• Scopus收录
  • CSCD来源期刊
  • 中文核心期刊

留言板

尊敬的读者、作者、审稿人, 关于本刊的投稿、审稿、编辑和出版的任何问题, 您可以本页添加留言。我们将尽快给您答复。谢谢您的支持!

姓名
邮箱
手机号码
标题
留言内容
验证码

2022年  第43卷  第12期

显示方式:
固体力学
变厚度连续纤维增强复合材料铺层设计优化方法
杜晨, 彭雄奇
2022, 43(12): 1313-1323. doi: 10.21656/1000-0887.420410
摘要(1591) HTML (541) PDF(149)
摘要:

由于具备高的比强度、比刚度,利用连续纤维增强复合材料代替传统金属材料以实现结构轻量化正受到设计者们的广泛关注。然而,结构的复杂性给复合材料的铺层设计与优化带来了很大的挑战。针对航空用复合材料铺层设计约束多的问题,通过逐步构建设计变量准确表达结构的铺层信息。基于经典遗传算法框架,结合各设计变量特点,定义了铺层优化算法中的遗传算子,通过引入“修复”策略保证了每一代解都能满足设计约束,分布在可行域区间内。最后利用精英保留策略提高了算法的局部寻优能力,可以降低复杂复合材料结构铺层设计的计算成本。通过解决经典benchmark问题并与已有优化结果的比较,验证了前述铺层优化算法的全局、局部寻优能力,为工程实际中的复合材料铺层设计优化提供了理论支撑。

基于变分模态分解的结构裂纹识别
杨启航, 李林安, 李利青, 米少瑄
2022, 43(12): 1324-1335. doi: 10.21656/1000-0887.420338
摘要(951) HTML (462) PDF(51)
摘要:

为完善桥梁损伤检测方法,进一步提高桥梁损伤识别的精度,以动载作用下带裂纹简支梁模型为研究对象,提出了一种不基于完整有限元模型的裂纹检测方法。该方法在不阻塞交通的前提下,仅需对简支梁跨中加速度响应进行分析处理,减少了实际工程中传感器的装卸及维护工作。同时,基于该模型推导出了简支裂纹梁跨中加速度解析式。在理论推导的支撑下,利用变分模态分解和Hilbert变换构造出了瞬时能量和均值能量差,这两个裂纹识别指标能够有效地识别出裂纹深度占比为5%的小裂纹。基于此,开展了不同轮载大小、环境噪声以及损伤程度对检测结果影响的研究。结果表明:① 瞬时频率对裂纹位置具有较好的识别效果;② 均值能量差对不同裂纹深度占比以及轮载大小具有一定的敏感度;③ 该方法具有较强的噪声鲁棒性。

时滞对磁通耦合及化学耦合神经元分岔及同步的影响
张洁, 李新颖, 杨宗凯, 达虎
2022, 43(12): 1336-1346. doi: 10.21656/1000-0887.420381
摘要(877) HTML (427) PDF(42)
摘要:

以化学突触耦合神经元模型为基础,讨论了抑制性及兴奋性条件下达到同步的区别及同步的类型。并根据磁通耦合对神经元放电的影响,讨论了具有时滞、磁通耦合和化学耦合Morris-Lecar (ML)神经元模型的放电状态、分岔类型及其同步情况。发现具有磁通耦合和化学耦合ML神经元系统在不同参数下会产生丰富的逆倍周期分岔或加周期分岔行为。而时滞的引入,虽然可以增加系统的周期性,但同时也会破环系统同步。相反,适当的耦合强度能够增加同步。

微裂纹群对主裂纹尖端损伤行为的影响
李煦, 苏睿, 张欢, 翁倩茹, 江晓禹
2022, 43(12): 1347-1358. doi: 10.21656/1000-0887.420333
摘要(1044) HTML (469) PDF(72)
摘要:

在单轴拉伸荷载作用下,运用Muskhelishvili复变函数法和逐步递推法对无限大平面内含一个主裂纹和多个任意分布的微裂纹问题进行求解,得到了裂纹尖端的应力场和应力强度因子K。在此基础上,结合损伤力学,重新定义了单轴拉伸条件下主裂纹和微裂纹尖端的损伤参量D,分析了不同的损伤区形式对主裂纹尖端损伤的影响。结果表明,正向链式和反向链式分布的微裂纹均对主裂纹尖端损伤有增强作用,并且主裂纹尖端的损伤参量随微裂纹的倾斜角度和裂纹间距的减小而增大。当微裂纹的倾斜角度较小时,主裂纹和微裂纹尖端损伤均有增强作用,并且主裂纹尖端损伤的增强作用随着微裂纹的长度增加而增大。在连续损伤区内,均匀分布的微裂纹对主裂纹尖端损伤的增强作用随着微裂纹的数量增加而逐渐增大。

流体力学
基于立体视觉和波浪理论的波面测量方法初探
李山, 李晔
2022, 43(12): 1359-1369. doi: 10.21656/1000-0887.430026
摘要(1247) HTML (548) PDF(94)
摘要:

波高是波浪信息最基本的元素,对波高的精确测量无论是对波浪理论的研究还是数值方法的拓展,都起着指导和验证的作用。文中基于双目立体视觉原理自主搭建了波面光学测量系统,突破了传统测量设备如浪高仪等单点测量的局限性,并将波浪理论融入到数据后处理方法中,对常用的单纯依赖图像的光学测量方法进行了改进。通过在拖曳水池中对单向规则波瞬时波面的识别和重构,并将结果与浪高仪以及理论来波参数进行了对比验证,结果表明该测量系统在大范围波面的测量中误差在1%左右,最后对其在非规则的来波下进行了初步尝试。

川渝裂缝性地层自动压井环空多相压力波速特性研究
孔祥伟, 刘祚才, 靳彦欣
2022, 43(12): 1370-1379. doi: 10.21656/1000-0887.430006
摘要(943) HTML (484) PDF(32)
摘要:

考虑虚拟质量力、环空沿程压力、气液相间阻力、气体滑脱、环空空隙率等因素,基于小扰动理论,提出了裂缝性地层自动压井环空多相压力波速数学模型,结合半显式差分方法,以彭州PZ-5-3D井(垂深5827 m)为实例,对模型编程求解。结果表明:裂缝性地层出气具有段塞流特点,随空隙率增大,压力波速呈现先减小后增大趋势;空隙率在0%至16%区间,压力波速以液弹为主,压力波速呈急剧下降趋势;空隙率在16%至40%区间,压力波速趋于平缓恒定值;空隙率在42%至100%区间,压力波速呈现增大趋势,压力波速以气弹为主;随环空井深减小,环空空隙率减小,压力波速整体呈现减小趋势;随压井循环排气井口回压增大,压力波速整体呈现增大趋势;环空空隙率在0%至13%区间内,气体滑脱速度对压力波速影响不大;环空空隙率在13%至85%区间内,随气体滑脱速度增大,压力波速呈现减小趋势;节流阀调阀时间间隔与井底压力响应时间具有跟随性,随井底压力响应时间增大,调阀时间间隔增大。

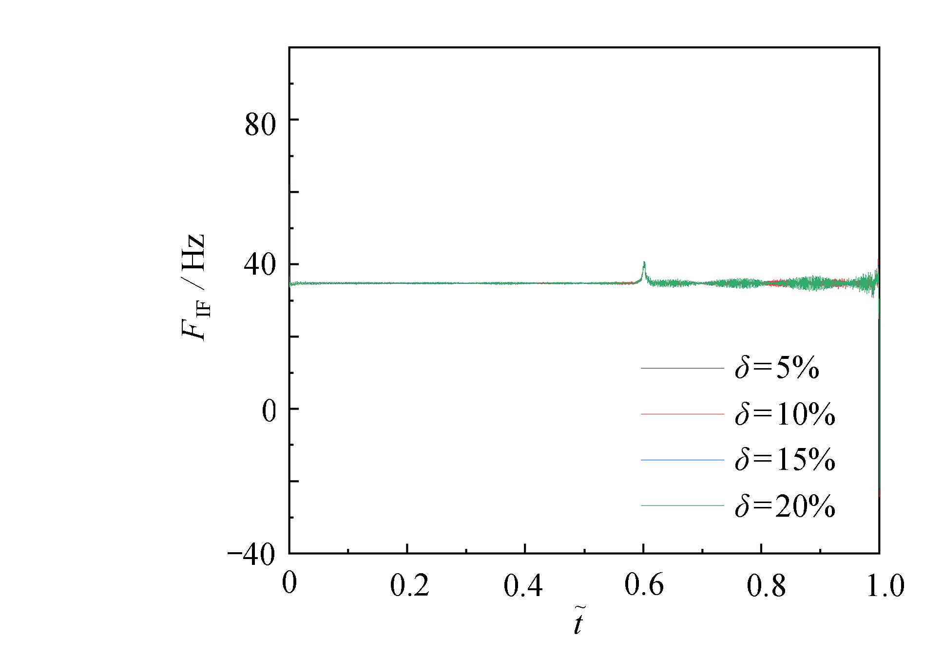
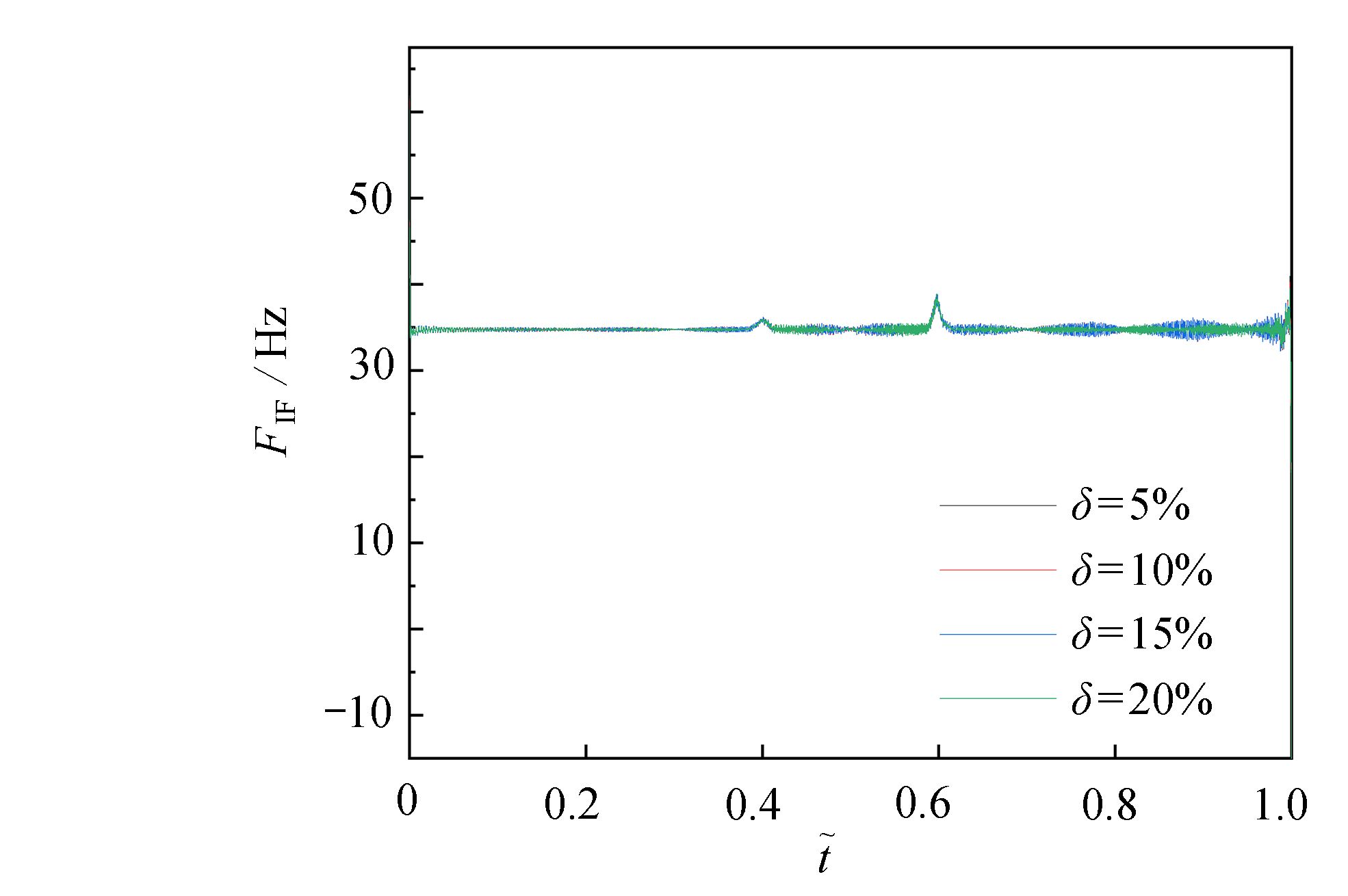
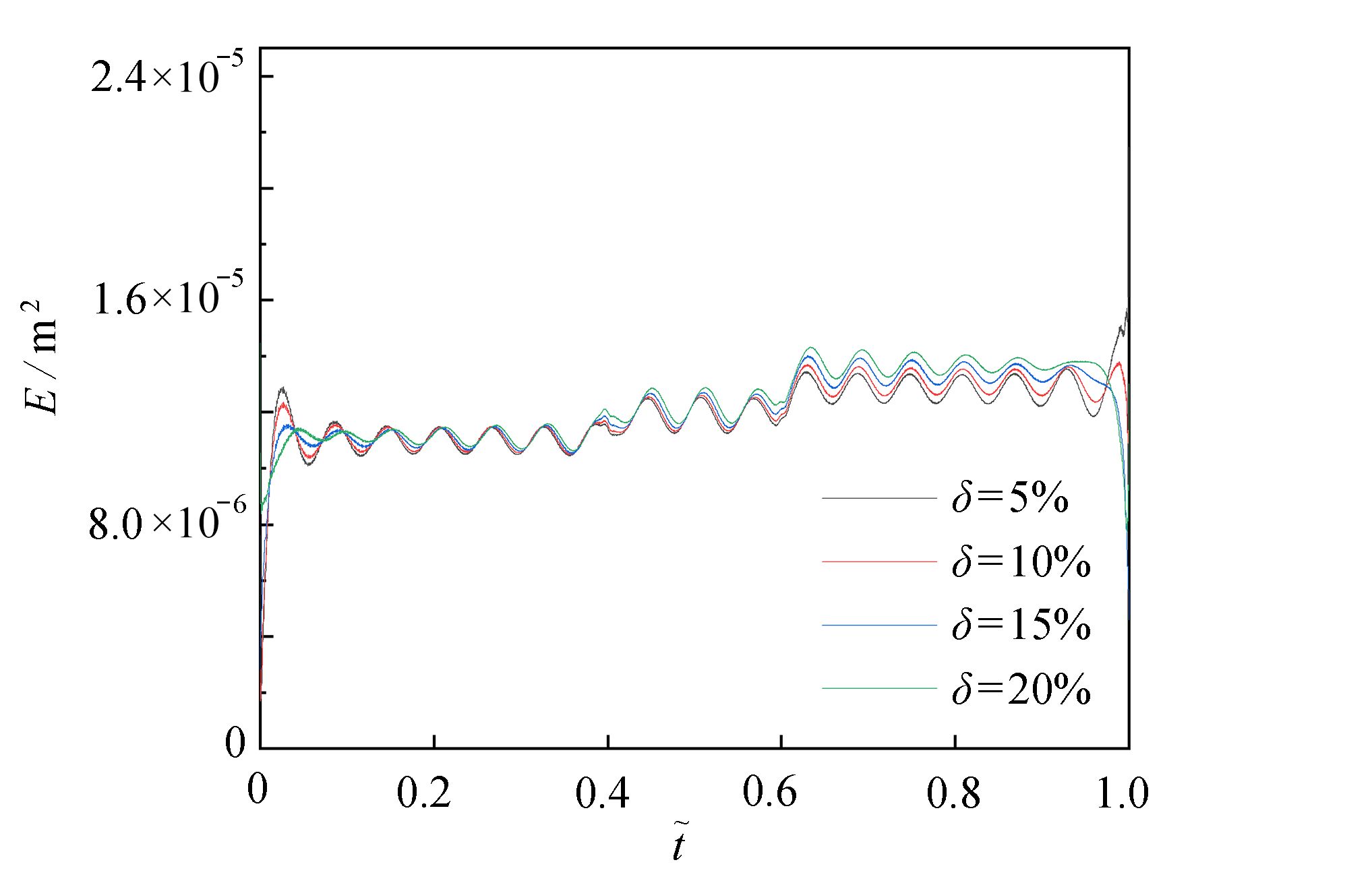
非等温黏弹性聚合物流体圆柱绕流的高精度数值模拟
庄昕, 刘付军, 孙艳萍, 王惠玲
2022, 43(12): 1380-1391. doi: 10.21656/1000-0887.430127
摘要(1168) HTML (531) PDF(75)
摘要:

采用同位网格有限体积(coupled and linked equations algorithm revised,CLEAR)方法求解黏性和XPP (eXtended Pom-Pom)黏弹性流动的控制方程,基于延时修正方法构造了动量和本构方程对流项的高精度AVLsmart格式。首先,为了验证该文方法的有效性,对不同Reynolds数下不可压黏性流体圆柱绕流问题进行了模拟。随后,对等温及非等温不可压XPP黏弹性流体圆柱绕流问题进行了有效模拟,给出了速度矢量、应力分量、拉升量以及温度的分布规律,分析了We数对水平速度、法向应力及拉升量的影响。该文研究成果能为精确预测复杂型腔纤维增强黏弹性聚合物熔体动态充填过程提供理论基础。

应用数学
一类随机对流扩散方程的反源问题
赵丽志, 冯晓莉
2022, 43(12): 1392-1401. doi: 10.21656/1000-0887.420399
摘要(952) HTML (476) PDF(74)
摘要:

考虑了一类由分数阶Brown运动驱动的随机对流扩散方程的源项反演问题。正问题部分首先利用分离变量法,得出了方程的温和解,进一步在期望的意义下,讨论了正问题的适定性。反问题部分研究了由终止时刻的随机数据来反演随机源项的部分统计量,并证明了相应的唯一性和不稳定性。最后进行了一些数值模拟,验证了相应的理论结果。

死区输入下未知严格反馈非线性系统自适应约束控制
宫赤坤, 汝青杨, 袁立鹏
2022, 43(12): 1402-1411. doi: 10.21656/1000-0887.430081
摘要(1025) HTML (562) PDF(63)
摘要:

研究了具有死区输入的预设约束未知高阶严格反馈非线性系统的控制问题,提出了一种基于免疫函数的自抗扰预设漏斗约束自适应控制策略。首先,针对系统内部的未知问题,采用免疫函数与扩张状态观测器结合对系统内部未知项进行观测;其次,通过Lyapunov方法与漏斗控制相结合设计控制器,使得跟踪误差能够维持在预先设定的漏斗约束范围内;同时,利用双曲正切函数速率变化快这一特性设计自适应控制律,引入指令滤波器避免反步法中重复求导问题,分析证明了闭环系统所有信号的有界性。仿真实例表明了控制方法的有效性。

粒子群优化与Kriging模型相结合的结构非概率可靠性分析
乔心州, 陈永婧, 刘鹏, 方秀荣
2022, 43(12): 1412-1421. doi: 10.21656/1000-0887.420308
摘要(1089) HTML (495) PDF(58)
摘要:

针对复杂结构可靠性分析中面临的隐式功能函数和小样本问题,提出了一种粒子群优化和Kriging模型相结合的结构非概率可靠性分析方法。采用多维椭球描述结构不确定参数,运用粒子群优化对模型相关参数进行求解,并构建隐式功能函数的Kriging模型进行可靠性分析。三个算例结果表明所提方法有效可行,精度和效率均优于基于Kriging模型的非概率可靠性分析方法。

广义算子下约束Hamilton系统的Noether定理
沈世磊, 宋传静
2022, 43(12): 1422-1433. doi: 10.21656/1000-0887.430091
摘要(1021) HTML (435) PDF(54)
摘要:

研究了广义算子下奇异系统的Noether对称性与守恒量。首先,建立了广义算子下奇异系统的Lagrange方程,并导出该系统的初级约束,然后引入Lagrange乘子建立了广义算子下约束Hamilton方程以及相容性条件。其次,基于Hamilton作用量在无限小变换下的不变性,建立了广义算子下约束Hamilton系统的Noether定理,并给出了该系统的对称性及相应的守恒量。在特定条件下,广义算子下约束Hamilton系统的Noether守恒量可以退化为整数阶约束Hamilton系统的Noether守恒量。最后举例说明了结果的应用。