• Scopus收录
  • CSCD来源期刊
  • 中文核心期刊

留言板

尊敬的读者、作者、审稿人, 关于本刊的投稿、审稿、编辑和出版的任何问题, 您可以本页添加留言。我们将尽快给您答复。谢谢您的支持!

姓名
邮箱
手机号码
标题
留言内容
验证码

2024年  第45卷  第9期

封面及目录
2024, 45(9).
摘要(445) PDF(23)
摘要:
中国计算力学大会专题
基于辛叠加方法的正交各向异性矩形悬臂薄板受迫振动解析解
王森林, 李进宝, 马红艳, 李锐
2024, 45(9): 1117-1132. doi: 10.21656/1000-0887.440277
摘要(903) HTML (319) PDF(105)
摘要:
基于辛叠加方法研究了正交各向异性矩形悬臂薄板在谐载载荷作用下的受迫振动问题. 首先从薄板受迫振动的基本方程出发,将问题导入到Hamilton体系,并将原问题拆分为若干子问题,然后在辛空间中利用分离变量和本征展开方法推导出子问题的解析解,最后通过叠加求解出悬臂薄板受迫振动的解析解. 辛叠加方法的主要优点是经过逐步严格推导获得解析解,不需要对解的形式做任何假设,突破了传统半逆解法的限制. 算例针对不同谐载载荷情况进行了数值计算,并将该文方法与有限元方法获得的结果进行比较,验证了该文方法的可靠性和精确性.
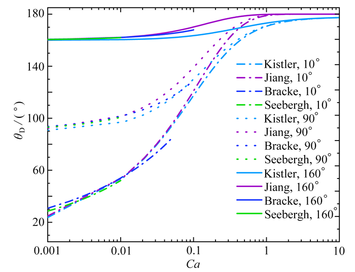
液滴冲击过程动态接触角模型研究
王翔宇, 柯鹏, 杜锋
2024, 45(9): 1133-1146. doi: 10.21656/1000-0887.440282
摘要(1278) HTML (751) PDF(154)
摘要:
基于计算流体力学(CFD)模拟液滴冲击壁面,对于理解液滴在固体壁面铺展的动力学行为有重要的意义,可以为超疏水结构设计及防除冰涂层开发提供技术支撑,其中的难点在于如何在模型中准确刻画接触线及动态接触角的演化过程. 总结了四种典型的动态接触角模型,从理论上分析了其应用范围,借助FLUENT中的UDF功能,将动态接触角模型应用于壁面边界条件. 首先对液滴冲击光滑壁面的动力学过程进行了数值模拟研究,通过定量分析液滴形态的各项参数变化并与实验结果对比表明,Seebergh动态接触角模型更适用于模拟低毛细数下液滴的运动,Kistler模型与Jiang模型应用范围更广并且可以较准确地描述高毛细数下液滴的运动. 随后基于Kistler动态接触角模型,对液滴在微结构表面的冲击与铺展过程进行了仿真研究,发现应用动态接触角模型会导致液滴内部流场在表面张力起主导作用的阶段内发生变化,并且在平衡状态下液滴接触角的模拟值与理论值相近.
基于对流粒子域插值物质点法的壳结构分析
王长生, 于传泽, 张向奎
2024, 45(9): 1147-1156. doi: 10.21656/1000-0887.440286
摘要(702) HTML (317) PDF(69)
摘要:
物质点法(material point method, MPM)采用Lagrange质点和Euler网格双重描述,适合处理大变形和接触问题. 该文基于对流粒子域插值物质点法(CPDI2)框架分析了薄壳结构的大变形问题:使用四边形网格来离散壳体结构,通过物质点到壳单元节点再到背景网格节点的双重映射计算基函数,在背景网格上求解动量方程,基于BT壳单元理论更新物质点的内力. 数值算例将受大变形的壳结构与参考解进行了比较,验证了该文方法的准确性.
基于Hamilton体系的功能梯度矩形板自由振动问题的解析解
张继超, 钟心雨, 陈一鸣, 石越卿, 郭程洁, 李锐
2024, 45(9): 1157-1171. doi: 10.21656/1000-0887.440279
摘要(1000) HTML (410) PDF(109)
摘要:
对于功能梯度矩形板的自由振动问题,寻求既满足高阶偏微分控制方程又满足各种非Lévy型边界条件的振型函数十分困难,这使得利用传统方法难以解析求解该类问题. 该文拓展了近年来发展的基于Hamilton体系的辛叠加方法,将其成功应用于功能梯度矩形板自由振动问题的解析求解. 求解方案将原问题拆分成子问题,并引入物理中性面消除了由于横向材料不均匀产生的拉弯耦合效应,采用在传统Lagrange体系中无法使用的分离变量、辛本征展开等数学方法对子问题进行求解,最后通过叠加获得了原问题的解答. 辛叠加方法的优点是不需要事先假定解的形式,克服了传统半逆解法的限制,能够获得更多复杂问题的解析解. 将该方法的求解结果与数值解进行对比,证明了其正确性,并在此基础上进行了定量的参数分析,研究了不同边界条件、材料分布和长宽比对板固有频率的影响.
倒刺型接触超材料力学性能研究
田耕鑫, 曹升虎, 张健
2024, 45(9): 1172-1181. doi: 10.21656/1000-0887.440285
摘要(741) HTML (387) PDF(57)
摘要:
受到一些植物茎部和部分猫科动物舌头上的倒刺结构在不同方向上表现出差异性的启发,该研究设计了一种可重复使用且易恢复的倒刺型超材料,并对其力学性能进行了理论分析和数值分析. 研究结果表明,在倒刺的往复运动中,当选取矩形截面高×宽为1 mm×1 mm,长为20 mm,且与竖直方向呈60°角的倒刺时,与阻挡凸台正向接触过程中的最大反力约为逆向接触过程中最大反力的20倍左右,而所消耗能量则相差约200倍. 当倒刺与竖直方向的角度减小时,倒刺结构吸收能量更多,恢复所需能量更少;当倒刺长度增大时,倒刺结构吸收能量减小,恢复时所需能量也减小. 这表明该结构具有出色的抗冲击性能和能量吸收能力,正逆向所需能量差异较大,结构更容易恢复,并且可以通过对倒刺角度和长度设计提升吸能效率.
基于弹性边界的多墙式盒段结构复合材料壁板屈曲分析方法
赵北, 熊斯浚, 陈亮, 王成波, 李锐
2024, 45(9): 1182-1199. doi: 10.21656/1000-0887.440283
摘要(831) HTML (363) PDF(68)
摘要:
机翼中的多墙式盒段结构是飞机结构设计的重点关注区域之一. 盒段结构主要由蒙皮以及支撑件组合而成,其中蒙皮被支撑件近似分隔为多个矩形壁板. 在飞机服役过程中,机翼主要承受弯曲、扭转或者弯扭耦合载荷等作用,导致盒段结构中矩形壁板容易产生失稳. 在传统复合材料壁板屈曲分析中,往往将边界简化为固支或简支,所得结果与试验差距较大,而采用有限元方法进行全面模拟往往效率较低. 针对上述问题,该文提出了一种结合单胞模型以及微分求积法的复合材料壁板快速屈曲分析方法. 首先,建立了单胞模型计算矩形壁板的弹性边界刚度系数;然后,通过微分求积法求解控制方程,获得了壁板的屈曲载荷;最后,计算了不同类型盒段结构中复合材料壁板的屈曲载荷,并与有限元结果进行对比,验证了该文屈曲分析方法的准确性.
流体力学
Schur Forms and Normal-Nilpotent Decompositions
LI Zhen
2024, 45(9): 1200-1211. doi: 10.21656/1000-0887.450129
摘要(716) HTML (311) PDF(50)
摘要:
Real and complex Schur forms have been receiving increasing attention from the fluid mechanics community recently, especially related to vortices and turbulence. Several decompositions of the velocity gradient tensor, such as the triple decomposition of motion (TDM) and normal-nilpotent decomposition (NND), have been proposed to analyze the local motions of fluid elements. However, due to the existence of different types and non-uniqueness of Schur forms, as well as various possible definitions of NNDs, confusion has spread widely and is harming the research. This work aims to clean up this confusion. To this end, the complex and real Schur forms are derived constructively from the very basics, with special consideration for their non-uniqueness. Conditions of uniqueness are proposed. After a general discussion of normality and nilpotency, a complex NND and several real NNDs as well as normal-nonnormal decompositions are constructed, with a brief comparison of complex and real decompositions. Based on that, several confusing points are clarified, such as the distinction between NND and TDM, and the intrinsic gap between complex and real NNDs. Besides, the author proposes to extend the real block Schur form and its corresponding NNDs for the complex eigenvalue case to the real eigenvalue case. But their justification is left to further investigations.
课程-迁移学习物理信息神经网络用于曲面长时间对流扩散行为模拟
闵建, 傅卓佳, 郭远
2024, 45(9): 1212-1223. doi: 10.21656/1000-0887.440320
摘要(857) HTML (357) PDF(78)
摘要:

物理信息神经网络(physics-informed neural networks, PINN)将物理先验知识编码到神经网络中,减少了神经网络对于数据量的需求. 但是对于时间相关偏微分方程的长时间问题,传统PINN稳定性差,甚至难以求得有效解. 针对此问题,该文发展了一种基于课程学习和迁移学习的物理信息神经网络(curriculum-transfer-learning-based physics-informed neural networks, CTL-PINN). 该方法的主要思想是:将长时间历程模拟问题转化为该时间域内多个短时间历程模拟问题,引入课程学习的思想,由简到难,通过PINN在小时间段区域内训练,而后逐渐增大所求解的时域范围;进而引入迁移学习方法,在课程学习的基础上进行时域上的迁移,逐步采用PINN进行求解,从而实现曲面上对流扩散行为的长时间模拟. 该文将此CTL-PINN与非本征的曲面算子处理技术相结合,用于复杂曲面上长时间对流扩散行为的模拟,并通过多个数值算例验证了CTL-PINN的有效性和鲁棒性.

固体力学
薄壁内胆碳纤维全缠绕复合材料气瓶轴向残余变形及屈曲分析
赵亮, 李亚伟, 王建宝, 李东东, 丁帅, 毕清洁
2024, 45(9): 1224-1234. doi: 10.21656/1000-0887.450086
摘要(857) HTML (289) PDF(51)
摘要:
针对钛合金薄壁内胆碳纤维全缠绕复合材料气瓶水压试验后轴向缩短及内胆局部发生屈曲失稳现象,开展了试验研究及有限元分析. 结果表明:自紧加卸载后,封头靠近极孔区域沿轴向向内凹陷,封头靠近赤道区域沿径向向外扩张,封头整体沿轴向变短,试验和有限元计算的轴向缩短量为6.15 mm和6.363 mm,误差为3.46%,有限元计算结果与试验结果具有很好的一致性. 最后,采用多极孔法优化封头纤维层厚度分布,封头厚度极值降低32.6%,过渡更加均匀,优化后的气瓶沿轴向略有伸长,平均伸长为0.6 mm,采用CT和内窥镜检测,内胆均未出现屈曲失稳,有效地解决了水压试验后轴向缩短及内胆屈曲问题.
宽带噪声激励下碰撞摩擦系统的随机响应和稳定性的研究
马兰, 田丽丽, 刘莉
2024, 45(9): 1235-1242. doi: 10.21656/1000-0887.440313
摘要(762) HTML (304) PDF(55)
摘要:
研究了宽带噪声激励下碰撞摩擦系统的随机响应和概率为1渐近稳定性. 基于非光滑变换和随机平均法得到了碰撞摩擦系统响应的稳态概率密度,并通过与Monte Carlo数值模拟结果对比,验证了上述解析方法的有效性. 讨论了摩擦力和碰撞恢复系数对系统稳态概率密度的影响. 基于平均Itô微分方程,得到其线性化方程的最大Lyapunov指数的表达式,通过Lyapunov指数确定系统平凡解的稳定性. 结果表明,改变碰撞恢复系数和摩擦系数能调整系统的随机稳定性.