Volume 47 Issue 1
Jan.  2026
Turn off MathJax
Article Contents
ZHANG Yu, ZHAO Jieyan, YANG Haibing. Series Solutions for Non-Circular Nanoholes With Surface Effects Under Uniform Heat Flux[J]. Applied Mathematics and Mechanics, 2026, 47(1): 79-89. doi: 10.21656/1000-0887.450308
Citation: ZHANG Yu, ZHAO Jieyan, YANG Haibing. Series Solutions for Non-Circular Nanoholes With Surface Effects Under Uniform Heat Flux[J]. Applied Mathematics and Mechanics, 2026, 47(1): 79-89. doi: 10.21656/1000-0887.450308

Series Solutions for Non-Circular Nanoholes With Surface Effects Under Uniform Heat Flux

doi: 10.21656/1000-0887.450308
  • Received Date: 2024-11-18
  • Rev Recd Date: 2025-02-26
  • Publish Date: 2026-01-01
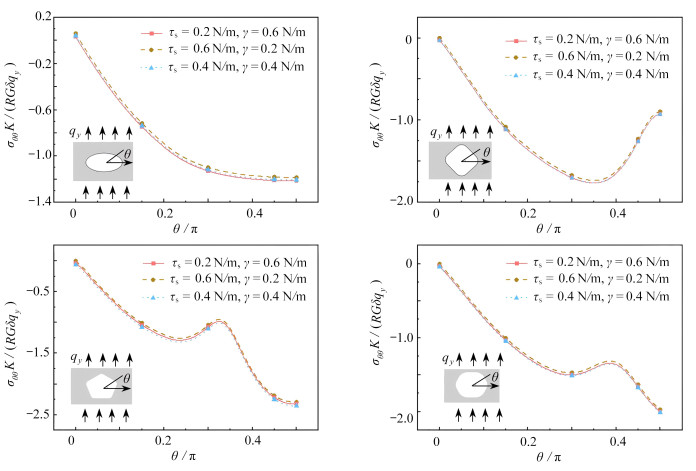
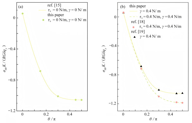
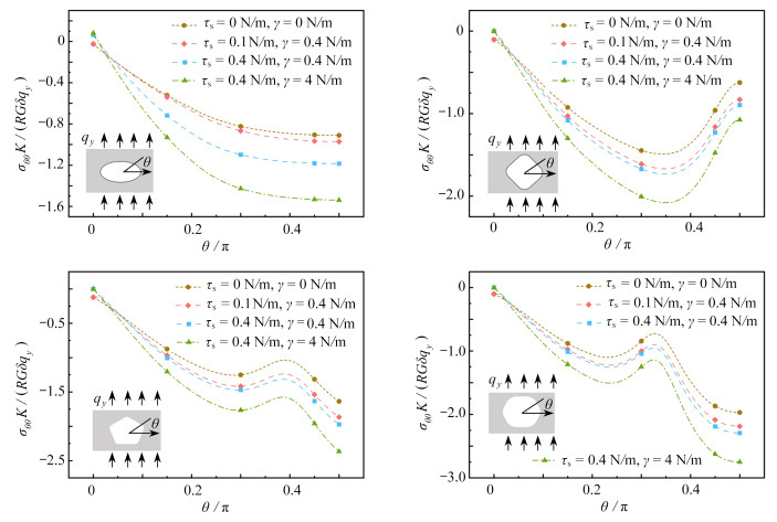
  • The 2D plane problem of non-circular nanoholes under uniform far-field heat flow was investigated. To examine the effects of surface phonon scattering on heat conduction at the microscale, a weakly thermal conductivity model considering temperature jump was introduced, and the complete Gurtin-Murdoch lower-order surface energy model was employed to characterize the surface effects. Based on the theory of complex functions and series expansion, the series solutions for the temperature field and the thermal stress field were obtained corresponding to different hole shapes defined with the conformal mapping techniques. Several numerical examples of non-circular nanoholes were presented to analyze the surface effects on thermal stress fields. The results indicate that, surface effects significantly increase the thermal stresses around the nanohole, and the combined action of surface elasticity and surface tension plays a key role in determining the magnitude of the thermal stress.
  • loading
  • [1]
    LI Z R, HU N, FAN L W. Nanocomposite phase change materials for high-performance thermal energy storage: a critical review[J]. Energy Storage Materials, 2023, 55 : 727-753. doi: 10.1016/j.ensm.2022.12.037
    [2]
    CAMMARATA R C, SIERADZKI K. Effects of surface stress on the elastic moduli of thin films and superlattices[J]. Physical Review Letters, 1989, 62(17): 2005-2008. doi: 10.1103/PhysRevLett.62.2005
    [3]
    FARTASH A, FULLERTON E E, SCHULLER I K, et al. Evidence for the supermodulus effect and enhanced hardness in metallic superlattices[J]. Physical Review B, 1991, 44(24): 13760-13763. doi: 10.1103/PhysRevB.44.13760
    [4]
    STREITZ F H, CAMMARATA R C, SIERADZKI K. Surface-stress effects on elastic properties, Ⅱ: metallic multilayers[J]. Physical Review B, 1994, 49(15): 10707-10716. doi: 10.1103/PhysRevB.49.10707
    [5]
    WHITTAKER E T, GIBBS J W. The scientific papers of J. Willard Gibbs[J]. The Mathematical Gazette, 1907, 4(64): 87.
    [6]
    GURTIN M E, MURDOCH A I. A continuum theory of elastic material surfaces[J]. Archive for Rational Mechanics and Analysis, 1975, 57(4): 291-323. doi: 10.1007/BF00261375
    [7]
    CAI B, WEI P. Surface/interface effects on dispersion relations of 2D phononic crystals with parallel nanoholes or nanofibers[J]. Acta Mechanica, 2013, 224(11): 2749-2758. doi: 10.1007/s00707-013-0886-2
    [8]
    WEI Q, ZHU W, XIANG J, et al. Effect of surface/interface stress on nanoscale phononic crystals using complete Gurtin-Murdoch model[J]. Engineering Analysis With Boundary Elements, 2024, 158 : 22-32. doi: 10.1016/j.enganabound.2023.10.016
    [9]
    冯国益, 肖俊华, 苏梦雨. 考虑表面效应时孔边均布径向多裂纹Ⅲ型断裂力学分析[J]. 应用数学和力学, 2020, 41(4): 376-385. doi: 10.21656/1000-0887.400177

    FENG Guoyi, XIAO Junhua, SU Mengyu. Fracture mechanics analysis of mode-Ⅲ radial multi cracks on the edge of a hole with surface effects[J]. Applied Mathematics and Mechanics, 2020, 41(4): 376-385. (in Chinese) doi: 10.21656/1000-0887.400177
    [10]
    黄汝超, 陈永强. 残余界面应力对粒子填充热弹性纳米复合材料有效热膨胀系数的影响[J]. 应用数学和力学, 2011, 32(11): 1283-1293. doi: 10.3879/j.issn.1000-0887.2011.11.003

    HUANG Ruchao, CHEN Yongqiang. Effects of residual interface stress on effective thermal expansion coefficient of particle-filled composite[J]. Applied Mathematics and Mechanics, 2011, 32(11): 1283-1293. (in Chinese) doi: 10.3879/j.issn.1000-0887.2011.11.003
    [11]
    CAMMARATA R C. Surface and interface stress effects in thin films[J]. Progress in Surface Science, 1994, 46(1): 1-38.
    [12]
    STEIGMANN D J, OGDEN R W. Elastic surface: substrate interactions[J]. Proceedings of the Royal Society of London Series A: Mathematical, Physical and Engineering Sciences, 1999, 455(1982): 437-474. doi: 10.1098/rspa.1999.0320
    [13]
    CHAO C K, SHEN M H. On bonded circular inclusions in plane thermoelasticity[J]. Journal of Applied Mechanics, 1997, 64(4): 1000. doi: 10.1115/1.2788962
    [14]
    CHAO C K, SHEN M H. Thermalstresses in a generally anisotropic body with an elliptic inclusion subject to uniform heat flow[J]. Journal of Applied Mechanics, 1998, 65(1): 51. doi: 10.1115/1.2789045
    [15]
    TANG J Y, YANG H B. An alternative numerical scheme for calculating the thermal stresses around an inclusion of arbitrary shape in an elastic plane under uniform remote in-plane heat flux[J]. Acta Mechanica, 2019, 230(7): 2399-2412. doi: 10.1007/s00707-019-02388-w
    [16]
    TIAN L, RAJAPAKSE R K N D. Analytical solution for size-dependent elastic field of a nanoscale circular inhomogeneity[J]. Journal of Applied Mechanics, 2007, 74(3): 568-574. doi: 10.1115/1.2424242
    [17]
    DAI M, GHARAHI A, SCHIAVONE P. Analytic solution for a circular nano-inhomogeneity with interface stretching and bending resistance in plane strain deformations[J]. Applied Mathematical Modelling, 2018, 55 : 160-170. doi: 10.1016/j.apm.2017.10.028
    [18]
    DAI M, GAO C F, SCHIAVONE P. Closed-form solution for a circular nano-inhomogeneity with interface effects in an elastic plane under uniform remote heat flux[J]. IMA Journal of Applied Mathematics, 2017, 82(2): 384-395.
    [19]
    TANG J, ZHAO J, YANG H, et al. Closed-form solution for a circular nanohole with surface effects under uniform heat flux[J]. Acta Mechanica Solida Sinica, 2024, 37(1): 43-52. doi: 10.1007/s10338-023-00435-7
    [20]
    赵婕燕, 杨海兵. 表面效应对热电材料中纳米孔周围热应力的影响[J]. 应用数学和力学, 2023, 44(11): 1311-1324. doi: 10.21656/1000-0887.440151

    ZHAO Jieyan, YANG Haibing. Surface effects on thermal stresses around the nanohole in thermoelectric material[J]. Applied Mathematics and Mechanics, 2023, 44(11): 1311-1324. (in Chinese) doi: 10.21656/1000-0887.440151
    [21]
    SONG K, YIN D, SCHIAVONE P. Effect of surface phonon scattering on thermal stress around small-scale elliptic holes in a thermoelectric material[J]. Journal of Thermal Stresses, 2021, 44(2): 149-162. doi: 10.1080/01495739.2020.1838248
    [22]
    MUSKHELISHVILI N I. Some Basic Problems of the Mathematical Theory of Elasticity[M]. Dordrecht: Springer Netherlands, 1977.
    [23]
    GHAZANFARIAN J, ABBASSI A. Effect of boundary phonon scattering on Dual-Phase-Lag model to simulate micro- and nano-scale heat conduction[J]. International Journal of Heat and Mass Transfer, 2009, 52(15/16): 3706-3711.
    [24]
    SONG K, SCHIAVONE P. Thermally neutral nano-hole and its effect on the elastic field[J]. European Journal of Mechanics A: Solids, 2020, 81 : 103973. doi: 10.1016/j.euromechsol.2020.103973
    [25]
    DAI M, LI M, SCHIAVONE P. Plane deformations of an inhomogeneity-matrix system incorporating a compressible liquid inhomogeneity and complete Gurtin-Murdoch interface model[J]. Journal of Applied Mechanics, 2018, 85(12): 121010. doi: 10.1115/1.4041469
    [26]
    DAI M, WANG Y J, SCHIAVONE P. Integral-type stress boundary condition in the complete Gurtin-Murdoch surface model with accompanying complex variable representation[J]. Journal of Elasticity, 2019, 134(2): 235-241. doi: 10.1007/s10659-018-9695-0
    [27]
    SAVIN G N. Stress concentration around holes[J]. Journal of the Royal Aeronautical Society, 1961, 65(611): 772.
    [28]
    MILLER R E, SHENOY V B. Size-dependent elastic properties of nanosized structural elements[J]. Nanotechnology, 2000, 11(3): 139-147. doi: 10.1088/0957-4484/11/3/301
    [29]
    ZHANG R, TANG J Y, QIU J, et al. Role of interface tension in the thermoelastic analysis of inclusions: unified formulation and closed-form results[J]. Journal of Thermal Stresses, 2024, 47(2): 240-249. doi: 10.1080/01495739.2023.2256813
  • 加载中

Catalog

    通讯作者: 陈斌, bchen63@163.com
    • 1. 

      沈阳化工大学材料科学与工程学院 沈阳 110142

    1. 本站搜索
    2. 百度学术搜索
    3. 万方数据库搜索
    4. CNKI搜索

    Figures(6)

    Article Metrics

    Article views (86) PDF downloads(15) Cited by()
    Proportional views
    Related

    /

    DownLoad:  Full-Size Img  PowerPoint
    Return
    Return