-769.(ZHAO Yuanzhang, MA Xiangru. Blow-up analysis of the solution of nonlocal reaction-diffusion equation with variable diffusion coefficient[J]. Acta Mathematica Scientia, 2018, 38(4): 750-769.(in Chinese))
[10] LIU D M, MU C L, XIN Q. Lower bounds estimate for the blow-up time of a nonlinear nonlocal porous medium equation[J]. Acta Mathematica Scientia, 2012, 32(3): 1206-1212.
[11] WANG Y, FANG Z B, YI S C. Lower bounds for blow-up time in nonlocal parabolic problem under Robin boundary conditions[J]. Applicable Analysis, 2019, 98(8): 1403-1414.
[12] PAYNE L E, SCHAEFER P W. Lower bounds for blow-up time in parabolic problems under Neumann conditions[J]. Applicable Analysis, 2006,85(10): 1301-1311.
[13] PAYNE L E, PHILIPPIN G A, PIRO S V, et al. Blow-up phenomena for a semilinear heat equation with nonlinear boundary condition, Ⅱ[J]. Nonlinear Analysis: Theory, Methods & Applications, 2010, 73(4): 971-987.
[14] ENACHE C. Blow-up phenomena for a class of quasilinear parabolic problems under Robin boundary condition[J]. Applied Mathematics Letters, 2011, 24(3): 288-292.