• Scopus收录
  • CSCD来源期刊
  • 中文核心期刊

留言板

尊敬的读者、作者、审稿人, 关于本刊的投稿、审稿、编辑和出版的任何问题, 您可以本页添加留言。我们将尽快给您答复。谢谢您的支持!

姓名
邮箱
手机号码
标题
留言内容
验证码

2024年  第45卷  第3期

封面及目录
2024, 45(3).
摘要(491) PDF(24)
摘要:
第七届"钱令希计算力学青年奖"特邀论文
数据驱动下的声学器件音质优化
许磊, 张维声, 朱宝, 郭旭
2024, 45(3): 253-260. doi: 10.21656/1000-0887.440339
摘要(790) HTML (370) PDF(96)
摘要:
音质是声学器件声音表现的重要衡量标准. 但音质的优化过程需要对大量频点的响应进行协同优化,造成优化问题的可求解性较差. 该文提出了一种数据驱动下的声学通道拓扑优化设计方法,可实现声-结构系统中的声频响快速预测,进而借助显式拓扑优化技术实现声学器件的音质优化. 通过人工神经网络对结构几何参数、激励频率与声频响之间的非线性关系进行建模,以可移动变形组件(moving morphable components, MMC)法中的结构几何参数、激励频率为输入变量,以声压频响作为输出变量,通过训练多层前馈网络建立了声频响的人工神经网络模型. 所得结果可以有效地将目标频带内的声压级范围差从44.89 dB缩小至6.49 dB,相较于传统优化方法,求解速度约为之前的16.3倍,表明了当前方法对音质优化问题的快速求解具有明显效果.
固体力学
3D打印仿贻贝足丝结构的黏附性能
徐万崟, 谢宇, 钱劲
2024, 45(3): 261-272. doi: 10.21656/1000-0887.440162
摘要(1080) HTML (436) PDF(66)
摘要:
贻贝足丝是一种自然界存在的高性能生物黏附器,能够在不同环境下提供贻贝-固体表面之间的黏附作用. 近年来,许多研究者开始关注贻贝足丝的组成和宏微观结构对其黏附性能的定量影响,为仿生黏附器件的设计寻找思路. 该文结合3D打印技术、脱黏实验和有限元方法,系统研究了形状和几何参数对仿贻贝足丝结构脱黏模式和黏附性能的影响机制. 该文结果揭示了贻贝足丝的脱黏机理,发现贻贝足丝存在最优的足丝方向角,使其黏附性能最佳,探究了同一角度下足丝线-斑块连接位置和斑块底部形状对其黏附性能的影响. 最后,模拟了束状仿贻贝足丝结构在竖直拉力作用下的完整脱黏过程,所获得的锯齿状脱黏曲线表明束状结构具有相对稳定的抗脱黏能力. 这些研究结果有助于理解自然界贻贝足丝的脱黏行为,可为仿生黏附器件的优化设计提供基础和参考.
考虑不同破坏形式下隧道锚承载力及破坏阶段研究
杨国俊, 吕明航, 唐光武, 田骐玮, 杜永峰
2024, 45(3): 273-286. doi: 10.21656/1000-0887.440146
摘要(710) HTML (260) PDF(47)
摘要:
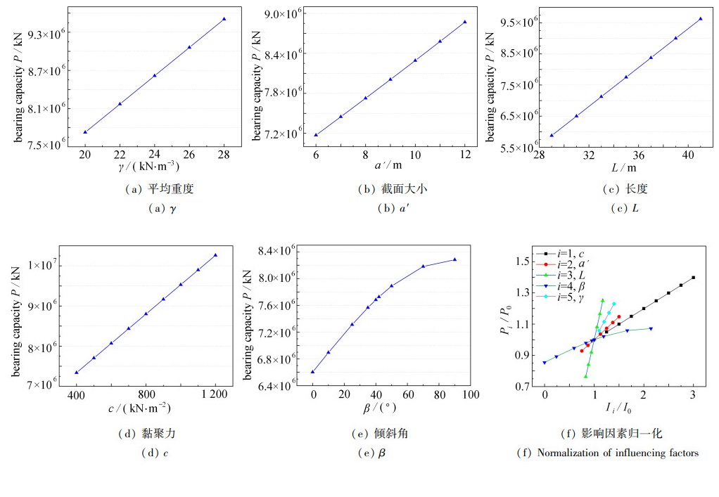
现有研究多以锚岩接触面出现塑性区域或应力峰值点转移作为达到极限状态的判别标准,但不同工程地质情况会导致隧道锚(TTA)破裂面线形存在较大差异,很难准确推导出隧道锚的极限承载力. 为了进一步探求隧道锚在拉拔荷载下的工作过程,得到更加明确的隧道锚极限承载力的表达形式,采用幂指数函数形式表征倒锥形破坏破裂面的线形,基于Mindlin应力解与峰值剪应力控制理论得到界面破坏应力分布形式,推导了界面破坏与倒锥台破坏形式下的承载能力公式;采用国内5座悬索桥隧道锚承载力进行算例验证,同时分析研究了不同参数对隧道锚极限承载力的影响. 研究表明:两种破坏形式下,承载力的主要来源为破裂面的黏结力,占总承载力的50%以上,承载力均随着长度与内聚力的增加而线性增加;承载力随着倾斜角的增加而增加,但增长速度减慢,界面破坏形式下出现先增加后减小的现象. 对比以往试验以及数值模拟结果,与该文推导结果基本一致,分析公式计算结果和位移增长曲线,发现隧道锚工作过程明显呈现3个阶段,最终破坏形式为界面破坏和倒锥形破坏两种破坏模式的结合.
颗粒土中剪切带临界状态数学描述及其完全解
黄文雄, 崔贤
2024, 45(3): 287-294. doi: 10.21656/1000-0887.440295
摘要(658) HTML (296) PDF(52)
摘要:
为正确模拟土体涉及剪切带演化的后失效力学响应,需采用包含细观特征长度的高阶连续介质力学模型. 笔者利用前期所建立的微极亚塑性模型,对颗粒土中剪切带的发展过程进行了分析推导,得到了剪切带临界状态条件下关键变量所满足的非线性微分方程. 该文展示了上述非线性微分方程的简要推导,重点讨论了该非线性微分方程的主要性质、主要参数变化范围和求解途径;通过对剪切带进一步的力学分析补充建立了一个能量方程,使问题具有确定解. 在此基础上,应用数值积分求出了剪切带厚度因子和剪切内应力、变形率分布及剪切速度分布的完全解. 其中剪切带厚度因子对于微极亚塑性模型细观参数的确定具有重要作用.
含内聚裂纹弹性体的能量释放率与断裂能
安蕊梅, 侯永康, 李云峰, 段树金
2024, 45(3): 295-302. doi: 10.21656/1000-0887.440289
摘要(1344) HTML (410) PDF(76)
摘要:
根据内聚裂纹模型,含裂纹的弹性体在裂纹尖端附近存在一内聚区,内聚区断裂参数表达是其核心研究内容. 该文假定弹性平板直线裂纹尖端存在一带状内聚区,并由一条虚拟线裂纹代替,其张开位移与内聚力存在确定的非线性函数关系. 以Ⅰ型边裂纹为例,导出了满足虚拟裂纹条件的解析解;在此基础上给出了物理裂纹尖端扩展的能量释放率Ga、内聚裂纹尖端扩展的能量释放率Gb的计算公式;讨论了GbJ积分和断裂能GF之间的关系;从理论上证明了临界能量释放率Gbc就是断裂能GFGbc可以作为含内聚区材料裂纹失稳扩展的断裂参数. 提出的方法适用于所有含Ⅰ、Ⅱ、Ⅲ型内聚裂纹的弹性体.
一维六方准晶非周期平面内中心开口裂纹的平面热弹性问题
赵雪芬, 卢绍楠, 马园园, 张保文
2024, 45(3): 303-317. doi: 10.21656/1000-0887.440302
摘要(791) HTML (325) PDF(35)
摘要:
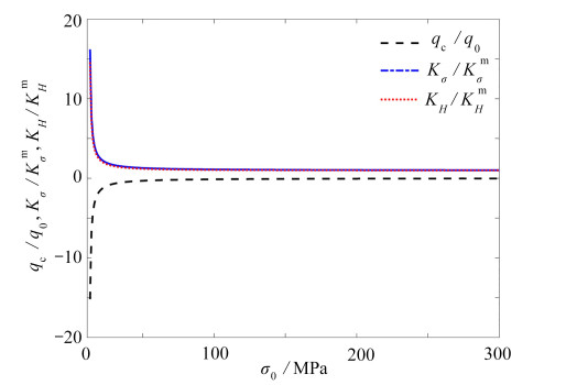
考虑裂纹内部介质的热传导率, 研究了一维六方准晶非周期平面内含中心开口裂纹的平面热弹性问题. 利用Fourier积分变换技术, 得到了热应力、裂纹尖端处的热应力强度因子和应变能密度因子的封闭解. 数值结果讨论了裂纹内部介质的热传导率、外载荷及声子场-相位子场耦合系数对热应力强度因子和应变能密度因子的影响. 结果表明, 声子场-相位子场耦合系数对裂纹扩展影响较大. 当声子场载荷较小或热流密度较大时, 裂纹不易扩展,热流密度在裂纹尖端处会出现集中热效应. 随着裂纹内部介质热传导率的增大, 热流密度逐渐增加而热应力强度因子逐渐减小. 该文所得结果为准晶热力学性质的实际应用提供了理论依据, 进而可用于优化准晶元器件的设计和制备.
流体力学
LMS Method: a Spatiotemporal Optimal Low-Dimensional Dynamical Systems of Multi-Scale Numerical Simulation Method for Compressible Turbulence
QI Jin, WU Chuijie
2024, 45(3): 318-336. doi: 10.21656/1000-0887.440294
摘要(783) HTML (377) PDF(67)
摘要:
Following Professor P-Y CHOU’s idea, i.e., to study numerical simulation of turbulence, it is necessary to analyse and solve the fluctuating velocity field, based on the first principles, the spatiotemporal low-dimensional optimal dynamical systems of multi-scale simulation method (LMS method) is established systematically in this work, and in its application to the numerical simulation of re-shock Richtmyer-Meshkov problem, the turbulent middle-scale flow field and an approximate solution of turbulence which is different from the DNS approximate solution of turbulence, are obtained for the first time; the numerical results show that LMS method can be used with fewer grids to obtain more accurate approximate solutions of turbulence. Several problems encountered in the research are solved first, which paved the road to construct LMS method. These problems are: based on the physical characteristics of turbulence, a new concept of large, middle and small scale decomposition of turbulence is proposed; calculation method of spatial correlation of box filtering is find; a long-standing logical error in the theory of turbulence modelling is pointed out and the concept of multi-scale turbulence models is suggested; essence and key of closure problem of turbulence are discussed and numerical method for overcoming the closure problem of turbulence is given. With the box filtering/the space grid average and in the sense of a large-scale grid, the essence of the LMS method is a new turbulence numerical simulation method that integrates the RANS, LES, DES and DNS. It is necessary to indicate that the LMS method can also serve as an auxiliary tool for turbulence model research to examine whether the turbulence model corresponding to each term in the SGS-scale/fluctuations equation is correct or not.
水滴撞击倾斜非Newton除冰液液膜动力学行为特性数值研究
崔静, 岳茂昌, 牛书鑫, 杨广峰
2024, 45(3): 337-347. doi: 10.21656/1000-0887.440183
摘要(848) HTML (363) PDF(41)
摘要:
为了探究降雨天气下水滴撞击除冰液液膜后引发的非Newton动力学行为,耦合相界面控制方程及组分输运方程,构建了多相、多组分、多体系耦合作用的液滴撞击非Newton液膜的动力学行为模型.开展了水滴撞击除冰液液膜非稳态演化行为特性数值研究,以实验结果验证并修正了模型.此外,进一步分析了除冰液的剪切稀化特性和斜面坡度对撞击过程的影响机制.研究结果表明:液滴撞击倾斜液膜后会产生非对称的液冠,而除冰液非Newton特性引发的黏度差异进一步导致撞击后的非对称运动;在液冠的形成过程中,除冰液被带离液膜,与水分的稀释效应共同降低了液膜的黏度;坡度的增加限制了水滴在液膜上游的作用范围,促进了下游液冠的生长进而加快了除冰液的脱离,因此液膜在下游的黏度显著降低.
多孔介质孔隙率对池沸腾传热性能影响机理的模拟研究
何树, 娄钦
2024, 45(3): 348-364. doi: 10.21656/1000-0887.440212
摘要(1262) HTML (780) PDF(135)
摘要:
采用介观相变格子Boltzmann(lattice Boltzmann, LB)方法,在孔隙尺度下研究了多孔介质的孔隙率对池沸腾换热过程的影响,重点分析了不同孔隙率时气泡的运动过程,并对气泡在多孔介质中的典型状态进行了力平衡分析,进而探究了多孔介质孔隙率影响沸腾传热的机理.结果表明,与无多孔介质的平板表面相比,多孔材料能够有效地降低初始成核的壁面过热度,增强流体的扰动,并且能够显著提升临界热流密度(critical heat flux,CHF)值.在所研究的工况中,孔隙率ε=73.2%时,CHF值提升最大,约为平板的3.6倍,其余孔隙率的多孔介质最小也可将其CHF值提升至平板的2.3倍.研究发现,当孔隙率从97.7%开始逐渐减小时,CHF值逐渐增大,同时沸腾换热曲线向左上方移动,这是因为减小孔隙率能够增大有效换热面积,减小气泡成核的壁面过热度,从而强化沸腾换热.当孔隙率减小到ε=73.2%时,若继续减小孔隙率,热流密度将突然下降,沸腾传热性能显著降低.通过对沸腾过程中气泡的受力进行分析后发现,当孔隙率较小时,过小的孔隙直径显著增大了气泡的逸出阻力,降低了气泡的上升速度,延长了气泡脱离多孔介质的时间,且此时气泡会在蒸发动量力、接触压力以及摩擦力等的共同作用下聚集在加热器上表面,形成气膜,从而恶化沸腾传热.
弹性膜对部分充液罐车内液体晃动的抑制效果研究
祁文超, 王琼瑶, 平凯, 陈馨儿
2024, 45(3): 365-378. doi: 10.21656/1000-0887.440271
摘要(773) HTML (364) PDF(63)
摘要:
为了提高液罐车的制动性能和侧倾稳定性极限,建立了流固耦合模型,研究了弹性膜对部分充液罐车内液体晃荡的抑制效果.进行了实验室实验,实验结果验证了数值模型的有效性.验证后的模型被进一步用于研究不同的弹性膜配置对晃荡响应的影响,如液体载荷传递、晃荡力、俯仰力矩和罐壁压强.研究中考虑了两种不同的储罐配置,即没有任何阻尼装置的储罐和具有各种弹性膜组合的储罐,以进行比较.结果表明,添加弹性膜可以显著限制液体的运动,从而显著降低由晃动引起的俯仰力矩,这将提高罐车的制动性能和侧倾稳定性极限.