• Scopus收录
  • CSCD来源期刊
  • 中文核心期刊

留言板

尊敬的读者、作者、审稿人, 关于本刊的投稿、审稿、编辑和出版的任何问题, 您可以本页添加留言。我们将尽快给您答复。谢谢您的支持!

姓名
邮箱
手机号码
标题
留言内容
验证码

当期目录

2026年 第47卷  第3期

主编按语
AI赋能结构设计
卢天健, 孟晗, 姜永烽
2026, 47(3): 257-262. doi: 10.21656/1000-0887.470062
摘要(299) HTML(94) PDF(146)
摘要:
人工智能(artificial intelligence, AI)的快速发展,正在重塑工程结构设计的研究图景. 在力学长期奠定的理论框架之上,大语言模型(large language model, LLM)等新一代AI技术,为结构设计提供了新的认知工具与方法视角. 随着结构形态空间的持续拓展,以及多尺度与多物理场耦合问题的不断涌现,依赖经验积累与局部试探的传统设计路径正逐渐逼近复杂性边界. 在这样的背景下,AI不仅为高维设计空间探索、知识表达与跨学科融合提供了新的可能,也在拓展人类理解复杂系统与开展决策分析的方式. 面向未来,结构设计有望在AI推动下形成“设计-制造-测试”闭环体系、多物理场统一设计范式和智能结构系统等新的发展路径,从而为结构科学在新的时代背景下持续拓展认知边界提供重要契机.
动力学与控制
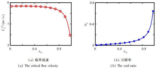
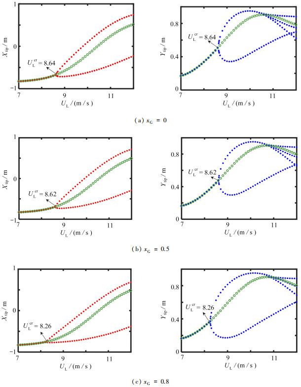
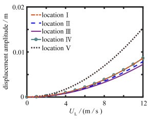
气液两相流下L型管道非线性动力学与抑振设计研究
贾程, 邢浩然, 王强, 杨宝山, 马越, 李民强, 刘胡杨, 王磊恒, 代胡亮
2026, 47(3): 263-272. doi: 10.21656/1000-0887.460098
摘要(173) HTML(71) PDF(121)
摘要:
本文考虑均匀气泡流两相流动特性,采用绝对节点坐标描述法,基于Euler-Lagrange方程,建立了输送两相流体时L型悬臂管道的非线性动力学理论模型. 首先,将基于理论模型计算得到的静变形结果与有限元法进行了对比验证,并分析了气体体积分数对管道静变形和稳定性的影响. 然后,研究了在不同空泡份额下,管道随液体流速增大发生的非线性动力学行为,着重研究了空泡份额对管道动态分岔特性的影响. 最后,提出了抑制管道振动的最优支承设计,使得L型管道振动位移和应变幅值达到最小.
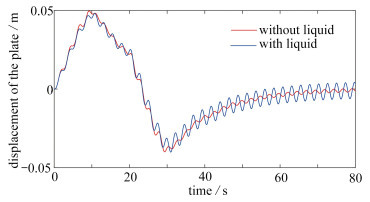
大型复杂航天器刚-液-柔耦合动力学研究
闫森, 岳宝增, 马伯乐
2026, 47(3): 273-287. doi: 10.21656/1000-0887.460040
摘要(155) HTML(75) PDF(21)
摘要:
新一代航天器通常需要携带复杂的大尺寸柔性太阳帆板和大容量的液体燃料贮箱,以完成长时间及复杂的在轨飞行任务. 航天器在机动和控制过程中会产生刚体运动、液体晃动及柔性附件振动之间的非线性耦合问题. 该文基于Kirchhoff-Love板理论和有限元分析方法计算了柔性帆板振动,采用势函数理论计算了液体燃料晃动,借助Lagrange方法推导出刚-液-柔耦合系统的动力学模型,揭示了主刚体运动、液体晃动和柔性附件振动之间的耦合动力学特性. 通过与已发表的实验和分析结果的比较,验证了所提出的刚-液-柔耦合航天器建模方法的有效性. 考虑含有复杂大尺寸柔性太阳帆板的充液航天器耦合分析结果表明,有限元方法能够准确描述柔性附件高频模态的动态响应. 同时,由于该类大型复杂空间结构部件的低频特性,与液体燃料晃动的耦合问题也更加突出.
基于动力吸振原理的新型组合吸振器设计及直升机应用
金坤健, 符烁, 熊波, 周如传, 喻国瑞
2026, 47(3): 288-300. doi: 10.21656/1000-0887.460109
摘要(138) HTML(70) PDF(25)
摘要:
直升机旋翼系统的多阶振动载荷是引发机体振动的主要根源. 传统单向吸振器难以兼顾挥舞与摆振方向的多向减振需求,为了同时减小直升机旋翼系统的5阶挥舞载荷和6阶摆振载荷,达到降低全机垂向和面内振动水平的目的,提出并设计了一种直升机桨叶组合吸振器. 本文首先通过地面台架的旋转结构设计,开展了组合吸振器减振性能试验;其次建立了组合吸振器的理论分析模型;最后以旋翼系统振动响应为考核指标,开展组合吸振器减振性能分析. 研究结果表明:旋翼系统加装组合吸振器后,在旋翼系统仅增重7.4%的条件下,旋翼6阶摆振方向振动响应可以降低76.1%,旋翼5阶挥舞方向振动响应可以降低53%,综合减振效率可达63.5%.
流体力学
直通道仿生微流控芯片中微塑料颗粒分离特性研究
薛景天, 胡箫, 黎俊杰, 林雍杰, 黄英杰
2026, 47(3): 301-312. doi: 10.21656/1000-0887.460120
摘要(173) HTML(89) PDF(31)
摘要:
为优化一种高效仿生微流控芯片,实现微塑料等微米级颗粒的高效、高通量分离,采用计算流体动力学与离散元耦合(CFD-DEM)的数值方法,对一种仿生微流控过滤结构的内部流场及颗粒分离机理进行了系统研究. 研究总结了4种有趣的颗粒分离机理:低Reynolds数下,颗粒通过惯性聚焦效应进行分离;高Reynolds数下,颗粒依靠瓣膜前缘涡旋的捕获作用和通道末端瓣膜间的回流作用形成3种分离机理. 最后,基于机理分析对芯片进行结构优化,通过增大副通道截面长度,实现了颗粒分离效率7.9%的最高提升,主通道流量占比平均降低7.2%,并使干净滤液产出最高增加9.4%. 这些发现为高效仿生过滤膜的优化设计提供了理论支撑.
Dynamics of Nonlinear Rossby Waves With the Derivative-Expansion Method
TIAN Hongxiao, ZHANG Ruigang, LIU Quansheng
2026, 47(3): 313-328. doi: 10.21656/1000-0887.460159
摘要(145) HTML(88) PDF(25)
摘要:
Nonlinear Rossby waves are used to describe typical wave phenomena in large-scale atmosphere and ocean. Owing to the nonlinearity of the involved problems, the weakly nonlinear method, ie the derivative expansion method, was mainly used to investigate Rossby waves under the combined effects of the generalized β-effect and the basic flow effect. The derivative expansion method has the advantage of capturing the multi-scale characteristics of wave processes simultaneously. In the case where the perturbation expansion is independent of secular terms, the nonlinear equations describing the amplitude evolution of nonlinear waves were derived, such as the Korteweg-de Vries equation, the Boussinesq equation and Zakharov-Kuznetsov equation. Both qualitative and quantitative analyses indicate that the generalized β-effect is the key factor inducing the evolution of Rossby solitary waves.
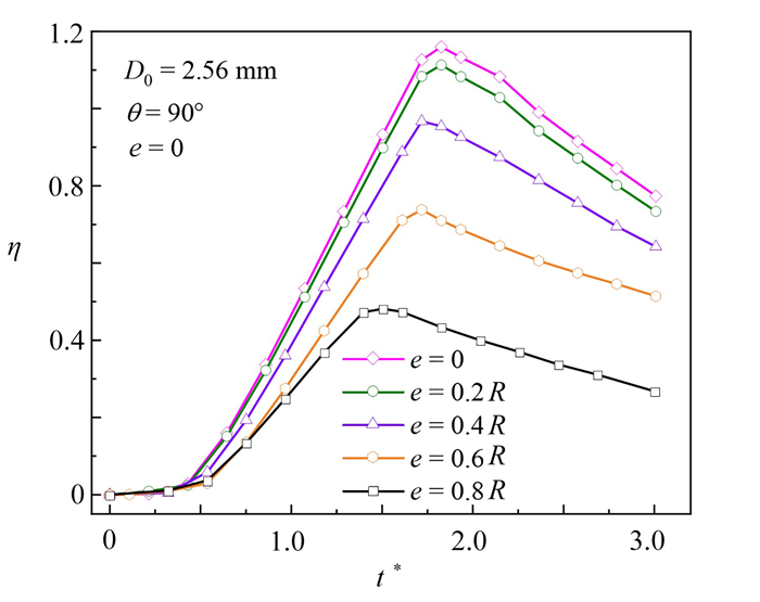
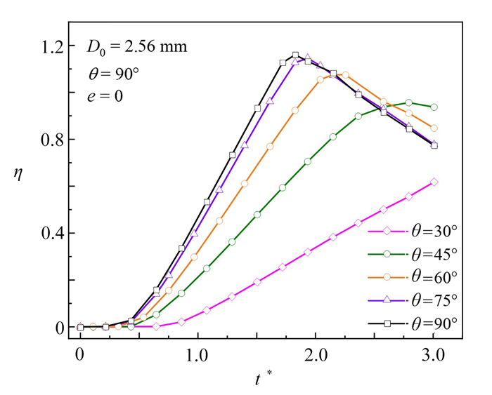
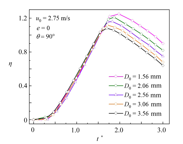
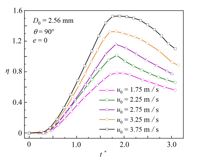
液滴撞击单根细丝分散特性的数值模拟研究
刘金鹏, 丰生杰, 张文博, 刘子雄
2026, 47(3): 329-339. doi: 10.21656/1000-0887.460022
摘要(224) HTML(100) PDF(29)
摘要:
超重力反应器因其优异的传质能力,在碳捕集过程中发挥着至关重要的作用. 金属网填料作为核心结构,旨在增强传质性能. 为深入理解其背后的分散机理,通过数值模拟,应用流体体积法,探讨了液滴撞击单根丝的过程. 系统地分析了初始速度(u0)、初始直径(D0)、撞击偏心距离(e)和撞击角度(θ)对液滴撞击单根丝后的变形演化行为及分散特性的影响. 中心或垂直撞击可分为四个主要阶段:分裂、丝下融合、拉伸和断裂脱离. 而在偏心和非垂直撞击过程中,还观察到异步断裂脱离、滑行分裂和斜向断裂脱离阶段. 随后,引入无量纲时间(t*)和气液界面面积增加率(η)对撞击后分散特性进行了定量分析. 研究表明,增大初始速度、减小液滴直径、最小化撞击偏心距离以及增大撞击角度均有助于提高分散性能. 基于此,提出了液滴最大气液界面面积的关联式,获得影响因素重要性排序为u0>θ>e>D0.
固体力学
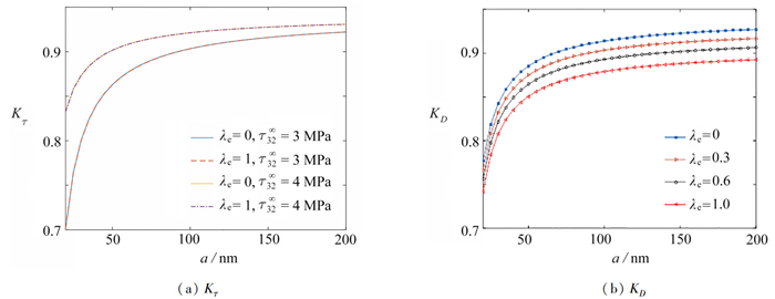
电半渗透下正n边形纳米孔带s条纳米裂纹的表面效应
刘欣宇, 武志林, 刘官厅
2026, 47(3): 340-353. doi: 10.21656/1000-0887.450328
摘要(215) HTML(116) PDF(20)
摘要:
研究了具有表面效应的电半渗透下正n边形纳米孔在远场反平面机械载荷和面内电载荷作用下的断裂行为. 根据Gurtin-Murdoch表面模型理论,采用保角映射技术对应力、电位移场进行解析,得到了裂纹尖端应力强度因子(SIF)和电位移强度因子(EDIF)的解析解. 构造了一个新的保角映射,从正n边形纳米孔发出的s条纳米裂纹的外部到圆形纳米孔的内部. 结果表明,SIF和EDIF均受到远场机械载荷和电载荷耦合的影响,且正n边形边长越小,表面效应的影响越明显.
基于SISSO算法的混凝土细观模型压缩行为分析
白宇飞, 张新宇, 亓晓鹏, 张煜航, 王志勇
2026, 47(3): 354-366. doi: 10.21656/1000-0887.450326
摘要(300) HTML(74) PDF(38)
摘要:
混凝土在外载荷作用下的力学性能受细观组分特性影响,其典型非均质性使得传统实验或数值方法难以揭示细观结构对宏观力学性能的影响规律.为有效分析混凝土骨料-砂浆-孔隙三相细观模型在单轴压缩下的峰值应力,使用PYTHON和ABAQUS构建混凝土细观模型的二次开发框架,生成了包含不同骨料体积分数、孔隙率和受压峰值应力的模型数据集.基于固定描述符压缩筛选(sure independence screening and sparsifying operator, SISSO)的机器学习算法,结合K折交叉验证筛选最优物理描述符,给出了不同骨料体积分数与孔隙率对峰值应力的影响公式.该公式不仅可准确计算目标参数,还具备一定物理意义,能够清晰描述峰值应力的变化趋势.与传统机器学习算法相比,SISSO在保证精度的同时具有计算成本低、可解释性高的明显优势,克服了经典机器学习的“黑盒”局限性,为复合材料的多尺度力学分析提供了新方法.
一维准晶波动方程系数矩阵对称化及其SBP-SAT模拟
刘泰玉, 周月娥, 蒋关希曦, 张剑伟, 孙铖
2026, 47(3): 367-380. doi: 10.21656/1000-0887.450324
摘要(162) PDF(25)
摘要:
研究波在准晶中的传播对深入理解准晶体的独特物理特性具有重要价值,但其数值模拟面临较大挑战.通过对波动方程系数矩阵进行对称化,可以有效整合不同类别的波动方程并降低波传播模拟的难度.研究推导了一维准晶波动方程的系数矩阵对称形式,并应用迎风格式SBP-SAT差分方法对波动方程进行了离散化,同时通过能量法评估了其稳定性.数值仿真结果表明,所提出的离散框架具有较高的整合度、良好的稳定性及较强的拓展性.此外,该方法能够稳定模拟曲线域中的波传播,降低实现成本,显示了波动方程系数矩阵对称化及其离散框架在波传播模拟中的广泛应用前景.
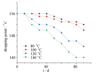
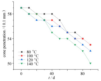
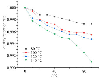
航天器用氟醚类润滑脂老化与寿命预测研究
郭立, 李秀杰, 孙书, 张友义, 肖晓明, 李旭, 杨耀东
2026, 47(3): 381-390. doi: 10.21656/1000-0887.460025
摘要(187) HTML(75) PDF(25)
摘要:
润滑脂老化性能退化对航天器展开机构、运动部件等运行的可靠性至关重要,但目前针对润滑脂的老化对性能影响及寿命预测的研究相对较少,缺少系统的理论指导航天器长寿命润滑脂的应用.选取质量变化率作为老化失效关键指标,通过应用阿伦尼乌斯方程(Arrhenius equation)和时间-温度关系,得到一个基于润滑脂质量保留率的时间-温度等效模型,可预测润滑脂在各种贮存条件下的质量变化.通过监测滴点、锥入度等关键性能指标的变化来评估其老化性能.研究表明,老化对滴点、锥入度性能影响较大,当润滑脂质量损失率达到1%时,预测失效寿命为5.4 a.同时,利用四球摩擦试验研究了润滑脂在不同载荷下对轴承钢GCr15的摩擦性能.结果表明,在较大载荷条件下,老化对润滑脂摩擦因数与磨斑直径的影响更加显著.研究结果及方法为了解润滑脂老化性能退化及寿命预测研究提供了依据,能够为航天器长寿命润滑脂的选择和优化设计提供理论支撑.
封面及目录
封面及目录
2026, 47(3)
摘要(118) PDF(23)
摘要: