• Scopus收录
  • CSCD来源期刊
  • 中文核心期刊

留言板

尊敬的读者、作者、审稿人, 关于本刊的投稿、审稿、编辑和出版的任何问题, 您可以本页添加留言。我们将尽快给您答复。谢谢您的支持!

姓名
邮箱
手机号码
标题
留言内容
验证码

2024年  第45卷  第8期

封面及目录
2024, 45(8).
摘要(435) PDF(43)
摘要:
轻巧-承力-功能一体化超结构专题
前言
王鹏飞, 孟晗, 倪长也, 赵振宇
2024, 45(8): 1-2.
摘要(508) HTML (310) PDF(63)
摘要:
轻巧-承力-功能一体化超结构:概念、设计及应用
康瑞, 李雪, 孟晗, 高金翎, 邓健, 姜永烽, 林国兴, 卢天健
2024, 45(8): 949-973. doi: 10.21656/1000-0887.450196
摘要(1915) HTML (589) PDF(210)
摘要:
高端装备在极端环境下的适应性和机动性是国防安全的核心保障,具有重要战略意义. 提高主承载结构的轻量化水平与功能性,是推动高端装备升级换代的关键环节. 高端装备在多场耦合极端环境下工作,对主承载构件的轻量化和多功能性提出了严苛要求. 现有装备的承力结构与功能(减振降噪、抗弹防爆、冲击吸能、散热隔热、吸波等)分离,造成结构和重量冗余,性能难以提升. 因此,亟需开发轻巧-承力-功能一体化超结构,推进高端装备的升级换代. 该文首次提出轻巧-承力-功能一体化超结构的概念并给出了明确的定义,然后结合实际工程应用需求对多种超结构的设计方案开展综述,最后对超结构未来的发展方向进行了展望.
力学超结构设计方法研究进展
姚谦, 杨钊, 王昕, 翟智, 李振, 耿新宇, 李秉洋, 王鹏飞
2024, 45(8): 974-1000. doi: 10.21656/1000-0887.450106
摘要(1722) HTML (801) PDF(255)
摘要:
力学超结构是具有超常力学性能的人工设计结构,其独特属性主要来自特殊设计的代表性单元的拓扑结构,其数学基础、超常特性、工程制造、多功能集成与应用近年来受到广泛关注. 为优化力学超结构设计流程、确定未来趋势与潜在跨学科创新,该文聚焦力学超结构基本设计理念与研究进展,探讨了优化方向. 首先,按照正向设计与逆向设计概念针对力学超结构设计方法进行分类;其次,针对正向设计分类型探讨周期性超结构、表面缺陷超结构与数学模型启发超结构设计方法的设计原理、适用领域与优化方向,针对逆向设计分析了各类优化算法与学习算法近年在力学超结构领域取得的进展与存在的问题;最后,对开放性问题与未来挑战进行了总结.
三维点阵结构拓扑开发研究进展及其对流传热性能对比
丁一, 吴威涛, 封锋, 李书磊, 闫宏斌
2024, 45(8): 1001-1023. doi: 10.21656/1000-0887.450184
摘要(1036) HTML (446) PDF(131)
摘要:
系统综述了国内外三维点阵结构拓扑开发的研究现状,分别在等流量、等压降和等泵功条件下对比了其总体传热与散热性能. 在模型验证的基础上,针对12种具有相同特征尺寸和孔隙率的点阵结构,分别在6种不同点阵材质、两种不同取向下开展了数值模拟与性能对比. 结果表明:点阵拓扑、点阵材质及运行工况对其传热和散热性能优劣具有显著影响;不同条件下,性能最优的点阵不尽相同. 在等流量下,A向节点偏移X点阵和A向八叉树点阵的传热性能最优,A向节点偏移X点阵的散热性能最优. 在等压降下,A向节点偏移X点阵和B向节点偏移X点阵的传热性能最优,B向立方点阵和B向节点偏移X点阵的散热性能最优. 在等泵功下,A向节点偏移X点阵和B向矩形杆金字塔点阵的传热性能最优,B向节点偏移X点阵和B向矩形杆金字塔点阵的散热性能最优. 在固定孔隙率和特征尺寸下构建了现有点阵结构的传热与散热性能数据库,可作为新型点阵拓扑开发的比较基准,同时,可为不同工程设计中点阵结构的选型提供指导.
蜂窝夹芯结构用连接接头抗冲击性能研究
张智扬, 赵振宇, 任建伟, 高辉遥
2024, 45(8): 1024-1036. doi: 10.21656/1000-0887.450131
摘要(773) HTML (331) PDF(51)
摘要:
夹层结构在工程领域的应用广泛,但其连接装配问题却日益突出,尤其是面临强动载荷下的作战装备,如何设计连接接头以提升结构的可靠性及维修性,是目前研究的热点. 针对蜂窝夹芯防护结构在典型作战环境中的连接装配问题,设计了一种由方管锁定的快速组装连接接头,并通过泡沫子弹冲击实验以获得连接结构在不同冲量下的动态响应,随后采用有限元方法对冲击试验进行了模拟,仿真结果与实验结果吻合度较好. 在此基础上,利用该有限元模型进一步探讨了方管壁厚、连接单元宽度等几何参数对该结构在泡沫子弹冲击载荷作用下的峰值挠度的影响. 结果表明,较薄方管壁厚(tt/tf≤0.375)使得连接结构容易陷入方管压溃的失效模式导致其峰值挠度显著增大,而较小的连接单元宽度(2a/W≤0.267)将导致面板抗拉强度下降,进而削弱连接结构抗冲击性能. 此外,随着连接单元宽度的不断增加,连接结构的峰值挠度呈现先减小后增大的趋势,这是由于连接单元的有效横截面积与机械互锁接触面积之间存在竞争机制. 当前研究表明,这种快速组装连接接头能有效抵御动态冲击载荷,具有抗冲击吸能、便于维护更换的特点,有望应用于各型主战装备防护结构的连接,为夹层连接结构的抗冲击设计提供参考.
陶瓷混杂点阵夹芯超结构的承载与抗多点侵彻性能
郑冰倩, 强鹭升, 宋萧彤, 倪长也, 张瑞
2024, 45(8): 1037-1046. doi: 10.21656/1000-0887.450101
摘要(840) HTML (400) PDF(68)
摘要:
轻巧、可承载、抗侵彻一体化超结构相较于传统承载结构与披挂装甲,可有效减轻质量并提高空间利用率,在军事装备与国防设施中具有广阔的应用前景. 该文基于陶瓷混杂点阵夹芯超结构,对比了超结构与传统波纹结构在三点弯曲载荷下的承载-位移曲线,并通过实验研究了超结构在多点弹道冲击下的防护性能与抗侵彻机理. 研究结果表明,陶瓷混杂点阵夹芯超结构在弯曲载荷下主要发生陶瓷脆性断裂、面板塑性断裂与胶层开裂等失效,其承载能力高于传统波纹结构. 此外,该文还发现冲击位置与芯体类型影响超结构的抗多发特性,陶瓷混杂蜂窝芯体超结构的抗多发性能优于陶瓷混杂波纹芯体超结构. 波纹结构在纵向对陶瓷缺乏约束,而蜂窝芯体对陶瓷的约束作用更强,从而可限制陶瓷损伤面积,使得抗侵彻性能随着冲击次数的增多而基本保持一致.
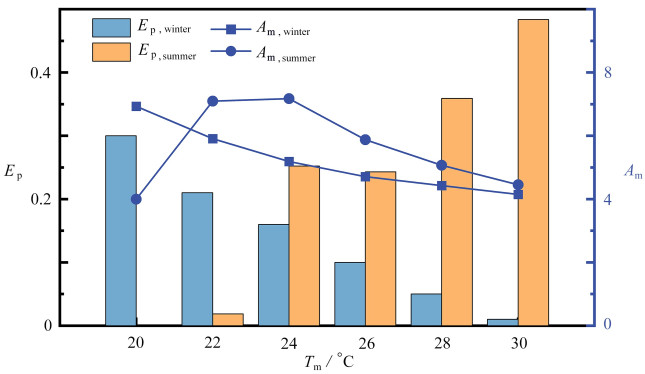
针对夏热冬冷地区的新型承载蓄热超结构墙体力学性能与温控效能研究
姚翔宇, 马建斌, 王飞娅, 杨肖虎
2024, 45(8): 1047-1057. doi: 10.21656/1000-0887.450172
摘要(792) HTML (362) PDF(36)
摘要:
相变蓄热墙体能够有效降低室外温度波动对内墙面温度的干扰,提升室内热环境的稳定性并降低建筑能耗. 由于冬夏季气象条件的差异,相变材料(phase change material,PCM)熔点的选择成为影响墙体热工性能的重要因素. 为了实现蓄热墙体冬夏两季的高效利用,该研究构建了新型承载蓄热超结构墙体数值模型,对墙体力学性能进行检验,并模拟了冬季典型日和夏季典型日空气对流换热下墙体传热特性. 结果表明,新型承载蓄热超结构墙体的力学性能满足工程应用需求,同时相较普通墙体具有良好的传热特性. 其中,熔点为20 ℃的墙体在冬季热工性能最好,峰值相变率达到0.30,且内壁面最大温度波动为5.8 ℃,在夏季工况中,熔点为30 ℃的墙体具有较高的相变利用率为0.48,熔点为24 ℃的墙体内壁面温度波动最小. 最后,综合考虑相变利用率和衰减倍数,获得了夏热冬冷地区最佳相变墙体熔点为24 ℃.
基于人工神经网络的共振吸声超材料声学性能快速预测及结构优化设计
高兆瑞, 李铮, 姜永烽, 沈承, 孟晗
2024, 45(8): 1058-1069. doi: 10.21656/1000-0887.450170
摘要(1252) HTML (493) PDF(104)
摘要:
针对共振吸声超材料声学性能快速预测及结构优化设计需求,提出了一种基于人工神经网络的共振吸声超材料性能预测方法. 首先, 建立了由微穿孔板和Helmholtz共振腔组成的多层穿孔型共振吸声超材料的理论模型,并通过仿真与实验验证其正确性;随后,通过理论模型生成数据集,并以此为基础,采用BP(back propagation)神经网络原理,搭建了结构特征参量与声学性能的人工神经网络模型;之后,将训练后的人工神经网络模型与遗传算法相结合,对共振吸声超材料进行声学性能最优化设计. 结果表明:训练后的人工神经网络模型可以对目标结构的吸声性能进行准确预测,并且预测效率相较理论模型提高50%以上;人工神经网络模型与优化算法的结合不仅能提高优化效率,优化后的结构也具有良好的低频宽带吸声性能. 人工神经网络为大规模结构性能预测计算提供了便利,在超材料等结构设计及优化领域具有广阔的应用前景.
考虑挠曲电效应的薄板声学超材料隔声特性研究
杨莎莎, 彭聪, 孟晗, 沈承
2024, 45(8): 1070-1081. doi: 10.21656/1000-0887.450115
摘要(776) HTML (327) PDF(64)
摘要:
区别于传统的压电效应,当结构尺寸减小到微纳米尺度时,一种新的力电耦合效应——挠曲电效应将无法被忽略. 该文利用变分原理推导了考虑挠曲电效应的薄板声学超材料结构隔声问题的控制方程和边界条件,基于Kirchhoff薄板理论预测了薄板质量块结构的隔声曲线,系统讨论了挠曲电效应、几何尺寸、质量密度等参数对结构隔声性能的影响. 结果表明,当结构尺寸减小到微纳米尺度时,挠曲电效应显著增加了隔声曲线的隔声谷值和峰值频率,因此考虑挠曲电效应是十分有必要的. 该文的工作有望为微机电系统的噪声控制研究提供理论基础.
负刚度扭转超结构力学性能研究
王钦泽, 韩宾, 郑培远, 刘志鹏, 张琦
2024, 45(8): 1082-1095. doi: 10.21656/1000-0887.450082
摘要(933) HTML (429) PDF(103)
摘要:
通过屈曲变形实现非损伤耗散能量的负刚度超结构,为可重复使用的缓冲防护器件提供了新的设计思路,但其耗散能力较弱、难以过载保护的缺点限制了实际应用. 为增强耗能性能及最大允许变形量,将负刚度铰接梁与具有压扭效应的斜杆串联组合,设计了一种负刚度扭转超结构,通过引入扭转变形缓解了过载导致的应力集中. 建立了负刚度扭转单元模型,通过刚度匹配设计实现了对力学性能的调控,使负刚度扭转超结构表现出突跳行为,产生加卸载曲线不重合的迟滞现象,从而极大地提高了能量耗散能力. 通过结构参数及刚度关系的优化设计,负刚度扭转超结构的最大等效压缩应变可达71%,相同层数下,能量耗散能力可以达到传统屈曲梁超结构的两倍.
基于碳纤维的层合结构双极化电磁吸波及其弯曲性能设计
纪正江, 程琳豪, 郑锡涛, 闫雷雷
2024, 45(8): 1096-1105. doi: 10.21656/1000-0887.450102
摘要(874) HTML (424) PDF(46)
摘要:
针对现有飞行器复合材料蒙皮难以兼顾承载性能和吸波性能的问题,利用碳纤维预浸料独特的力电特性构造了碳纤维双极化吸波层合结构(carbon fiber dual-polarized absorbing laminated structure, CFDALS). 通过在玻璃纤维层合结构中引入双向碳纤维阵列结构,赋予层合结构双极化电磁波吸收特性,同时利用碳纤维反射层优异的承载性能来增强结构力学性能. 电磁仿真结果表明,该结构对TE极化电磁波在8~18 GHz频带、0°~45°入射角,同时对TM极化电磁波在5~18 GHz频带、0°~60°入射角下平均吸收率均达到90%以上. 三点弯曲仿真结果表明,结构在实现双极化电磁吸波的同时,在碳纤维阵列两个排列方向上表现出较高的比弯曲强度、比弯曲刚度. 通过在玻璃纤维预浸料中引入双向排列的碳纤维预浸料并进行一体化设计,在结构具备双向优异承载性能的同时实现了双极化电磁吸波性能的显著增强,为飞行器蒙皮隐身承载一体化设计提供了一种新的解决方案.
高强韧仿生螺旋复合材料超结构设计与分析
王昕, 李振, 季海波, 杨宏俊, 李秉洋, 王鹏飞
2024, 45(8): 1106-1116. doi: 10.21656/1000-0887.450103
摘要(1062) HTML (649) PDF(80)
摘要:
随着人类航天活动的日益频繁,轨道空间环境不断恶化,提升航天器结构强度和韧性具有重要的现实意义. 该文设计了具有中面对称特性的高强韧仿生螺旋复合材料超结构,开发了相应的热压制备工艺. 通过准静态压痕性能测试,以荷载-位移曲线、峰值力、失效位移、刚度与能量吸收为关键力学指标,分别在37层与73层下对正交、准各向同性以及5°,10°,20°螺旋铺层的碳纤维增强复合材料(carbon fibre reinforced polymer, CFRP)超结构进行了性能表征,并分析了破坏模式与失效机理. 研究结果表明:相较于传统铺层方法,采用对称螺旋铺层方式能够有效减小层间应力,显著提升超结构的准静态压痕性能;尤其是当螺旋角设定为10°时,超结构在峰值载荷和能量吸收方面得到了卓越的性能提升. 该研究成果不仅为航天领域内高性能复合材料超结构的设计与制造提供了理论支持,同时也为其实际应用奠定了实践基础.