• Scopus收录
  • CSCD来源期刊
  • 中文核心期刊

留言板

尊敬的读者、作者、审稿人, 关于本刊的投稿、审稿、编辑和出版的任何问题, 您可以本页添加留言。我们将尽快给您答复。谢谢您的支持!

姓名
邮箱
手机号码
标题
留言内容
验证码

风攻角对某扁平箱梁气动导数及颤振特性的影响

邢文博 沈火明 伍波 廖海黎

邢文博,沈火明,伍波,廖海黎. 风攻角对某扁平箱梁气动导数及颤振特性的影响 [J]. 应用数学和力学,2023,44(2):178-190 doi: 10.21656/1000-0887.430394
引用本文: 邢文博,沈火明,伍波,廖海黎. 风攻角对某扁平箱梁气动导数及颤振特性的影响 [J]. 应用数学和力学,2023,44(2):178-190 doi: 10.21656/1000-0887.430394
XING Wenbo, SHEN Huoming, WU Bo, LIAO Haili. Influences of Attack Angles on Aerodynamic Derivatives and Flutter Characteristics of Flat Box Girders[J]. Applied Mathematics and Mechanics, 2023, 44(2): 178-190. doi: 10.21656/1000-0887.430394
Citation: XING Wenbo, SHEN Huoming, WU Bo, LIAO Haili. Influences of Attack Angles on Aerodynamic Derivatives and Flutter Characteristics of Flat Box Girders[J]. Applied Mathematics and Mechanics, 2023, 44(2): 178-190. doi: 10.21656/1000-0887.430394

风攻角对某扁平箱梁气动导数及颤振特性的影响

doi: 10.21656/1000-0887.430394
基金项目: 中央高校基本科研业务费(2682021ZTPY07)
详细信息
    作者简介:

    邢文博(1993—),男,硕士(E-mail:1025175837@qq.com

    伍波(1989—) 男,助理研究员(通讯作者. E-mail:wubo243@my.swjtu.edu.cn

  • 中图分类号: O39

Influences of Attack Angles on Aerodynamic Derivatives and Flutter Characteristics of Flat Box Girders

  • 摘要:

    以南京第四长江大桥扁平箱梁为研究对象,通过节段模型自由振动风洞试验详细测试了模型在不同风攻角下的颤振响应,探讨了系统非稳态及稳态临界振幅随风速的演化规律。首先,基于颤振响应振幅包络,结合Hilbert变换,识别了系统振幅依存的模态阻尼,并初步阐释了颤振形态随风攻角转变的机理。其次,提取了系统在不同风攻角下的模态参数,基于双模态耦合闭合解法,识别了断面在不同风攻角下的非线性颤振导数,研究了关键颤振导数振幅依存性随风攻角变化的规律及对断面颤振形态和特性的潜在影响。最后,通过逐项拆解模态阻尼,深入剖析了风攻角对非耦合及耦合气动阻尼的影响,并阐明了分项阻尼导致系统颤振性能差异性的动力学机理。

  • 图  1  南京第四长江大桥主桥布置图(单位:m)

    Figure  1.  The layout of the main bridge of the Nanjing No.4 bridge (unit: m)

    图  2  节段模型桥梁断面图,B/H=10.95 (单位: mm)

    Figure  2.  The cross-section of the model, B/H=10.95 (unit: mm)

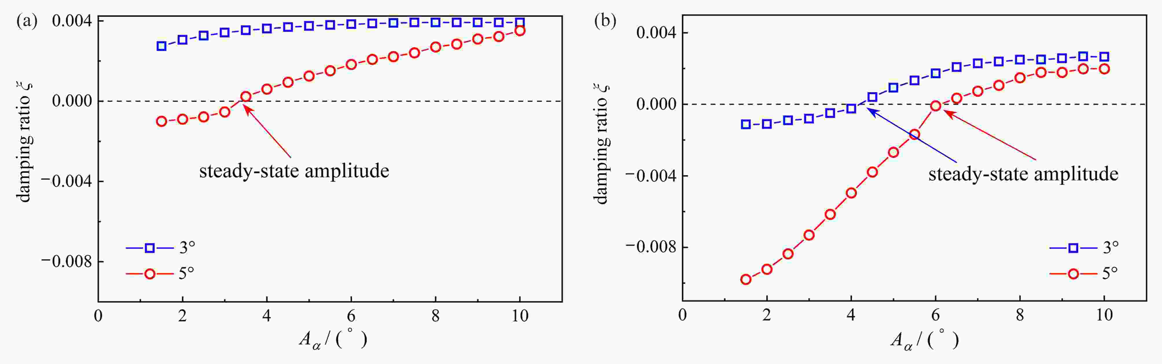
    图  3  不同攻角下稳态振幅随风速的变化曲线:(a) 非正攻角下临界振幅随风速的变化曲线;(b) 正攻角下稳态振幅随风速的变化曲线

    Figure  3.  Curves of amplitude varying with the wind speed at different angles of attack: (a) curves of critical amplitude varying with the wind speed at non-positive angles of attack; (b) curves of steady-state amplitude varying with the wind speed at positive angles of attack

    图  4  不同激励下的时程发展曲线(−5°攻角,U=15 m/s):(a)小激励下衰减的时程曲线;(b)大激励下发散的时程曲线

    Figure  4.  Time history development curves under different excitations (attack angle of −5°, U=15 m/s): (a) the damped time history curve under the small excitation; (b) the divergent time history curve under the large excitation

    图  5  不同激励下的时程发展曲线(5°攻角,U=11.5 m/s):(a) 无激励下增长至稳定的时程曲线;(b) 大激励下衰减至稳定的时程曲线

    Figure  5.  Time history development curves under different excitations (attack angle of 5°, U=11.5 m/s): (a) the growth-to-stability time history curve without excitation; (b) the damping-to-stability time curve under the large excitation

    图  6  不同激励下的时程发展曲线(0°攻角,U=17 m/s):(a)小激励下衰减至零的时程曲线;(b)大激励下增长至稳定的时程曲线

    Figure  6.  Time history development curves under different excitations (attack angle of 0°, U=17 m/s): (a) the damped time history curve under the small excitation; (b) the growth-to-stability time history curve under the large excitation

    图  7  非正攻角下不同风速时,阻尼随振幅的变化曲线:(a) U=14 m/s;(b) U=16 m/s

    Figure  7.  Damping curves varying with the amplitude at non-positive attack angles and different wind speeds: (a) U=14 m/s; (b) U=16 m/s

    图  8  正攻角下不同风速时,阻尼随振幅的变化曲线:(a) U=10 m/s;(b) U=13 m/s

    Figure  8.  Damping curves varying with the amplitude at positive attack angles and different wind speeds: (a) U=10 m/s; (b) U=13 m/s

    图  9  不同风攻角下气动参数随风速的变化关系:(a) 频率;(b) 振幅比;(c) 相位差

    Figure  9.  Aerodynamic parameters varying with the wind speed at different attack angles: (a) the frequency; (b) the amplitude ratio; (c) the phase difference

    图  10  非耦合颤振导数识别结果:(a) −5°攻角下的颤振导数$ A_2^* $;(b) −3°攻角下的颤振导数$ A_2^* $;(c) 0°攻角下的颤振导数$ A_2^* $;(d) 3°攻角下的颤振导数$ A_2^* $;(e) 5°攻角下的颤振导数$ A_2^* $;(f) 不同攻角下的颤振导数$ A_3^* $

    Figure  10.  Evolution of uncoupled flutter derivatives: (a) $ A_2^* $ under a wind attack angle of −5°; (b) $ A_2^* $ under a wind attack angle of −3°; (c) $ A_2^* $ under a wind attack angle of 0°; (d) $ A_2^* $ under a wind attack angle of 3°; (e) $ A_2^* $ under a wind attack angle of 5°; (f) $ A_3^* $ at different wind attack angles

    图  11  不同攻角下耦合颤振导数的识别结果:(a) 不同攻角下的颤振导数$ H_2^* $;(b) 不同攻角下的颤振导数$ H_3^* $

    Figure  11.  Evolution of coupled flutter derivatives: (a) $ H_2^* $ values at different wind attack angles; (b) $ H_3^* $ values at different wind attack angles

    图  12  非正攻角下各阻尼项随振幅变化曲线:(a) 14 m/s下不同攻角的耦合气动阻尼和结构阻尼;(b) 16 m/s下不同攻角的耦合气动阻尼和结构阻尼;(c) 14 m/s下不同攻角的非耦合气动阻尼;(d) 16 m/s下不同攻角的非耦合气动阻尼

    Figure  12.  The damping term curves varying with the amplitude at non-positive angle of attack: (a) the coupled aerodynamic damping and the structural damping at different attack angles (U=14 m/s); (b) the coupled aerodynamic damping and the structural damping at different attack angles (U=16 m/s); (c) the uncoupled aerodynamic damping at different attack angles (U=14 m/s); (d) the uncoupled aerodynamic damping at different attack angles (U=16 m/s)

    图  13  正攻角下各阻尼项随风速变化曲线:(a) 10 m/s不同攻角的耦合气动阻尼和结构阻尼;(b)13 m/s不同攻角的耦合气动阻尼和结构阻尼;(c) 10 m/s不同攻角的非耦合气动阻尼;(d) 13 m/s不同攻角的非耦合气动阻尼

    Figure  13.  The damping term curves varying with the amplitude under positive angles of attack: (a) the coupled aerodynamic damping and the structural damping at different attack angles (U=10 m/s); (b) the coupled aerodynamic damping and the structural damping at different attack angles (U=13 m/s); (c) the uncoupled aerodynamic damping at different attack angles (U=10 m/s); (d) the uncoupled aerodynamic damping at different attack angles (U=13 m/s)

    表  1  基础试验参数

    Table  1.   Basic test parameters

    $ m $/(kg/m)$ I $/(kg·m2/m)$ {\omega _{h0}} $/(rad/s)$ {\omega _{\alpha 0}} $/(rad/s)$ {\xi _{h0}} $$ {\xi _{\alpha 0}} $
    9.290.34514.2037.200.00350.0030
    下载: 导出CSV

    表  2  不同攻角下$ A_{\text{3}}^* $取值($ U/(fB) = 12 $

    Table  2.   $ A_{\text{3}}^* $ values at different angles of attack($ U/(fB) = 12 $

    attack angle−5°−3°
    $ A_{\text{3}}^* $292220.521.527.5
    下载: 导出CSV

    表  3  非正攻角下耦合气动阻尼各子项

    Table  3.   Sub-terms of the coupled aerodynamic damping at non-positive angles of attack

    sub-term14 m/s16 m/s
    −5°−3°−5°−3°
    $ - 0.5\upsilon \mu $−1.5E + 51.5E + 51.49E + 51.49E + 51.49E + 51.49E + 5
    $ {\left( {\dfrac{{{\omega _2}}}{{{\omega _1}}}} \right)^2}{\left[ {1 - {{\left( {\dfrac{{{\omega _2}}}{{{\omega _1}}}} \right)}^2}} \right]^{ - 1}} $1.781.741.741.861.811.78
    $ {[ {{{( {H_2^*} )}^2} + {{( {H_3^*} )}^2}} ]^{1/2}} $44.2646.947.856.563.663.6
    $ {[ {{{( {A_1^*} )}^2} + {{( {A_4^*} )}^2}} ]^{1/2}} $6.264.644.387.986.325.19
    $\sin ( { {\psi ^\prime } } )$0.990.980.990.990.970.98
    下载: 导出CSV

    表  4  正攻角下耦合项气动阻尼各子项

    Table  4.   Sub-terms of the coupled aerodynamic damping at positive angles of attack

    sub-term10 m/s13 m/s
    $ - 0.5\upsilon \mu $−1.49E + 5−1.49E + 5−1.49E + 5−1.49E + 5
    $ {\left( {\dfrac{{{\omega _2}}}{{{\omega _1}}}} \right)^2}{\left[ {1 - {{\left( {\dfrac{{{\omega _2}}}{{{\omega _1}}}} \right)}^2}} \right]^{ - 1}} $1.681.691.721.76
    $ {[ {{{( {H_2^*} )}^2} + {{( {H_3^*} )}^2}} ]^{1/2}} $21.518.7742.639.0
    $ {[ {{{( {A_1^*} )}^2} + {{( {A_4^*} )}^2}} ]^{1/2}} $2.563.303.755.60
    $\sin ( { {\psi ^\prime } } )$0.990.990.990.99
    下载: 导出CSV
  • [1] SCANLAN R. Amplitude and turbulence effects on bridge flutter derivatives[J]. Engineering Structures, 1997, 123(2): 232-236. doi: 10.1061/(ASCE)0733-9445(1997)123:2(232)
    [2] NODA M, UTSUNOMIYA H, NAGAO F, et al. Effects of oscillation amplitude on aerodynamic derivatives[J]. Journal of Wind Engineering and Industrial Aerodynamics, 2003, 91(1): 101-111.
    [3] XU F, YING X, ZHANG Z. Effects of exponentially modified sinusoidal oscillation and amplitude on bridge deck flutter derivatives[J]. Journal of Bridge Engineering, 2016, 21(5): 06016001. doi: 10.1061/(ASCE)BE.1943-5592.0000884
    [4] ZHANG M, XU F, YING X. Experimental investigations on the nonlinear torsional flutter of a bridge deck[J]. Journal of Bridge Engineering, 2017, 22(8): 04017048. doi: 10.1061/(ASCE)BE.1943-5592.0001082
    [5] ZHOU R, GE Y J, YANG Y X, et al. Wind-induced nonlinear behaviors of twin-box girder bridges with various aerodynamic shapes[J]. Nonlinear Dynamics, 2018, 94: 1095-1115. doi: 10.1007/s11071-018-4411-y
    [6] WU B, CHEN X Z, WANG Q, et al, Characterization of vibration amplitude of nonlinear bridge flutter from section model to full bridge estimation[J]. Journal of Wind Engineering and Industrial Aerodynamics, 2019, 197: 1040487.
    [7] 张博, 史天姿, 张贻林, 等. 旋转输液管动力稳定性理论分析[J]. 应用数学和力学, 2022, 43(2): 166-175

    ZHANG Bo, SHI Tianzi, ZHANG Yilin, et al. Theoretical analysis on dynamic stability of rotating pipes conveying fluid[J]. Applied Mathematics and Mechanics, 2022, 43(2): 166-175.(in Chinese)
    [8] 黄国庆, 彭留留, 廖海黎, 等. 普立特大桥桥位处山区风特性实测研究[J]. 西南交通大学学报, 2016, 51(2): 349-356

    HUANG Guoqing, PENG Liuliu, LIAO Haili, et al. Field measurement study on wind characteristics at Puli great bridge site in mountainous area[J]. Journal of Southwest Jiaotong University, 2016, 51(2): 349-356.(in Chinese)
    [9] 于舰涵, 李明水, 廖海黎. 山区地形对桥位风场影响的数值模拟[J]. 西南交通大学学报, 2016, 51(4): 654-662

    YU Jianhan, LI Mingshui, LIAO Haili. Numerical simulation of effect of mountainous topography on wind field at bridge site[J]. Journal of Southwest Jiaotong University, 2016, 51(4): 654-662.(in Chinese)
    [10] 赵林, 吴风英, 潘晶晶, 等. 强台风登陆过程大跨桥梁风特性特征及其抖振响应分析[J]. 空气动力学学报, 2016, 39(4): 654-662

    ZHAO Lin, WU Fengying, PAN Jingjing, et al. Wind field characteristics and wind-induced buffeting response of a long-span bridge during the landing of a strong typhoon[J]. Acta Aerodynamica Sinica, 2016, 39(4): 654-662.(in Chinese)
    [11] 朱乐东, 朱青, 郭震山. 风致静力扭角对桥梁颤振性能影响的节段模型试验研究[J]. 振动与冲击, 2011, 30(5): 23-26

    ZHU Ledong, ZHU Qing, GUO Zhenshan. Effect of wind-induced static torsional angle on flutter performance of bridges via sectional model test[J]. Journal of Vibration and Shock, 2011, 30(5): 23-26.(in Chinese)
    [12] 欧阳克俭, 陈政清. 附加攻角效应对颤振稳定性能影响[J]. 振动与冲击, 2015, 34(2): 45-49

    OUYANG Kejian, CHEN Zhenqing. Influence of static wind additive attack angle on flutter performance of bridges[J]. Journal of Vibration and Shock, 2015, 34(2): 45-49.(in Chinese)
    [13] 伍波, 王骑, 廖海黎, 等. 双层桥面桁架梁软颤振特性风洞试验研究[J]. 振动与冲击, 2020, 39(1): 191-198

    WU Bo, WANG Qi, LIAO Haili, et al. Wind tunnel tests for soft flutter characteristics of double-deck truss girder[J]. Journal of Vibration and Shock, 2020, 39(1): 191-198.(in Chinese)
    [14] 伍波, 王骑, 廖海黎, 等. 不同风攻角下薄平板断面颤振机理研究[J]. 振动工程学报, 2020, 33(4): 667-678

    WU Bo, WANG Qi, LIAO Haili, et al. Flutter mechanism of thin plate section under different wind attack angles[J]. Journal of Vibration Engineering, 2020, 33(4): 667-678.(in Chinese)
    [15] 李志国, 王骑, 伍波, 等. 不同攻角下扁平箱梁颤振机理[J]. 西南交通大学学报, 2018, 53(4): 687-695

    LI Zhiguo, WANG Qi, WU Bo, et al. Flutter mechanism of flat box girder under different attack angles[J]. Journal of Southwest Jiaotong University, 2018, 53(4): 687-695.(in Chinese)
    [16] 伍波, 王骑, 廖海黎. 扁平箱梁颤振后状态的振幅依存性研究[J]. 中国公路学报(自然科学版), 2019, 32(10): 96-106

    WU Bo, WANG Qi, LIAO Haili. Characteristics of amplitude dependence of a flat box grider in a post-flutter state[J]. China Journal of Highway and Transport, 2019, 32(10): 96-106.(in Chinese)
    [17] XU F, YANG J, ZHANG M, et al. Experimental investigations on post-flutter performance of a bridge deck sectional model using a novel testing device[J]. Journal of Wind Engineering and Industrial Aerodynamics, 2021, 217: 104752. doi: 10.1016/j.jweia.2021.104752
    [18] LI K, HAN Y, CAI C S, et al. Experimental investigation on post-flutter characteristics of a typical steel-truss suspension bridge deck[J]. Journal of Wind Engineering and Industrial Aerodynamics, 2021, 216: 104724. doi: 10.1016/j.jweia.2021.104724
    [19] 邓正科, 孙测世, 杨汝东. 不同索力斜拉索的主共振瞬时相频特性[J]. 应用数学和力学, 2021, 42(10): 1126-1135

    DENG Zhengke, SUN Ceshi, YANG Rudong. Transient primary resonance phase-frequency characteristics of stay cables with different tensions[J]. Applied Mathematics and Mechanics, 2021, 42(10): 1126-1135.(in Chinese)
    [20] SCANLAN R H, TOMKO J J. Airfoil and bridge deck flutter derivatives[J]. Journal of the Engineering Mechanics Division, 1971, 97(6): 1717-1737.
    [21] MATSUMOTO M. Aerodynamic damping of prisms[J]. Journal of Wind Engineering and Industrial Aerodynamics, 1971, 56: 159-175.
    [22] MATSUMOTO M, KOBAYASHI Y, SHIRATO H. The influence of aerodynamic derivatives on flutter[J]. Journal of Wind Engineering and Industrial Aerodynamics, 1996, 60: 227-239. doi: 10.1016/0167-6105(96)00036-0
    [23] WANG Y F, CHEN X Z, LI Y L. Nonlinear self-excited forces and aerodynamic damping associated with vortex-induced vibration and flutter of long span bridges[J]. Journal of Wind Engineering and Industrial Aerodynamics, 2020, 204: 104207. doi: 10.1016/j.jweia.2020.104207
    [24] CHEN X. Analysis of crosswind fatigue of wind-excited structures with nonlinear aerodynamic damping[J]. Engineering Structures, 2014, 74: 145-156. doi: 10.1016/j.engstruct.2014.04.049
  • 加载中
图(13) / 表(4)
计量
  • 文章访问数:  952
  • HTML全文浏览量:  486
  • PDF下载量:  71
  • 被引次数: 0
出版历程
  • 收稿日期:  2022-12-18
  • 修回日期:  2023-02-19
  • 网络出版日期:  2023-02-28
  • 刊出日期:  2023-02-15

目录

    /

    返回文章
    返回