• Scopus收录
  • CSCD来源期刊
  • 中文核心期刊

留言板

尊敬的读者、作者、审稿人, 关于本刊的投稿、审稿、编辑和出版的任何问题, 您可以本页添加留言。我们将尽快给您答复。谢谢您的支持!

姓名
邮箱
手机号码
标题
留言内容
验证码

2025年  第46卷  第2期

计算力学专题
面向冷弯型钢构件弹性屈曲临界荷载预测的BP神经网络训练算法比选
戴宜凌, 王少快, 尹凌峰
2025, 46(2): 129-141. doi: 10.21656/1000-0887.450050
摘要(627) HTML (243) PDF(112)
摘要:
弹性屈曲临界荷载是准确评价冷弯型钢构件承载力的重要指标. 利用人工神经网络(artificial neural networks, ANNs)模型对冷弯C型截面轴压构件的屈曲临界载荷进行了预测,将影响屈曲的几何参数和有限条法所得的计算结果作为数据集,对神经网络模型进行了训练、验证和测试. 基于最优化理论,采用6种不同的优化算法进行了模型的训练,并比较了不同算法的网络模型性能. 通过随机网格搜索确定最优超参数,使用3种统计参数来评估训练后的人工神经网络的性能,以得到最适合预测屈曲临界荷载的神经网络模型. 结果表明:Levenberg-Marquardt(L-M)算法在非线性最小二乘问题上相较于其他算法具有更高的准确性,多次训练后,L-M算法使模型预测误差非常小,而其他算法在准确度上不及L-M算法.
高能管道壁面摩擦对于蒸汽射流影响特性分析
徐焱明, 信志强, 何铮, 蔡煜
2025, 46(2): 142-153. doi: 10.21656/1000-0887.450047
摘要(545) HTML (319) PDF(34)
摘要:
以双端断裂后的高能管道为研究对象,对蒸汽射流过程进行了数值模拟. 研究了滞止压力、管道壁面摩擦对喷射锥和射流冲击力的影响,总结了喷射锥内速度、温度、压力的规律. 并将不同入口条件下的射流冲击力与使用设计准则计算结果进行了比较,探究了设计准则在超出适用压力范围时,有关公式和方法的适用性. 模拟结果表明,蒸汽射流在出破口平面后一段距离内,压力和温度迅速下降,速度迅速上升,随后均有波动变化,最终随着逐渐远离喷嘴出口,速度、温度逐渐下降,压力趋近于大气压. 喷射锥初始扩散角度、射流影响范围及射流冲击力与入口压力正相关,与喷管壁面粗糙度负相关. 设计准则对射流初始扩散角度的假设不具有普遍性,当压力较大时,实际射流初始扩散角度大于规范规定的45°. 设计准则评定冲击射流全部喷射到平板的冲击效应时,标准对于理想无摩擦的管道喷射冲击力可以精准预测,但使用标准对实际有壁面摩擦的管道射流冲击力进行评估时,会存在一定偏差,且随着壁面粗糙度和压力的增加,评估偏差程度会增大.
基于动力刚度理论和Wittrick-Williams算法的多段梁点阵色散研究
彭长清, 刘金兴
2025, 46(2): 154-164. doi: 10.21656/1000-0887.450043
摘要(436) HTML (253) PDF(45)
摘要:
基于动力刚度法(DSM)表述了多段梁(MSB)点阵的动态响应,进而利用Wittrick-Williams(WW)算法计算其各阶固有频率. 首先,根据MSB内部节点处的位移与应力连续条件,以分块矩阵组装的形式得到了MSB的动力刚度矩阵. 利用这种方法获得的MSB动力刚度矩阵仍然是两节点式,并不会增大刚度矩阵的维度. WW算法与动力刚度矩阵的结合可以精确求解点阵的各阶固有频率. 针对MSB点阵的周期性胞元,在原始动力刚度矩阵中考虑Floquet边界条件,再采取WW算法并最终得到了相应点阵的色散曲线. 在不可约Brillouin区内,利用该法算得的色散曲线与基于COMSOL仿真的结果相比,两者误差在6%以内,验证了所建方法的可行性. 进而系统研究了微观几何和材料参数对色散曲线的影响规律,结果表明使用MSB搭建点阵是调节点阵色散特性的有效方法.
凹截面薄壁管轴向冲击时的变形模式及能量吸收性能研究
唐智亮, 高永强, 许卫锴
2025, 46(2): 165-174. doi: 10.21656/1000-0887.450049
摘要(580) HTML (442) PDF(47)
摘要:
研究了凹截面薄壁管受轴向冲击时的变形模式及能量吸收性能. 研究结果展示了凹截面管相比传统凸多边形管在提高能量吸收性能方面的优势. 根据数值模拟结果绘制出凹截面薄壁管轴向变形模式分类图,分析了变形模式随截面参数变化的规律. 研究了凹截面薄壁管在轴向冲击及倾斜冲击载荷作用下的变形模式及能量吸收性能. 研究表明,合理设计的凹截面薄壁管较传统凸正多边形薄壁管的能量吸收性能有显著提高.
动力学及控制
侧向强动冲击下冲击位置对薄壁圆柱壳动态响应的影响
樊召帅, 葛树宏, 岳增申, 彭宇翔, 焦建凯, 刘建华, 张钱城
2025, 46(2): 175-186. doi: 10.21656/1000-0887.450074
摘要(605) HTML (317) PDF(60)
摘要:
采用有限元分析软件ABAQUS/Explicit研究泡沫子弹侧向冲击的冲击位置(偏置比)对Q235钢薄壁圆柱壳动态响应行为的影响. 基于已有的实验结果,验证了有限元模型的准确性,并通过该模型对比分析了不同偏置比下圆柱壳的动态变形演化、冲击侧与后侧冲击区域中心点的挠度值和圆柱壳的最终变形模式. 研究发现冲击侧冲击区域中心点的挠度均与冲击方向一致,而后侧冲击区域中心点的挠度均与冲击方向相反;圆柱壳的不对称变形模式随着偏置比的增大而更加明显. 进一步地,讨论了不同偏置比下,约束形式、初始动量及长径比对圆柱壳抗冲击能力的影响,结果表明,无论何种约束形式和初始动量大小,偏置比的增大降低了圆柱壳两侧冲击区域中心点挠度的绝对值,同时也减缓了后侧冲击区域中心点挠度在长径比影响下从凹陷到凸起的转变过程. 这种增强机制主要在于偏置比的增大显著提升了边界条件对圆柱壳的约束作用.
高阶等参元在薄膜结构自由振动中的应用
乔海青, 鲍四元, 邓子辰, 王博
2025, 46(2): 187-198. doi: 10.21656/1000-0887.450025
摘要(516) HTML (268) PDF(45)
摘要:
薄膜结构是工程中广泛应用的结构之一,其自振特性的理论解与三角函数族有关,采用常规低阶单元分析时,有限元解精度不高. 虽然h型有限元法将结构的网格细化后可提高有限元解的精度,但是其前处理相对困难,如果细化网格时出现畸变网格,那么有限元解的精度可能降低. 基于p型有限元法构造两种用于研究薄膜结构自由振动特性的四边形高阶等参元,即节点数为16的Q16等参元和节点数为13的Q13等参元. 不同形状和不同边界条件的薄膜结构算例表明,所提单元较常规低阶等参元有较快的收敛速率和较高的精度及计算效率.
时滞反馈对非线性黏弹性隔振系统的竖向振动控制研究
王道航, 孙博, 刘春霞, 周紫怡, 刘羽
2025, 46(2): 199-207. doi: 10.21656/1000-0887.450037
摘要(540) HTML (373) PDF(52)
摘要:
研究了时滞反馈对非线性黏弹性隔振系统的竖向振动控制情况. 基于黏弹性非线性Zener模型,引入时滞控制器,建立了时滞反馈黏弹性隔振系统数学模型;采用多尺度法得到了主共振条件下的近似解析解,并根据Routh-Hurwitz理论获取了系统的稳定性条件;最后,分析了时滞参数与黏弹性隔振系统振动行为的相关性. 研究结果表明,时滞控制器能够有效地对黏弹性竖向振动系统的不稳定行为和振动幅值进行控制,且时滞参数可作为独立变量调控系统振动特性. 研究结果可为利用时滞控制提高黏弹性隔振系统竖向振动稳定性的应用提供理论指导.
混联Ⅱ型惯容耗能减震结构响应及减震性能研究
李创第, 柴一格, 樊新宇, 王瑞勃, 葛新广
2025, 46(2): 208-222. doi: 10.21656/1000-0887.440325
摘要(464) HTML (395) PDF(35)
摘要:
针对多自由度混联Ⅱ型惯容对结构减震效果和可靠度的影响较为复杂的问题,运用功率谱二次分解法对该耗能结构的动力响应进行了研究. 通过复模态法将重构后的运动方程进行解耦,获得了结构位移及速度、结构层间位移及速度、层间剪力、层间位移角和惯容力等响应的频域统一解表达式. 运用功率谱二次分解法,获得了上述响应量的功率谱及谱矩的解析解. 以一栋16层的实际结构为例,验证了功率谱及谱矩的正确性. 最后,基于位移标准差和谱矩解析解探究了惯容系统参数对减震效果的影响,并对动力可靠度进行了分析. 验证了布置混联Ⅱ型惯容耗能结构具有良好的减震效果及可靠度.
流体力学
基于模态分解的转静干涉平面叶栅非定常流场时空分布分析
周向鑫, 李滕, 杨维建, 林永康, 张涛, 姚建尧
2025, 46(2): 223-240. doi: 10.21656/1000-0887.450121
摘要(807) HTML (688) PDF(53)
摘要:
由转静干涉引起的非定常流动是造成叶片/叶盘强迫响应的主要激励来源,更加准确和全面地表征转静干涉非定常流场的时空分布特征对流固耦合振动分析具有重要的意义,利用本征正交分解(POD)和动力学模态分解(DMD)等模态分析方法可以有效地从复杂流动系统中识别和提取激励成分. 该文以典型的1.5级涡轮平面叶栅为例,采用POD方法和DMD方法获得二维转静干涉流场的流动模态和时间系数,对叶片通道流场的时空分布特性进行分析. 结果表明:两种模态分解方法均能有效辨识流动特征,实现流场的合理减缩. 利用模态能量排序的POD方法可以准确识别占据流场主导地位的流动结构;而基于频率特征的DMD方法可以快速识别流场中各阶模态对应的激振频率和激励阶次. 模态分解方法相较于传统FFT方法,不受采样位置的影响,兼顾全场流动识别和局部特征分析,可为叶轮机械非定常激励耦合振动快速分析提供帮助.
基于多录井参数特征同步的溢流事故监测研究
陈青, 黄志强, 孔祥伟, 何弦桀, 徐洲, 安果涛
2025, 46(2): 241-253. doi: 10.21656/1000-0887.450125
摘要(548) HTML (327) PDF(31)
摘要:
依据录井参数进行溢流事故的判断十分依赖坐岗人员的经验,且现场采集的综合录井参数信噪严重,参数变化特征不明显,溢流监测准确率低. 通过低通滤波处理和局部加权线性回归,去除现场综合录井参数曲线的高频信号和低频信噪,经归一化处理,得到了多参数同步的溢流识别方法,并结合GCN图形匹配和BRNN双向传递的特点,建立了GCN-BRNN相融合的模型,提高了溢流事故监测的准确率. 结果表明,通过局部加权线性回归处理后能够使曲线变化特征更加明显,且归一化后的多参数同步监测比单一参数监测的准确率更高;以川西某井的综合录井数据为例进行溢流识别测试,与原先模型相比,结合后的模型溢流识别准确率更高,可达到85%;储层特征会影响录井参数的采集精度,储层分布结构越均匀、性质越稳定,溢流监测的准确率越高. 经JT井现场应用,溢流事故识别准确率≥89%,实际溢流风险与模型识别结果一致. 该方法能有效处理多源信息间的冲突,提高溢流监测的识别精度,对现场结合录井参数的溢流事故监测方法具有指导意义.
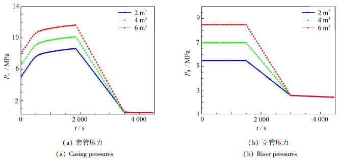
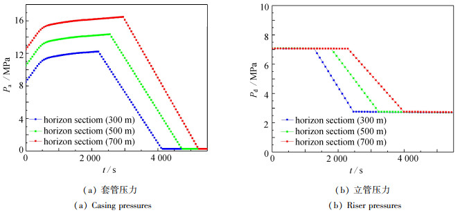
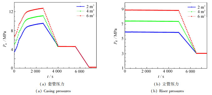
基于井筒多相流理论的复杂结构井动态压井过程中的井筒压力研究
杨鹏飞, 毛良杰, 杨森, 陈雪峰
2025, 46(2): 254-270. doi: 10.21656/1000-0887.450061
摘要(993) HTML (556) PDF(41)
摘要:
基于井筒多相流理论,并结合井眼轨迹的计算方法,建立了复杂结构井动态压井数学模型,再采用有限差分法求解,对压井过程中井筒压力进行了模拟研究,认识了初始气侵量、压井液排量与密度、水平井段长度对井筒压力的影响. 研究结果表明:在大斜度井和水平井压井过程中,套管承受的压力将会变得更大,且套管承受高压的时间也会明显增长;初始气侵量越大,为平衡井筒压力,压井过程中套管压力和立管压力越大;压井排量越大,压井过程中的套管压力越低,立管压力越大;压井液密度越大,压井过程中套管压力和立管压力越低;水平段长度越长,压井过程中的套管压力越大,压井时间越长. 研究结果对保障复杂结构井的压井作业具有指导意义.
封面及目录
封面及目录
2025, 46(2).
摘要(428) PDF(275)
摘要: