• Scopus收录
  • CSCD来源期刊
  • 中文核心期刊

留言板

尊敬的读者、作者、审稿人, 关于本刊的投稿、审稿、编辑和出版的任何问题, 您可以本页添加留言。我们将尽快给您答复。谢谢您的支持!

姓名
邮箱
手机号码
标题
留言内容
验证码

2025年  第46卷  第5期

显示方式:
冲击动力学专题
前言
曲嘉, 陈荣, 张磊, 雷红帅
2025, 46(5): 1-2.
摘要(306) HTML (205) PDF(47)
摘要:
铸态TiZrNbV晶体塑性本构模型的参数分析与参数反演
马培源, 林玉亮, 陈荣
2025, 46(5): 563-581. doi: 10.21656/1000-0887.450264
摘要(540) HTML (294) PDF(57)
摘要:
难熔高熵合金因其卓越的力学性能而备受关注,但其细观特征行为对其宏观力学行为的影响尚未被充分理解. 随着对材料细观力学行为研究需求的增加,晶体塑性有限元方法已成为揭示晶体材料细观机制的关键工具. 由于晶体塑性本构模型包含众多复杂参数,深入分析这些参数对于理解合金的细观力学行为至关重要. 研究中采用的晶体塑性本构模型考虑了Peierls应力,这一因素能够反映材料的短程势垒,从而更准确地模拟材料的应变率行为. 通过试验设计和极差分析,识别了影响合金力学性能的关键本构参数. 单因素分析明确了关键参数对材料力学特性的具体影响. 在参数反演方面,提出了一种基于优化设计的参数反演方法,该方法结合支持向量回归法和优化算法,能够有效地从宏观力学测试数据中反演出晶体塑性本构参数. 针对铸态TiZrNbV合金,成功反演出一组最优参数,仿真与试验的一致性验证了该方法的有效性. 研究为难熔高熵合金的力学行为预测、材料设计以及性能优化提供了有力的支撑.
异形点阵夹芯结构底板抗爆炸冲击设计与优化研究
张昊, 段晟昱, 符瑞, 彭小洋, 雷红帅
2025, 46(5): 582-590. doi: 10.21656/1000-0887.450294
摘要(446) HTML (242) PDF(56)
摘要:
提出了一种新型异形点阵夹芯结构底板,并对抗爆炸冲击性能进行了表征与优化研究. 开发了点阵夹芯底板的参数化建模程序,基于有限元方法分析了点阵夹芯底板的爆炸冲击响应,建立了点阵夹芯底板几何参数与抗冲击响应之间的映射模型,实现了适应度函数的快速求解. 发展了点阵夹芯底板抗冲击响应多目标优化设计方法,实现了点阵夹芯底板的轻量化设计. 有限元分析结果表明,优化设计后的点阵夹芯底板实现了24.1%减重与41.7%的抗爆炸冲击性能提升. 该研究为装甲车底板等异形防爆装备的设计与应用提供了方法支撑和技术指导.
变形模式假定对冲击加载下圆板最终塑性变形的影响规律研究
徐维铮, 黄宇, 李彤, 李业勋, 傅华, 王彦平, 郑贤旭
2025, 46(5): 591-599. doi: 10.21656/1000-0887.450285
摘要(368) HTML (194) PDF(34)
摘要:
为了找到一种适用于冲击加载条件下可靠普适的圆板塑性变形模式,首先基于能量法建立了冲击加载下可考虑不同变形模式及材料应变率效应的圆板塑性变形计算模型,然后利用计算模型与试验结果对比分析了不同变形模式假定对圆板最终塑性变形的影响规律. 研究表明:不同的变形模式假定给出了不同的膜拉伸应变空间分布以及膜拉伸平均应变率效应,改变了塑性变形吸能特性,最终影响圆板的塑性变形值;抛物线型变形模式具有误差小、材料适用范围广的优势,建议在后续的评估中采用.
钢化玻璃的动态力学性能及抗爆性能研究
刘浩, 贾彬, 孔德锋, 张磊
2025, 46(5): 600-610. doi: 10.21656/1000-0887.450283
摘要(539) HTML (319) PDF(45)
摘要:
钢化玻璃作为一种重要的建筑材料,对其在意外爆炸、地震、碰撞和台风等偶发强动载作用下的破坏规律及防护性能研究具有重要的学术价值和工程应用背景. 利用材料试验机(MTS)和分离式Hopkinson压杆(SHPB)开展了钢化玻璃准静态和高应变率力学性能试验,标定了其JH-2本构模型参数并验证了模型的准确性. 利用LS-DYNA软件完成了不同超压峰值、不同冲量空气冲击波对板状钢化玻璃破坏过程的仿真研究,研究表明,该钢化玻璃板件破坏比例距离大约为Z=4 m · kg-1/3,在保持比例距离不变时,爆心距减小板件偏于安全,随着爆心距增大破坏程度有明显增加,表明钢化玻璃板件破坏不仅受超压峰值影响,同时也受冲量影响.
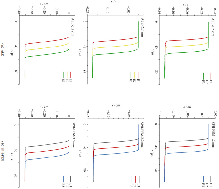
基复板间距对钛-不锈钢爆炸焊接质量影响的数值模拟
缪广红, 吴伟达, 周大鹏, 董继蕾, 魏正梅, 陈龙, 朱志强
2025, 46(5): 611-620. doi: 10.21656/1000-0887.450301
摘要(358) HTML (218) PDF(30)
摘要:
研究了基复板间距对钛(TP 270C)与不锈钢(SUS 821L1)复合板爆炸焊接质量的影响. 使用ANSYS/LS-DYNA有限元软件,并结合两种不同算法(ALE法、SPH-FEM耦合法),对不同基复板间距(1.2 mm,2.2 mm,3.5 mm)下的爆炸焊接过程进行了三维数值模拟. 模拟结果显示,在ALE法和SPH-FEM耦合法两种算法下,三组模拟复板竖向位移均达到或超过基复板间距,碰撞速度与碰撞角度均位于焊接窗口有效区间内. 此外,随着间距增大,复板碰撞速度和碰撞角呈现正向增长趋势,其中间距为3.5 mm时,复合板表现出最佳焊接质量. 模拟验证了两种算法均适用于钛合金(TP 270C)与不锈钢(SUS 821L1)的爆炸焊接. 三种间距下钛合金(TP 270C)与不锈钢(SUS 821L1)可实现稳定复合,随着间距的增大,焊接界面的结合强度逐渐提高.
钢纤维混凝土冲击破坏特性GDEM软件模拟
张金, 戚志刚, 张磊
2025, 46(5): 621-632. doi: 10.21656/1000-0887.450311
摘要(422) HTML (213) PDF(36)
摘要:
钢纤维混凝土(steel fiber reinforced concrete,SFRC)是防护工程中最常用的结构材料,在爆炸、侵彻等强动载作用下,其往往处于高应变率的复杂应力状态. 目前,关于SFRC的动态力学性能的研究大多局限于一维应力和一维应变加载条件下,而关于三向应力状态下的冲击压缩特性研究较少. 该文采用基于连续-非连续介质力学的数值仿真软件GDEM-BlockDyna,模拟了围压对SFRC动态力学性能和破坏模式的影响. 结果表明:围压下SFRC的峰值应力和峰值应变均随着应变率的提高有不同程度的增大,但围压会抑制SFRC冲击压缩强度的率效应. GDEM能较逼真地模拟应变率和围压对材料动态力学的影响,与有限元方法相比,GDEM能够更好地模拟SFRC从完整到破坏的过程及特征,且对SFRC峰值应力后的破坏阶段的描述模拟更加准确.
斜向低速冲击载荷下多边形旋转拼接折纸管耐撞性研究
滕晨皓, 刘坤澎, 宋志博, 陈家玉, 周才华, 涂昕昊, 朱冬妹
2025, 46(5): 633-649. doi: 10.21656/1000-0887.450336
摘要(414) HTML (215) PDF(47)
摘要:
为提升车用碰撞盒斜向冲击载荷下耐撞性能,该文创新设计出了一种具有多边形旋转拼接折纸图案的折纸管构型,开展了落锤冲击试验及数值仿真分析. 研究发现,冲击载荷下新型折纸管较传统方管具有优异的耐撞性,且最终产生具有高耐撞性能的钻石模式. 另外,该文对新型折纸管开展了不同冲击角度下几何参数耐撞性影响研究,数值结果表明,新型折纸管折痕高度比和折痕长度比以及宽厚比的参数变化显著影响折纸管耐撞性,并引发不同变形模式;不同冲击角度下,新型折纸管的平均力Fave和峰值力Fmax虽然随着冲击角度θ的增大而逐渐下降,但峰值力Fmax的下降趋势较平均力Fave下降趋势更为显著,且折纸管在不同冲击角度下依旧表现出较高的载荷压溃率ηCFE. 进一步验证了多边形旋转拼接折纸管具有优异的斜向冲击吸能性能.
低阻抗试样动态加载试验相关问题研究
殷建平, 张晨旭, 孙若恒, 陈希曦, 苗应刚
2025, 46(5): 650-660. doi: 10.21656/1000-0887.450279
摘要(461) HTML (256) PDF(33)
摘要:
研究了Hopkinson杆开展低阻抗试样高应变率加载测试的关键问题:低阻抗透射信号有效采集和应力平衡问题. 综合前期研究基础,选用异质低阻抗透射杆并辅以原位标定半导体应变片技术,实现低阻抗试样高精度测试;结合应力波加载试样的过程重构计算和分析,获得了低阻抗试样的应力平衡历程和影响因素敏感性特征,并提出了类梯形入射波,可使低阻抗试样尽早实现应力平衡和恒定应变率加载. 研究结果表明:低阻抗有机玻璃杆/管作为透射杆并辅以半导体应变片可实现载荷低至数Newton的透射信号采集;低阻抗试样应力平衡历程依赖于其弹性波速,在类梯形入射波加载下,2倍特征时间上升沿时可实现应力平衡以及其后的恒定应变率加载;其可基于试样厚度设计实现不同应变率加载下的临界有效应变一致性.
考虑湿热老化的复合材料机匣包容性试验与数值分析
郑竟波, 张颖, 姜文龙, 韦林, 迟雪, 伊文昭, 刘璐璐, 陈伟
2025, 46(5): 661-675. doi: 10.21656/1000-0887.450289
摘要(383) HTML (192) PDF(42)
摘要:
为获得碳纤维增强树脂基复合材料(CFRP)机匣在服役环境下的包容特性,对其分别进行了湿热老化前后的两次高速冲击弹道试验,并建立了对应的机匣吸湿率分区湿热试验仿真模型与有限元高速冲击数值仿真分析模型. 结果表明:湿热老化作用对于CFRP机匣的抗冲击能力及能量吸收能力均有显著影响. 在高速冲击下,未湿热老化机匣的抗冲击能力及能量吸收能力优于湿热老化机匣. 高速冲击下,CFRP机匣的损伤形式主要以纤维和基体的拉伸失效为主,伴随着一定数量的纤维压溃和面内剪切失效,压缩失效基本没有出现,损伤出现在冲击区域附近,并沿机匣轴向与周向扩展. 此外,吸湿层的基体拉伸失效面积显著大于未老化层的基体拉伸失效面积,验证了湿热老化作用下基体力学性能的退化.
柔性电子器件元件阵列的热脉冲响应分析
卞纯燕, 杨文成, 缪馥星
2025, 46(5): 676-686. doi: 10.21656/1000-0887.460035
摘要(362) HTML (155) PDF(54)
摘要:
柔性电子器件在工作时产生的热量,导致元件发生变形,极易影响其功能性. 本研究建立了柔性电子器件元件阵列热脉冲响应的有限元分析模型,探讨了柔性电子器件元件封装层与基底层的层厚比对整体结构热稳定性的影响,以及柔性电子器件元件的热脉冲响应. 初步得到:当热脉冲载荷从50 W/m2增大至150 W/m2时,功能层中心单元温度上升约0.47%,热应力增大约25.87%;若封装层与基底层的层厚比从0.2增大到5.0,功能层中心单元的热应力降低约92%,热应变降低约99%,沿层厚方向的位移降低约86%. 初步结果可为柔性电子器件元件热脉冲载荷的优化设计和防护提供基础数据.
封面及目录
封面及目录
2025, 46(5).
摘要(333) PDF(290)
摘要: