• Scopus收录
  • CSCD来源期刊
  • 中文核心期刊

留言板

尊敬的读者、作者、审稿人, 关于本刊的投稿、审稿、编辑和出版的任何问题, 您可以本页添加留言。我们将尽快给您答复。谢谢您的支持!

姓名
邮箱
手机号码
标题
留言内容
验证码

2023年  第44卷  第2期

显示方式:
四川省力学学会学术交流会专题
温差影响下的局部滑移接触行为的研究
杨阳, 王凯模, 沈火明, 王宇星
2023, 44(2): 123-132. doi: 10.21656/1000-0887.430334
摘要(1186) HTML (564) PDF(102)
摘要:

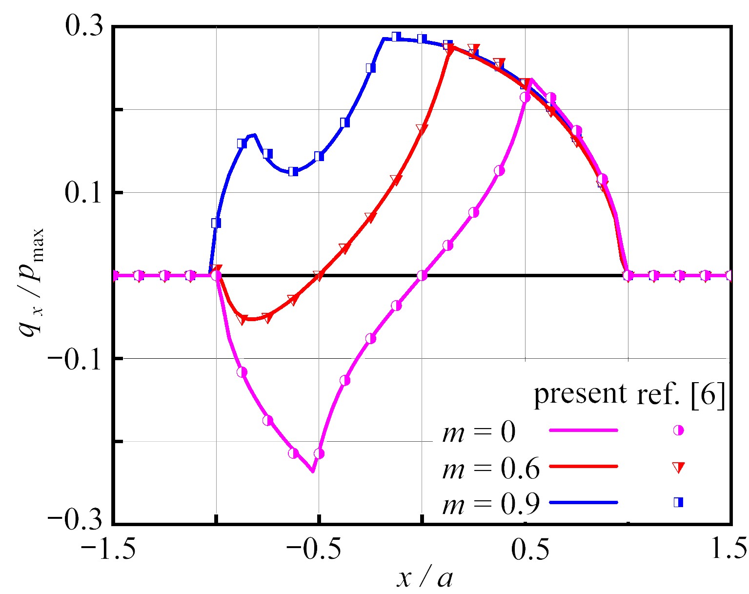
针对不同温度装配件间接触界面的局部滑移问题,建立了三维稳态热弹性局部滑移接触的半解析求解模型。基于热弹性理论与热传导方程,构建了半空间受热流载荷和力载荷作用下的频响函数并建立了相应的影响系数矩阵。借助离散卷积-快速Fourier变换等数学工具,实现了针对高温压头与热弹性半空间局部滑移接触问题的高效求解。接触界面间的热量传递满足Fourier热传导定律,并且黏/滑状态由Coulomb定律确定。基于该半解析模型分析了不同荷载及温差对表面法向压力分布、摩擦力分布、刚体位移及接触区黏/滑演化行为的影响。研究结果表明,当法向荷载和切向荷载一定时,温差的上升会导致接触区域的减小,引起接触面法向压力及摩擦力的峰值增大,并且会显著影响黏着区与滑移区的分布情况。

刚性截面族附加质量系数的面元计算方法及其在燃料组件中的应用
王麒均, 张德春, 李鹏, 王骏
2023, 44(2): 133-140. doi: 10.21656/1000-0887.430292
摘要(1124) HTML (556) PDF(62)
摘要:

基于面元法发展了适用于计算具有任意复杂外形的刚性截面族附加流体质量系数的数值方法,并将其应用到压水堆燃料组件的计算中,分析了1 × 5组件抗震试验中由组件位置偏差所引起的附加质量系数变化规律。结果表明:该方法能解决具有复杂连续边界的刚性截面族附加质量系数计算问题;相较于组件间间隙,围板与组件间隙对质量系数的影响占主导;无论存在何种位置偏差,任意一组件在所有组件和围板上产生的沿假设运动方向与垂直假设运动方向上的附加质量系数之和分别近似为−1和0。

固定-铰接约束柔性管的涡激振动实验研究
朱红钧, 刘文丽, 高岳
2023, 44(2): 141-151. doi: 10.21656/1000-0887.430320
摘要(1226) HTML (543) PDF(62)
摘要:

海洋立管顶部常铰接于浮式平台下方,在海流激励下存在涡激振动响应,潜在疲劳失效的风险。该文采用非介入光学测试方法(高速摄像),对布置于循环水槽中顶部铰接-底部固定的悬链线柔性立管进行了振动响应研究。实验结果表明,立管三个方向被激发的振动模态阶数与主导振动频率均随约化速度的增加而逐渐升高,平面外的最大均方根振幅在模态过渡时有先降后升的变化,与振动模态分支相呼应。流体与立管之间能量传递在不同方向的分布存在一定差异,导致不同步的模态过渡现象。平面内振动存在与平面外振动主导频率吻合的频率,根据其是否主导对应管段的平面内振动,将其分为强耦合和弱耦合两种模式。

杂质气体O2对ZrCo合金吸附性能影响机理的第一性原理研究
赵世祥, 曾祥国, 王云天, 严义刚
2023, 44(2): 152-159. doi: 10.21656/1000-0887.430299
摘要(1071) HTML (461) PDF(51)
摘要:

杂质气体在ZrCo合金表面的吸附行为对其储氢性能具有重要的影响。采用基于赝势平面波法的第一性原理对空气中的O2在ZrCo(110)表面的吸附行为进行了研究。对O2在合金表面所有稳定吸附构型进行吸附能分析以及电荷分析的结果表明:O2吸附的最稳定构型为B3(Zr—Co桥位),在该位点的吸附能为−8.124 eV。该构型的态密度和差分电荷密度的结果表明:O2在ZrCo(110)表面该位点的吸附属于强化学吸附,O—O键发生断裂。O原子与ZrCo(110)表面原子的成键本质为O原子的电子和周围表面原子的电子发生电子轨道重叠,即O原子的2s、2p轨道电子与表面的Zr原子的4p、4d轨道电子和Co原子的3d轨道电子发生了电子轨道重叠,出现了轨道杂化现象。研究结果对后续揭示ZrCo合金储氢材料在杂质气体中的毒化机制具有积极作用。

面内压缩荷载作用下双层微板系统的同步/异步屈曲
张立民, 张波, 张旭, 段宇杭, 沈火明
2023, 44(2): 160-167. doi: 10.21656/1000-0887.430306
摘要(980) HTML (475) PDF(68)
摘要:

采用修正的偶应力理论和双变量高阶剪切变形理论,发展了层间填充弹性介质的双层微板系统在面内压缩荷载作用下的屈曲模型。基于Euler-Lagrange方程推导了系统屈曲的控制微分方程,运用Navier法获得了上下层均为四边简支时系统同步/异步屈曲的解析解。通过数值算例讨论了系统各参数对其屈曲特性的影响。结果表明:系统的异步屈曲特性依赖于材料尺度参数、长宽比和弹性介质模量,而同步屈曲特性仅依赖于前两项,并且异步屈曲荷载高于同步屈曲荷载;弹性介质的Pasternak模量较之于Winkler模量对系统的屈曲特性影响更显著。

基于Green函数分析Euler-Bernoulli双曲梁系统的受迫振动
赵翔, 孟诗瑶
2023, 44(2): 168-177. doi: 10.21656/1000-0887.430298
摘要(1378) HTML (646) PDF(121)
摘要:

双曲梁系统通常出现在许多工程领域。与双直梁系统相比,该系统在噪声和振动控制问题上的效率更高。该文采用经典的Euler-Bernoulli曲梁模型来模拟双曲梁系统,通过Green函数和Laplace变换方法得到双曲梁系统稳态受迫振动的闭合形式解,该解可用于任何边界条件。在数值部分,通过与参考文献中的一些结果进行比较来验证本方案的解。讨论了一些重要的几何和物理参数对振动响应的影响以及弹性层刚度与双曲梁系统之间的相互作用。结果表明,梁的半径趋于无穷大时,双曲梁系统退化为双直梁系统,此外,双曲梁系统也可以简化为一个直梁和一个曲梁的组合形式。

风攻角对某扁平箱梁气动导数及颤振特性的影响
邢文博, 沈火明, 伍波, 廖海黎
2023, 44(2): 178-190. doi: 10.21656/1000-0887.430394
摘要(1069) HTML (577) PDF(72)
摘要:

以南京第四长江大桥扁平箱梁为研究对象,通过节段模型自由振动风洞试验详细测试了模型在不同风攻角下的颤振响应,探讨了系统非稳态及稳态临界振幅随风速的演化规律。首先,基于颤振响应振幅包络,结合Hilbert变换,识别了系统振幅依存的模态阻尼,并初步阐释了颤振形态随风攻角转变的机理。其次,提取了系统在不同风攻角下的模态参数,基于双模态耦合闭合解法,识别了断面在不同风攻角下的非线性颤振导数,研究了关键颤振导数振幅依存性随风攻角变化的规律及对断面颤振形态和特性的潜在影响。最后,通过逐项拆解模态阻尼,深入剖析了风攻角对非耦合及耦合气动阻尼的影响,并阐明了分项阻尼导致系统颤振性能差异性的动力学机理。

基于同伦分析法的FGM输流管非线性频率分析
周杰, 常学平, 李映辉, 邵永波
2023, 44(2): 191-200. doi: 10.21656/1000-0887.430296
摘要(1164) HTML (458) PDF(71)
摘要:

该文基于同伦分析法研究了广义边界条件下含孔隙功能梯度材料(FGM)输流管道的非线性振动。基于FGM的幂律分布规律和Voigt模型来描述具有孔隙的FGM管道的材料特性。基于Euler-Bernoulli梁理论和von Kármán非线性理论,利用Hamilton变分原理,建立了含孔隙功能梯度流体输送管道的动力学控制方程和广义边界条件。采用同伦分析法求解了广义边界条件下的功能梯度流管道的非线性振动特性。数值结果表明:平移弹簧对失稳的临界流速影响不明显,而扭转弹簧则提高了失稳的临界流速,使系统更加稳定;在非线性系统中,黏弹性系数不会改变失稳临界流速;管道长度、幂律指数和孔隙率都会对FGM多孔输流管道的非线性自由振动有明显的影响。

激光增材制造金属材料疲劳寿命研究
廖宇, 钟贵勇, 舒茂盛, 柏林, 江旭来
2023, 44(2): 201-208. doi: 10.21656/1000-0887.430319
摘要(1310) HTML (501) PDF(111)
摘要:

随着军用飞机上越来越多的结构件使用增材制造(AM)技术成形,对增材制造材料和结构疲劳特性的研究就变得十分迫切。为了研究激光增材制造(选区激光熔化成形,SLM)铝合金以及钛合金的疲劳寿命特性,设计了一系列带各种结构细节的模拟试验件,进行常幅谱和随机谱下的试验,统计分析了各组试验的基本可靠性寿命,并得到了可靠度安全寿命曲线。断口分析发现铝合金试验件缺陷较多,存在混合失效特征,而钛合金试验件疲劳分散性较锻件大。

基于竹纤维和钢丝网增强的玄武岩筋混凝土梁抗弯延性试验研究
陈伟, 袁青, 马浩瀚, 朱子充, 覃国辉, 田政
2023, 44(2): 209-219. doi: 10.21656/1000-0887.430302
摘要(1239) HTML (442) PDF(56)
摘要:

为研究竹纤维和钢丝网对玄武岩纤维筋混凝土梁抗弯延性的影响,该研究以竹纤维长度(0 mm、30 mm、45 mm)及钢丝网布置范围(无、1/2最大弯矩点间布置、全梁段布置)为变量,对7根基于竹纤维和钢丝网增强的玄武岩纤维筋混凝土梁进行了弯曲破坏试验,对其初裂荷载、裂缝开展、极限荷载、变形情况等进行了检测。通过试验数据分析了纤维长度和钢丝网布置范围对试件抗裂、抗变形性能的影响;借助函数模型得到7根试验梁的等效屈服点,计算出了试件的延性系数。结果表明竹纤维和钢丝网的掺入使玄武岩纤维筋混凝土梁的开裂荷载提高了12% ~ 68%,减小了裂缝分布间距及长度发展速度,同等荷载下试验梁的变形减小,延性系数增大了1.58% ~ 31.75%。

水下穿越管道悬空段三级安全评价
杨涛, 郭旭, 成志强, 帅祝名, 胡聪
2023, 44(2): 220-228. doi: 10.21656/1000-0887.430294
摘要(1055) HTML (497) PDF(45)
摘要:

水下穿越管道由于河床的不平整以及水流冲击、掏蚀作用,易产生裸露 、悬空等现象,悬空管段在水流作用下跨度逐渐增大,会威胁管道运营安全。为探究水流冲击作用下悬空管段的受力特性和失效行为,根据管道破坏形式,对管道进行静力学分析和动力学分析,提出了含悬空段穿越管道的分级安全评价方法:首先,根据管道悬空段受力特性和应力状态,进行“静载荷工况下的静强度安全评价”(1级);其次,根据悬空管道的固有振动频率与水流的涡旋发放频率的关系,进行“动载荷工况下的共振安全评价”(2级);最后,根据管道的环境工况和载荷作用,分析管道交变应力的周期性变化过程,求解管道的疲劳损伤和疲劳寿命,进行“动载荷工况下的疲劳强度安全评价”(3级),从而提出水下穿越管道悬空段的三级安全评价方法。同时,提出了不满足安全评价的稳管措施,结合算例给出具体求解计算流程,为水下穿越管道悬空段的安全评价提供了一定的理论参考。