• Scopus收录
  • CSCD来源期刊
  • 中文核心期刊

留言板

尊敬的读者、作者、审稿人, 关于本刊的投稿、审稿、编辑和出版的任何问题, 您可以本页添加留言。我们将尽快给您答复。谢谢您的支持!

姓名
邮箱
手机号码
标题
留言内容
验证码

2022年  第43卷  第3期

显示方式:
流体力学
周期排列抛物形系列沟槽引起的线性水波Bragg共振及共振相位上移
潘俊杰, 刘焕文, 李长江
2022, 43(3): 237-254. doi: 10.21656/1000-0887.420123
摘要(1572) HTML (719) PDF(145)
摘要:

该文解析研究了有限个周期排列的抛物形沟槽激发的水波Bragg共振。首先, 利用变量替换, 先将系数为隐函数的修正缓坡方程(MMSE)转化为系数为显函数的显式方程。然后,构造了修正缓坡方程的Frobenius级数解, 并给出了级数解的收敛条件。最后,利用质量守恒的耦合条件, 建立了反射系数的解析公式。根据反射系数的解析公式, 分析了沟槽个数、沟槽深度与宽度对Bragg共振峰值、共振相位和共振带宽的影响。当沟槽深度和宽度固定而沟槽个数增加时, 共振峰值逐渐增大并趋向于1, 而共振带宽则逐渐变窄并趋于固定值。当沟槽个数和宽度固定时, Bragg共振峰值随沟槽深度增加而增加。当沟槽个数和深度固定时, Bragg共振反射峰值随沟槽宽度增加而先增后减, 预示了沟槽存在某个宽度使得共振峰值达到最大, 为Bragg共振反射针对沟槽宽度的优化奠定了理论基础。特别地, 前不久在有限个周期排列旋轮线形沟槽上刚刚观察到的Bragg共振反射峰值相位的上移现象, 再次在该文考虑的抛物形沟槽上得到确认, 表明针对有限周期排列的沟槽地形, Bragg共振反射峰值的相位上移是一个普遍现象。也因此说明, 凡是正弦沙纹和周期人工沙坝所激发的Bragg共振反射, 其主振相位将会下移, 而凡是周期系列沟槽所激发的Bragg共振反射, 无论沟槽形状如何, 其主振相位都将上移。另外,我们从Bragg共振的原始定义出发,定量地解释了相位上移发生的数学机理。

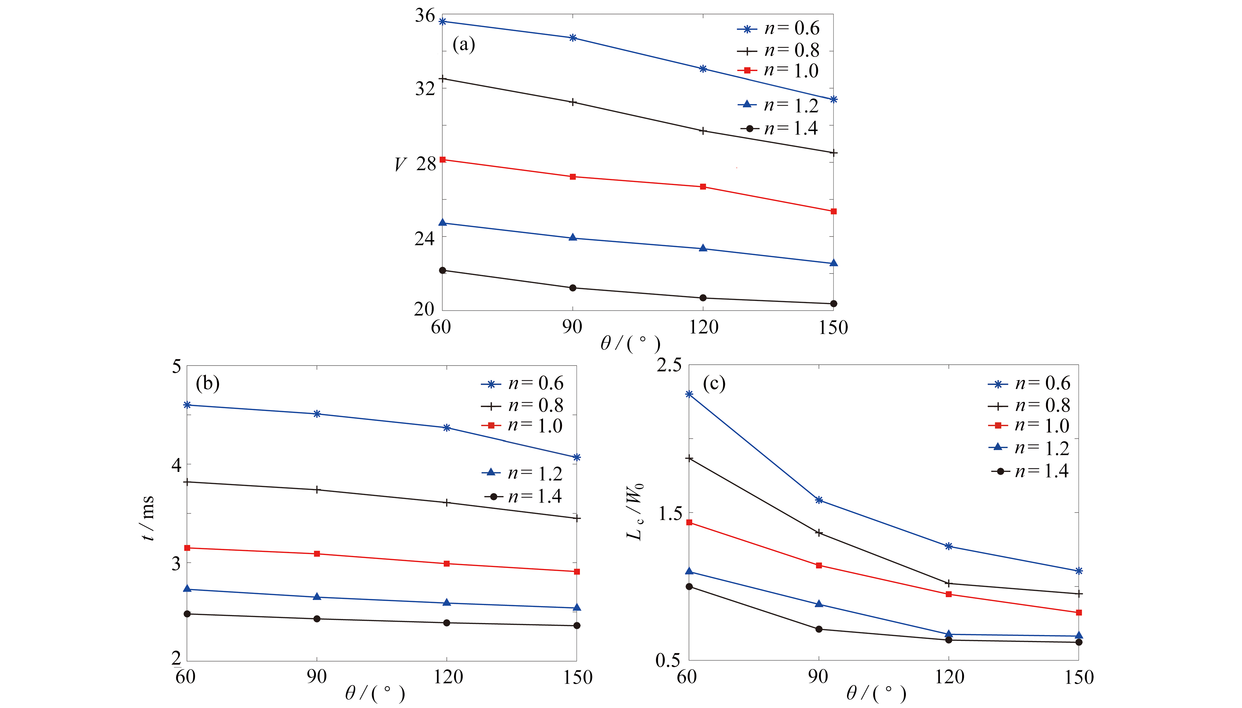
T型微通道内液滴在幂律流体中运动机理的格子Boltzmann方法研究
刘浩, 娄钦, 黄一帆
2022, 43(3): 255-271. doi: 10.21656/1000-0887.420182
摘要(1309) HTML (639) PDF(80)
摘要:

采用非Newton不可压两相流格子Boltzmann模型研究了T型微通道内Newton液滴在非Newton幂律流体中的运动过程。研究了非Newton流体幂律指数n、主管道毛细数Ca、两相流量比Q、两相黏度比M以及主管道壁面润湿性θ对液滴在T型微通道内的形成尺寸、形成时间和变形参数(DI)的影响。研究结果表明:首先,主管道流体幂律指数n从0.4增加到1.6时,液滴的形成尺寸近似呈线性减小,而液滴的形成时间和变形参数先快速减小,然后缓慢减小;其次,黏度比对液滴形成尺寸、液滴形成以及变形参数的影响与幂律指数的影响基本一致;再者,随着Ca和主管道壁面润湿性的增加,形成液滴的尺寸近似呈线性减小,形成液滴的时间和变形参数先快速减小然后缓慢减小,且减小趋势随幂律指数的增加而减缓;最后,研究结果还表明主管道和子管道的流量比Q越大,液滴形成时间越长,液滴形成尺寸和变形参数越小。

Oldroyd-B流体绕拉伸楔形体的非稳态滑移流动与传热分析
白羽, 方慧灵, 张艳
2022, 43(3): 272-280. doi: 10.21656/1000-0887.420197
摘要(1228) HTML (506) PDF(57)
摘要:

研究了在速度滑移现象存在下,上随体Oldroyd-B流体绕加热的楔形体的非稳态流动。采用松弛-延迟热通量模型,模拟了传热过程和热延迟时间对传热的影响,通过考虑浮升力、热辐射和对流换热边界条件,进一步研究了流动及传热特性。利用同伦分析方法获得常微分方程组的近似解析解,发现滑移参数的增大可以促进流体的流动,以及流体的温度随热辐射参数增大而升高。此外还发现,温度场在热松弛时间和热延迟时间中出现相反的变化趋势。

固体力学
悬链式单点系泊浮筒主尺度可行域研究
孙强, 彭东升, 张义明, 董庆辉, 岳前进, 吴峰, 阎军, 钟万勰
2022, 43(3): 281-289. doi: 10.21656/1000-0887.420115
摘要(1634) HTML (612) PDF(57)
摘要:

为了能够设计合理的单点浮筒主尺度,归纳提出了悬链式单点浮筒5条主要设计原则。基于实际工程经验给出了浮筒重量的母型预估方法,探讨储备浮力,提出等干舷方案集,基于静力学原理和水动力分析探讨了浮筒的自由漂浮稳性及浮筒的运动响应,梳理了垂荡及摇摆随浮筒直径的变化规律。以25 m和100 m水深的浮筒直径上限和下限为边界建立可行域,分别以三个实际项目采纳的浮筒直径和45 m水深下单点浮筒直径的可行范围为参考,开展浮筒直径可行域的验证。研究表明:环境条件等不同因素也会引起相同水深下浮筒直径可行域的变化,因此在可行域的实际应用中应进一步考虑一定的偏差裕量。该文的可行域研究对于悬链式单点浮筒的主尺度确定具有积极的指导意义。

基于GoogLeNet的混凝土细观模型应力-应变曲线预测
周杰, 赵婷婷, 陈青青, 王志勇, 王志华
2022, 43(3): 290-299. doi: 10.21656/1000-0887.420136
摘要(1959) HTML (965) PDF(182)
摘要:

非均质复合材料的宏观力学性能往往取决于细观组分的分布方式和力学性能,但是建立明确的关系表达式极其困难。为了应对这一挑战,以混凝土为研究对象,提出了一种基于深度学习的策略,能够高效、准确地通过细观模型图像信息获取应力-应变曲线。首先,使用基于卷积神经网络(convolutional neural network,CNN)的GoogLeNet模型进行图像信息识别和提取,并针对应力-应变曲线的复杂性特点,进行了数据预处理操作,并且设计了相应的多任务损失函数。数据集中的细观模型图像采用基于Monte-Carlo的随机骨料模型生成,并且使用数值模拟试验获取对应细观模型的单轴压缩应力-应变曲线。最后,通过对神经网络的训练和测试评估了所提出方法的可行性。结果表明,GoogLeNet模型训练效率和预测精度均优于AlexNet和ResNet模型,具有良好的泛化能力和鲁棒性。

基于FLAC-3D砂岩块体超低摩擦鞭梢效应研究
李利萍, 唐垒, 潘一山, 邰英楼, 张海涛
2022, 43(3): 300-311. doi: 10.21656/1000-0887.420104
摘要(1071) HTML (483) PDF(41)
摘要:

随着矿山开采深度的持续增加,深部岩体力学行为呈现出新形式、新特征。广泛应用于建筑行业的鞭梢效应与深部岩体部分动力响应现象极为相似。故从结构特征出发,以砂岩块体为研究对象,工作块体(水平冲击作用块体)水平位移及加速度为参考指标,通过试验及FLAC-3D数值模拟计算的方式,探究工作块体“位置”及“尺寸”对其超低摩擦鞭梢效应影响机制。研究表明:系统产生超低摩擦鞭梢效应的难易程度与工作块体尺寸密切相关,模拟中工作块体边长为标准块体(边长100 mm立方体)边长2/5时,系统结构诱发超低摩擦鞭梢效应尤其显著;在一定范围内,工作块体所处位置距扰动源越远,超低摩擦鞭梢效应强度越大,当超过这一范围时,则会出现减小趋势,即超低摩擦鞭梢效应强度随工作块体与震源块体间距离呈先增后减关系。

刚性挡墙绕底转动时的非极限主动土压力数值解
马明, 李明东, 郎钞棚, 张京伍, 万愉快
2022, 43(3): 312-321. doi: 10.21656/1000-0887.420178
摘要(1007) HTML (634) PDF(67)
摘要:

刚性挡土墙在下部受限时往往呈现绕墙底转动的位移模式,该模式下不同深度土体所处非极限状态不同,给土压力计算带来了困难。在已有研究基础上,推导了适用于绕墙底转动模式下土体强度参数与墙体位移的函数关系;假定墙后土体形成圆弧形土拱,滑裂面为不确定的曲面,将墙后土体按小步长水平分层,构建了绕墙底转动模式下非极限主动土压力的数值迭代格式,给出了该模式下非极限主动土压力的数值计算方法。该数值解既能确定墙后滑裂面的形状,又能计算非极限主动土压力的强度、合力及作用点。将数值解与模型试验结果、现有解析解进行了对比,发现墙后滑裂面为一曲面,该解计算结果与模型试验结果的契合度比现有解析解更高。这提供了刚性挡土墙绕底转动时非极限主动土压力的更精确解答,对这类挡土墙设计具有现实指导价值。

应用数学
拟凸函数的近似次微分及其在多目标优化问题中的应用
史小波, 高英
2022, 43(3): 322-329. doi: 10.21656/1000-0887.420275
摘要(1384) HTML (595) PDF(111)
摘要:

针对拟凸函数提出一类新的近似次微分,研究其性质,并将近似次微分应用到拟凸多目标优化问题近似解的刻画中。首先,对已有的近似次微分进行改进,得到拟凸函数新的近似次微分,并给出其与已有次微分之间的关系及一系列性质。随后,利用新的近似次微分给出拟凸多目标优化问题近似有效解、近似真有效解的最优性条件。

求解PageRank问题的重启GMRES修正的多分裂迭代法
肖文可, 陈星玎
2022, 43(3): 330-340. doi: 10.21656/1000-0887.420210
摘要(1112) HTML (570) PDF(87)
摘要:

PageRank算法已经成为网络搜索引擎的核心技术。针对PageRank问题导出的线性方程组,首先将Krylov子空间方法中的重启GMRES(generalized minimal residual)方法与多分裂迭代(multi-splitting iteration,MSI)方法相结合,提出了一种重启GMRES修正的多分裂迭代法;然后,给出了该算法的详细计算流程和收敛性分析;最后,通过数值实验验证了该算法的有效性。

一类非线性时间分数阶扩散方程反问题的变分型正则化
柳冕, 程浩, 石成鑫
2022, 43(3): 341-352. doi: 10.21656/1000-0887.420168
摘要(1260) HTML (611) PDF(122)
摘要:

考虑了一类二维非线性时间分数阶扩散方程,并从最终位置获取的测量数据来反演物质在u(0, y, t)处的物理信息。这个问题是严重不适定的,即问题的解并不连续依赖于测量数据,因此提出了变分型正则化方法来稳定求解该问题。给出了精确解与正则近似解之间的误差估计,数值算例验证了该方法的有效性。

具有空变系数源项的半线性Moore-Gibson-Thompson方程全局解的非存在性
欧阳柏平
2022, 43(3): 353-362. doi: 10.21656/1000-0887.420094
摘要(1350) HTML (647) PDF(71)
摘要:

研究了具有空变系数源项的半线性Moore-Gibson-Thompson(MGT)方程Cauchy问题解的爆破现象。在次临界情形下,通过选择合适的能量泛函和测试函数,运用迭代方法和一些微分不等式技巧,得到了其Cauchy问题解的非全局存在性。进一步导出了其Cauchy问题解的生命跨度的上界估计。