• Scopus收录
  • CSCD来源期刊
  • 中文核心期刊

留言板

尊敬的读者、作者、审稿人, 关于本刊的投稿、审稿、编辑和出版的任何问题, 您可以本页添加留言。我们将尽快给您答复。谢谢您的支持!

姓名
邮箱
手机号码
标题
留言内容
验证码

2022年  第43卷  第4期

显示方式:
固体力学
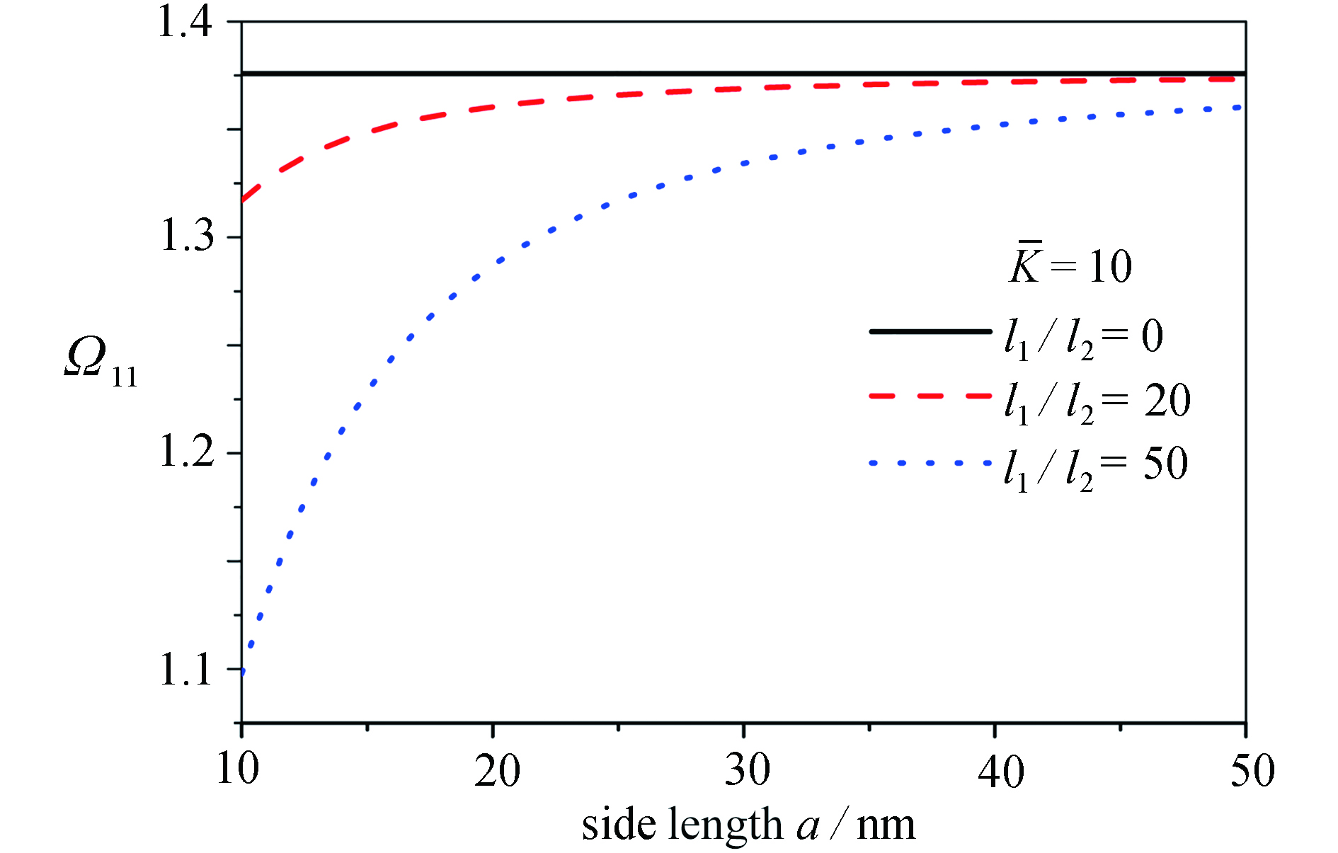
基于简化的应变梯度理论下Kirchhoff板模型边值问题的提法及其应用
徐晓建, 邓子辰
2022, 43(4): 363-373. doi: 10.21656/1000-0887.420286
摘要(1655) HTML (564) PDF(146)
摘要:

考虑应变梯度和速度梯度的影响,建立薄板控制微分方程及给出其边值问题的提法,修正了前人给出的薄板角点条件。采用Levy法,给出受分布力作用下简支板的挠度及自由振动频率的解析解。通过与文献中分子动力学数据对比,验证了该文模型的有效性并提出校核材料参数的一种方法。研究结果表明,增大弹性地基和应变梯度参数可以有效提高板的等效刚度,而速度梯度参数则相反。该文提出的板的边值问题为研究薄板在复杂支撑边界及外荷载等条件提供了理论依据。同时,有望为其有限元法、有限差分法和基于能量原理的Galerkin法等数值方法提供理论依据。

Hamilton力学下框筒结构剪滞翘曲位移模式研究
胡启平, 陈哲, 周娟
2022, 43(4): 374-381. doi: 10.21656/1000-0887.420088
摘要(1028) HTML (477) PDF(52)
摘要:

以等效连续化方法为基础,在Hamilton力学体系下进行框筒结构剪滞翘曲位移函数精度研究。选用不同类型的函数描述翼缘板的剪滞翘曲位移,考虑等效板的剪切变形以及纵向翘曲,得到不同位移函数下结构的总势能及对应的Lagrange函数。区别于传统变分法,该文在Hamilton力学体系下进行问题研究,导出框筒结构弯曲问题的Hamilton正则方程并利用精细积分法求解,进而计算出柱轴力并进行精度分析。算例验证结果表明:使用该方法分析框筒结构的剪力滞后效应是简单可行的;不同翘曲位移函数的选择对侧移计算结果影响不大,对轴力求解结果影响较大,二次抛物线最能反映等效翼缘板的实际翘曲位移;对比不同形式荷载作用下等效翼缘板中应力分布可知,随着外荷载合力作用点位置的升高,结构顶部负剪力滞后效应逐渐减弱至消失。

微分求积法分析平面接头应力奇异性
葛仁余, 张佳宸, 马国强, 刘小双, 牛忠荣
2022, 43(4): 382-391. doi: 10.21656/1000-0887.420218
摘要(975) HTML (437) PDF(53)
摘要:

对于双材料平面接头问题提出了一个分析应力奇性指数的新方法:微分求积法(DQM)。首先,将平面接头连接点处位移场的径向渐近展开格式代入平面弹性力学控制方程,获得了关于应力奇性指数的常微分方程组(ODEs)特征值问题。然后,基于DQM理论,将ODEs的特征值问题转化为标准型广义代数方程组特征值问题,求解之可一次性地计算出双材料平面接头连接点处应力奇性指数,同时,一并求出了接头连接点处相应的位移和应力特征函数。数值计算结果说明该文DQM计算平面接头连接点处应力奇性指数的结果是正确的。

流体力学
水槽动力特性数值模拟的新型局部无网格配点法
曾维鸿, 傅卓佳, 汤卓超
2022, 43(4): 392-400. doi: 10.21656/1000-0887.420246
摘要(1165) HTML (562) PDF(87)
摘要:

局部边界节点法是一种基于非奇异半解析基函数和移动最小二乘原理的新型无网格配点技术,该方法把每个节点处的未知变量表示为该点对应的局部子域内节点处物理量的线性组合,该文基于局部边界节点法对数值波浪水槽进行了研究。首先,通过基准算例确定了Laplace算子非奇异半解析基函数的合理形状参数值。进一步,基于合理的参数选取,用较少的离散节点即可成功模拟波浪传播行为,将得到的数值结果与其他文献数值结果比较,可以发现局部边界节点法用更少的局部点即可得到较好的数值结果。最后,以保护近海岸建筑物为目标,模拟了水下防波堤对波浪传播的影响。结果表明,当波浪与梯形防波堤发生作用后,波峰变得比较陡峭,而波谷变得相对比较平坦,为近海岸防波堤的相关研究和设计提供了数值参考。

隔水管注气双梯度钻井井筒参数计算研究
毛良杰, 张孝诚, 薛继彪, 詹宁, 刘君
2022, 43(4): 401-415. doi: 10.21656/1000-0887.420065
摘要(1130) HTML (512) PDF(42)
摘要:

基于隔水管注气双梯度钻井过程中隔水管环空多相流特性,建立了隔水管注气双梯度钻井环空多相流模型,采用有限差分法对模型进行求解,结合墨西哥湾某口深水井现场数据,分析了钻井参数对井底压力和环空压力的影响,并对注气流量的影响因素进行讨论。研究结果表明:隔水管注气双梯度钻井井底压力比常规钻井更低,更适用于海底窄密度窗口钻井;隔水管注气双梯度钻井在钻井过程中注气流量的大小对井底压力和环空压力影响较大;水深和钻井液密度是影响注气流量的两个重要因素。在隔水管注气双梯度钻井参数设计时,应选择合适的注气流量,且钻井液密度不宜过大,以确保隔水管注气双梯度钻井安全。该研究对隔水管注气双梯度钻井设计及现场作业具有指导意义。

含非线性阻尼的2D g-Navier-Stokes方程解的一致渐近性
王小霞
2022, 43(4): 416-423. doi: 10.21656/1000-0887.410398
摘要(937) HTML (486) PDF(54)
摘要:

研究了有界区域上含非线性阻尼的2D g-Navier-Stokes 方程解的一致渐近性,通过证明过程族的一致吸收集存在和一致条件(C)成立,得到了含非线性阻尼的2D g-Navier-Stokes 方程一致吸引子存在。

不对称裂缝单井渗流模型的Green函数构造方法
姬安召, 王玉风, 张光生
2022, 43(4): 424-434. doi: 10.21656/1000-0887.420237
摘要(984) HTML (486) PDF(54)
摘要:

不对称裂缝渗流规律可借助Green函数方法进行求解。根据基本渗流理论,建立了不对称裂缝点源数学模型,采用无因次化与Laplace变换,得到了Laplace空间的无因次点源数学模型微分方程。将未知Green函数与点源微分方程相结合,并考虑点源微分方程的齐次条件以及点源微分方程的特征,给出了如何构造Green函数使之满足点源微分方程齐次边界以及未知目标函数求解的一般方法。根据空间Green函数的对称性和连续性,得出了不对称裂缝点源模型Green函数的形式。最后通过不对称裂缝压裂直井渗流数学模型,验证了该文给出的Green函数两种形式与文献和商业试井分析软件Saphir的数值计算结果一致。

应用数学
基于Kolmogorov前向方程评估甲型H1N1流感疫情的动态变化
闫琴玲, 唐三一
2022, 43(4): 435-444. doi: 10.21656/1000-0887.420243
摘要(1092) HTML (604) PDF(118)
摘要:

基于个体水平的传染病模型可以揭示随机性在传染病疫情防控中的重要作用。研究此类模型的普遍方法是通过事件驱动的、大量重复的随机模拟来确定预测变量的范围。而基于Kolmogorov前向方程(KFE)研究个体水平的传染病模型,不仅不需要大量的重复模拟来确定预测变量的范围,而且可以同时考虑每种状态发生的概率。因此,基于2009年西安市第八医院甲型H1N1流感数据,建立了基于社交网络的个体决策心理模型,以确定行为改变率;进一步地,为得到传染病传播过程中各状态的概率分布,基于改进的个体SIR模型,通过Markov过程推导出KFE。结果表明:通过数值求解KFE可以得到整个爆发过程中每种状态发生的概率分布、最严重的时间段及相应的概率,从而能更快、更准确地了解甲型H1N1疫情的传播过程,因此有助于高效地进行甲型H1N1疫情防控。

登革热传播模型的最优综合控制研究
李雅芝, 刘利利
2022, 43(4): 445-452. doi: 10.21656/1000-0887.420258
摘要(1291) HTML (464) PDF(82)
摘要:

建立了一个登革热在蚊子和人之间传播的模型,引入了Wolbachia、自我保护和杀虫剂三种控制措施,分别从常数控制和时变控制两个方面进行探讨。首先,分析了常数控制对模型基本再生数的影响,研究发现:Wolbachia有助于减小基本再生数,且基本再生数与自我保护和杀虫剂呈负相关。其次,以使得感染数最少且实施成本最低为目标,使用Pontryagin极值原理讨论最优控制。最后,通过数值模拟展示了最优控制的效果。

具有Gilpin-Ayala增长的随机捕食-食饵模型的动力学行为
陈乾君, 蒋媛, 刘子建, 谭远顺
2022, 43(4): 453-468. doi: 10.21656/1000-0887.420203
摘要(1352) HTML (683) PDF(128)
摘要:

该文研究了一类具有Gilpin-Ayala增长的随机捕食-食饵模型的动力学行为,证明了系统全局正解的存在性和唯一性,得到了灭绝性和持久性的充分条件。在此基础上,给出了控制捕食-食饵系统随机持久和灭绝的阈值,并且讨论了系统解的一些渐近性态。最后通过数值模拟,验证了结果的有效性。

具有梯度源和非局部源的反应扩散方程解的爆破时刻下界
沈旭辉
2022, 43(4): 469-476. doi: 10.21656/1000-0887.420155
摘要(1237) HTML (528) PDF(95)
摘要:

对于反应扩散方程解的爆破时刻研究,不仅具有理论意义,而且与安全地控制生产,控制种群密度以及环境趋化治理等实际问题密切相关。该文考虑了一类具有梯度源和非局部源的反应扩散方程解的爆破时刻下界。首先,假设区域为高维空间中的具有光滑边界的有界凸区域;其次,通过构造合适的辅助函数,利用一阶微分不等式技术和Sobolev不等式,得出解在有限时刻发生爆破时的爆破时刻下界;最后,通过两个应用实例来解释说明文中所获得的抽象结论。