Volume 47 Issue 1
Jan.  2026
Turn off MathJax
Article Contents
YANG Feng, XIAO Min, YANG Zhengwu, DUAN Daifeng, YANG Xinsong, CAO Jinde. Pattern Evolution in a Predator-Prey System Driven by Cross-Diffusion and Double Allee Effects[J]. Applied Mathematics and Mechanics, 2026, 47(1): 90-100. doi: 10.21656/1000-0887.460002
Citation: YANG Feng, XIAO Min, YANG Zhengwu, DUAN Daifeng, YANG Xinsong, CAO Jinde. Pattern Evolution in a Predator-Prey System Driven by Cross-Diffusion and Double Allee Effects[J]. Applied Mathematics and Mechanics, 2026, 47(1): 90-100. doi: 10.21656/1000-0887.460002

Pattern Evolution in a Predator-Prey System Driven by Cross-Diffusion and Double Allee Effects

doi: 10.21656/1000-0887.460002
  • Received Date: 2025-01-03
  • Rev Recd Date: 2025-02-24
  • Publish Date: 2026-01-01
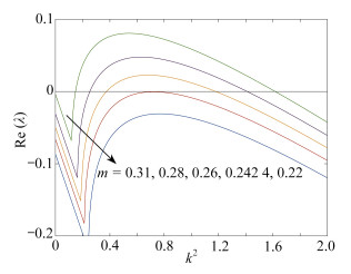
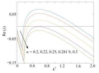
  • The Holling- Ⅱ functional responses and an improved Leslie-Gower term were considered to establish a cross-diffusion predator-prey model with double Allee effects. The existence and stability of positive equilibrium points were analyzed in the absence of diffusion to provide conditions for Turing instability under the diffusion effects. The influential mechanisms of the double Allee effects on the pattern formation, the structural changes, and the evolutionary speed was mainly investigated. The findings reveal that, in stable diffusion-driven systems, the Allee effects can induce pattern formation; conversely, in unstable systems, the Allee effects can lead to structural changes in patterns. Additionally, the time required for the system to reach stable homogeneous and mixed patterns varies with different Allee effects coefficients, indicating that the Allee effects can significantly alter the evolutionary speed of patterns. Therefore, the double Allee effects plays a crucial role in the formation and evolution of Turing patterns in predator-prey systems.
  • (Contributed by CAO Jinde, M. AMM Editorial Board)
  • loading
  • [1]
    MUIR E J, LAJEUNESSE M J, KRAMERA M. The magnitude of Allee effects varies across Allee mechanisms, but not taxonomic groups[J]. Oikos, 2024, 2024(7): e10386. doi: 10.1111/oik.10386
    [2]
    AKHTAR P, KARMAKAR S, SAHOO D, et al. Dynamical analysis of a prey-predator model in toxic habitat with weak Allee effect and additional food[J]. International Journal of Dynamics and Control, 2024, 12(11): 3963-3986. doi: 10.1007/s40435-024-01473-w
    [3]
    刘冠琦, 王玉文, 史峻平. 具有强Allee效应的半线性椭圆方程正解的存在性和非存在性[J]. 应用数学和力学, 2009, 30(11): 1374-1380. doi: 10.3879/j.issn.1000-0887.2009.11.012

    LIU Guanqi, WANG Yuwen, SHI Junping. Existence and nonexistence of positive solutions of semilinear elliptic equation with inhomogeneous strong Allee effect[J]. Applied Mathematics and Mechanics, 2009, 30(11): 1374-1380. (in Chinese) doi: 10.3879/j.issn.1000-0887.2009.11.012
    [4]
    NAIK P A, JAVAID Y, AHMED R, et al. Stability and bifurcation analysis of a population dynamic model with Allee effect via piecewise constant argument method[J]. Journal of Applied Mathematics and Computing, 2024, 70(5): 4189-4218. doi: 10.1007/s12190-024-02119-y
    [5]
    VOLTERRA V. Variations and fluctuations of the number of individuals in animal species living together[J]. ICES Journal of Marine Science, 1928, 3(1): 3-51. doi: 10.1093/icesjms/3.1.3
    [6]
    XUE Y. Analysis of a prey-predator system incorporating the additive Allee effect and intraspecific cooperation[J]. AIMS Mathematics, 2024, 9(1): 1273-1290. doi: 10.3934/math.2024063
    [7]
    KONDO M, ONITSUKA M. Ulam type stability for Von Bertalanffy growth model with Allee effect[J]. Mathematical Biosciences and Engineering, 2024, 21(3): 4698-4723. doi: 10.3934/mbe.2024206
    [8]
    ZHU Z, CHEN Y, CHEN F, et al. Complex dynamics of a predator-prey model with opportunistic predator and weak Allee effect in prey[J]. Journal of Biological Dynamics, 2023, 17(1): 2225545. doi: 10.1080/17513758.2023.2225545
    [9]
    WEI Z, CHEN F. Dynamics of a delayed predator-prey model with prey refuge, Allee effect and fear effect[J]. International Journal of Bifurcation and Chaos, 2023, 33(3): 2350036. doi: 10.1142/S0218127423500360
    [10]
    SAHOO K, SAHOO B. Crucial impact of component Allee effect in predator-prey system[J]. Journal of Physics A: Mathematical and Theoretical, 2024, 57(21): 215601. doi: 10.1088/1751-8121/ad43ca
    [11]
    覃文杰, 关海艳, 王培培, 等. 基于Allee效应诱导的Filippov生态系统的动力学行为研究[J]. 应用数学和力学, 2020, 41(4): 438-447. doi: 10.21656/1000-0887.400169

    QIN Wenjie, GUAN Haiyan, WANG Peipei, et al. Dynamic behaviors of filippov ecosystems induced by Allee effects[J]. Applied Mathematics and Mechanics, 2020, 41(4): 438-447. (in Chinese) doi: 10.21656/1000-0887.400169
    [12]
    ZU J, MIMURA M. The impact of Allee effect on a predator-prey system with Holling type Ⅱ functional response[J]. Applied Mathematics and Computation, 2010, 217(7): 3542-3556. doi: 10.1016/j.amc.2010.09.029
    [13]
    GAIKO V A, VUIK C. Global dynamics in the Leslie-Gower model with the Allee effect[J]. International Journal of Bifurcation and Chaos, 2018, 28(12): 1850151. doi: 10.1142/S0218127418501511
    [14]
    SARANGI B P, RAW S N. Dynamics of a spatially explicit eco-epidemic model with double Allee effect[J]. Mathematics and Computers in Simulation, 2023, 206: 241-263. doi: 10.1016/j.matcom.2022.11.004
    [15]
    WANG F, YANG R, ZHANG X. Turing patterns in a predator-prey model with double Allee effect[J]. Mathematics and Computers in Simulation, 2024, 220: 170-191. doi: 10.1016/j.matcom.2024.01.015
    [16]
    TURING A M. The chemical basis of morphogenesis[J]. Philosophical Transactions of the Royal Society of London, Series B: Biological Sciences, 1952, 237: 37-72.
    [17]
    TORCICOLLO I, VITIELLO M. Turing instability and spatial pattern formation in a model of urbancrime[J]. Mathematics, 2024, 12(7): 1097. doi: 10.3390/math12071097
    [18]
    宁利中, 宁碧波, 胡彪, 等. 具有水平流动的对流斑图成长和动力学特性[J]. 应用数学和力学, 2020, 41(10): 1146-1156. doi: 10.21656/1000-0887.410104

    NING Lizhong, NING Bibo, HU Biao, et al. Growth and dynamics of convection patterns with horizontal flow[J]. Applied Mathematics and Mechanics, 2020, 41(10): 1146-1156. (in Chinese) doi: 10.21656/1000-0887.410104
    [19]
    ZHOU J, YE Y, ARENAS A, et al. Pattern formation and bifurcation analysis of delay induced fractional-order epidemic spreading on networks[J]. Chaos, Solitons & Fractals, 2023, 174: 113805.
    [20]
    WANG J L, HAN Y X, CHEN Q T, et al. Numerical simulation and theoretical analysis of pattern dynamics for the fractional-in-space Schnakenberg model[J]. Frontiers in Physics, 2024, 12: 1452077. doi: 10.3389/fphy.2024.1452077
    [21]
    LI W, LI Y, YANG R. Spatial patterns of a reaction-diffusion population system with cross-diffusion and habitat complexity[J]. International Journal of Biomathematics, 2025, 18(8): 2450038. DOI: 10.1142/s1793524524500384.
    [22]
    柳文清, 陈清婉. 捕食者食饵均染病的入侵反应扩散捕食系统中扩散的作用[J]. 应用数学和力学, 2019, 40(3): 321-331. doi: 10.21656/1000-0887.390100

    LIU Wenqing, CHEN Qingwan. Influence of diffusion on an invasion-diffusion prey-predator model with disease infection in both populations[J]. Applied Mathematics and Mechanics, 2019, 40(3): 321-331. (in Chinese) doi: 10.21656/1000-0887.390100
    [23]
    WEI J, LIU B. Coexistence in a competition-diffusion-advection system with equal amount of total resources[J]. Mathematical Biosciences and Engineering, 2021, 18(4): 3543-3558. doi: 10.3934/mbe.2021178
    [24]
    WANG J, ZHENG H. Analysis on steady states of a competition system with nonlinear diffusion terms[J]. Acta Applicandae Mathematicae, 2021, 171(1): 26. doi: 10.1007/s10440-021-00393-7
    [25]
    LI L, LI X. The spatiotemporal dynamics of a diffusive predator-prey model with double Allee effect[J]. AIMS Mathematics, 2024, 9(10): 26902-26915. doi: 10.3934/math.20241309
    [26]
    祖力, 黄冬冬, 柳扬. 捕食者和食饵均带有扩散的随机捕食-食饵模型动力学分析[J]. 应用数学和力学, 2017, 38(3): 355-368. doi: 10.21656/1000-0887.370051

    ZU Li, HUANG Dongdong, LIU Yang. Dynamics of dual-dispersal predator-prey systems under stochastic perturbations[J]. Applied Mathematics and Mechanics, 2017, 38(3): 355-368. (in Chinese) doi: 10.21656/1000-0887.370051
    [27]
    JANA D, BATABYAL S, LAKSHMANAN M. Self-diffusion-driven pattern formation in prey-predator system with complex habitat under fear effect[J]. The European Physical Journal Plus, 2020, 135(11): 884. doi: 10.1140/epjp/s13360-020-00897-5
    [28]
    SUN G Q, JIN Z, LIU Q X, et al. Pattern formation induced by cross-diffusion in a predator-prey system[J]. Chinese Physics B, 2008, 17(11): 3936-3941. doi: 10.1088/1674-1056/17/11/003
    [29]
    WANG F, YANG R. Spatial pattern formation driven by the cross-diffusion in a predator-prey model with Holling type functional response[J]. Chaos, Solitons & Fractals, 2023, 174: 113890.
    [30]
    CAI Y, ZHAO C, WANG W, et al. Dynamics of a Leslie-Gower predator-prey model with additive Allee effect[J]. Applied Mathematical Modelling, 2015, 39(7): 2092-2106. doi: 10.1016/j.apm.2014.09.038
  • 加载中

Catalog

    通讯作者: 陈斌, bchen63@163.com
    • 1. 

      沈阳化工大学材料科学与工程学院 沈阳 110142

    1. 本站搜索
    2. 百度学术搜索
    3. 万方数据库搜索
    4. CNKI搜索

    Figures(6)

    Article Metrics

    Article views (88) PDF downloads(17) Cited by()
    Proportional views
    Related

    /

    DownLoad:  Full-Size Img  PowerPoint
    Return
    Return