• Scopus收录
  • CSCD来源期刊
  • 中文核心期刊

留言板

尊敬的读者、作者、审稿人, 关于本刊的投稿、审稿、编辑和出版的任何问题, 您可以本页添加留言。我们将尽快给您答复。谢谢您的支持!

姓名
邮箱
手机号码
标题
留言内容
验证码

2023年  第44卷  第11期

热应力学专题
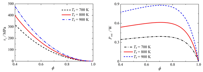
多孔泡沫热电器件断裂及其对能量转化性能的影响规律研究
崔有江, 王保林, 王开发
2023, 44(11): 1291-1298. doi: 10.21656/1000-0887.440147
摘要(926) HTML (365) PDF(78)
摘要:
热电器件能把废热转化为电能,减少二氧化碳排放,符合国家节能减排、逐步实现碳中和的发展需求. 该文通过建立多孔热电器件的热、电传导分析模型,解释了多孔热电泡沫高输出功率的内在机制,并揭示了几何结构及孔隙率对断裂破坏的影响机理. 在此基础上,阐明了断裂破坏对器件转化性能的影响规律. 研究发现,随着孔隙率的增加,热电泡沫与金属层之间的界面剪切应力减小. 同时,只要多孔热电泡沫的内部裂纹开始扩展就不会停止,直至器件完全破坏. 此外,随着裂纹扩展,输出功率呈现先增加后减小的趋势. 这是因为裂纹的形成间接增大了热电泡沫的孔隙率,导致器件与废热的接触面积增大,进而提高热电器件的输出功率;随着裂纹进一步扩展,其必然减弱热电器件的导热和导电性能,进而减小热电器件的输出功率.
多再入工况下一体化热防护系统拓扑优化设计
邓通相, 匡格平, 胡兆财, 唐光武, 杨强, 高博
2023, 44(11): 1299-1310. doi: 10.21656/1000-0887.440163
摘要(1055) HTML (407) PDF(74)
摘要:
一体化热防护系统(integrated thermal protection system, ITPS)需要同时满足承载与隔热的需求. 以波纹夹芯方案的ITPS为例,这需要其连接结构具有较高的力学性能与较低的热导率. 而再入环境的工况恶劣,如何合理地设计连接结构是ITPS性能提升的关键. 为解决这一问题,综合考虑了再入过程中气动热载荷最大时刻和气动压力载荷最大时刻对应的两种极端工况,以应变能和净传热速率的最小化作为目标函数,将质量作为约束条件,对ITPS的连接结构进行了拓扑优化. 随后对拓扑优化得到的构型重新建模并进行了热力耦合分析. 结果表明,拓扑优化得到的连接结构与文献中的初始波纹夹芯构型和单一工况下拓扑优化得到的构型相比,上面板的最大位移、下面板的温度和质量均有效降低. 由于材料用量的减少和结构复杂度的增加,连接结构在应力水平上有所增加,但仍满足使用需求. 这表明了考虑多再入工况的拓扑优化策略可以有效提升ITPS的刚度与隔热能力,缓解结构的热短路效应. 随着增材制造等相关技术的发展,拓扑优化在ITPS的连接结构以及其他的热结构设计中具有广阔的前景.
表面效应对热电材料中纳米孔周围热应力的影响
赵婕燕, 杨海兵
2023, 44(11): 1311-1324. doi: 10.21656/1000-0887.440151
摘要(917) HTML (396) PDF(60)
摘要:
基于完整Gurtin-Murdoch(G-M)低阶表面能模型,进一步探讨了纳米尺度下表面效应的影响. 建立了合理考虑构型变化的应力边界条件,实现了研究尺度从宏观到微观的转变. 利用复变函数理论和保角映射技术,构建了用于纳米尺度下的热-电-力理论框架模型,得到了热电基体中纳米孔周围热场、温度场以及应力场的半解析解. 数值结果表明,相对于完整G-M模型,简化G-M模型(忽略孔洞构型变化的影响)往往会高估表面效应和远场热电载荷对热应力分布的影响. 此外,表面效应的存在将在一定程度上缓解纳米孔周围的热应力集中.
功能梯度压电空心圆柱中分数阶热弹导波的频散和衰减特性
禹建功, 王开, 任小强, 王现辉, 张博
2023, 44(11): 1325-1340. doi: 10.21656/1000-0887.440144
摘要(800) HTML (311) PDF(62)
摘要:
基于分数阶热电弹性理论和Legendre多项式方法,构建了功能梯度空心圆柱中导波传播的数学模型. 讨论了分数阶次、压电效应、径厚比等对导波传播,特别是对其衰减的影响规律. 数值结果表明,压电效应对衰减的影响主要集中在截止频率和突变频率附近,并使得突变频率发生前移;分数阶对热波模态相速度和衰减的影响较大,且热波相速度存在模态交叉,在交叉频率点附近分数阶对相速度的影响相反;热波衰减随着分数阶增大而逐渐减小;第一阶纵向模态衰减受到了压电效应的抑制,其余模态衰减都显著增大,并且电开路受到的影响要比电短路状态大.
动力学及控制
磁场作用功能梯度壳体磁弹耦合动力学模型
胡宇达, 廖峰
2023, 44(11): 1341-1353. doi: 10.21656/1000-0887.440048
摘要(776) HTML (373) PDF(61)
摘要:
针对电磁场环境中金属-陶瓷功能梯度圆柱壳体结构,基于物理中面下的几何关系和Hooke定律,确定了圆柱薄壳体的非线性本构关系.根据Kirchhoff-Love弹性理论,给出了非均质弹性壳体的变形应变能、动能及其变分运算式.基于电磁弹性理论,得出了电磁场作用下磁性功能梯度壳体所受涡流Lorentz力和磁化力模型.应用Hamilton广义变分原理,建立功能梯度薄壳体的磁弹性耦合非线性振动方程组,得出了描述功能梯度结构的具有变形场与电磁场耦合特征的动力学理论模型.通过对磁场中功能梯度壳体固有振动问题的举例分析,得到了壳体振动特征方程和固有频率变化规律,表明磁场和材料体积分数指数的增大能够使频率值减小,而在周向波数影响曲线中出现频率最小值的情形.研究方法可为多场耦合系统理论建模及动力学分析提供参考.
弹性地基上多孔二维功能梯度材料微梁自由振动研究
赵英治, 唐怀平, 赖泽东, 章家杰
2023, 44(11): 1354-1365. doi: 10.21656/1000-0887.440050
摘要(816) HTML (314) PDF(66)
摘要:
基于修正偶应力和Timoshenko梁理论,利用Hamilton变分原理推导了Winkler弹性地基上多孔二维功能梯度材料(2D-FGM)微梁的振动控制方程, 采用微分求积法获得固支-固支(C-C)、简支-简支(S-S)边界条件下微梁的振动频率和基本振型, 对刚度矩阵进行数学处理后极大地提高了计算效率, 将该文模型退化为宏观和微观二维功能梯度模型且与已有文献对比验证其正确性.算例结果表明:该文数学模型适用于不同类型的二维材料分布;微梁的无量纲振动频率随着Winkler弹性地基模量的增大而增大; 在一定Winkler弹性地基模量下, 微梁的无量纲振动频率随着功能梯度指数、轴向功能梯度指数、孔隙率的增大而减小.材料变化对振动模态的影响随着振动模态阶数的增加而增加.同样参数下, 孔隙均匀分布时梁频率略小于孔隙线性分布的情况.
基于模态自适应的大变形多体系统动力学分析
刘泽斌, 李海艳, 詹宏远, 梁桂铭
2023, 44(11): 1366-1377. doi: 10.21656/1000-0887.430368
摘要(1151) HTML (379) PDF(60)
摘要:
柔性大变形系统在进行模态降阶时,若模态选取不当,会影响求解精度甚至导致求解结果发散.对此,提出了基于绝对节点坐标法(ANCF)的柔性大变形系统模态自适应选择方法.通过ANCF梁单元建立系统的动力学模型;利用全模态稀疏表示内部区域的坐标;根据Latin超立方抽样构建采样矩阵,作用于动力学方程,以减少方程的数量;以采样后的动力学方程作为约束,构造模态坐标范数优化问题;求解优化问题可以得到具有重大贡献的模态.通过两个实例表明:数值计算结果与常用方法的结果高度吻合并且求解效率显著提升.
应用数学
随机广义拟变分不等式的迭代解法及应用
王雁南, 曾嘉钦, 黄南京
2023, 44(11): 1378-1388. doi: 10.21656/1000-0887.440199
摘要(825) HTML (393) PDF(71)
摘要:
为了获得Hilbert空间中一类随机广义拟变分不等式的迭代解法, 证明了点到由具闭(凸)值的随机集值映射所刻画的变约束集上的投影算子的可测性.利用该可测性结果和可测选择定理, 构造了求解随机广义拟变分不等式的随机迭代算法.在单调性及Lipschitz连续性条件下, 获得了由算法生成的随机序列的收敛性.作为应用, 给出了随机广义Nash博弈和随机Walrasian均衡问题的一些刻画性结果.
含空隙的各向同性介质Helmholtz方程扰动问题的传输特征值
李诗璇, 刘立汉
2023, 44(11): 1389-1397. doi: 10.21656/1000-0887.440221
摘要(878) HTML (292) PDF(75)
摘要:
传输特征值在反散射唯一性理论中具有十分重要的意义.在含空隙的各向同性非均匀介质折射率扰动下,研究了Helmholtz方程传输特征值的存在性问题.首先,通过构造Neumann-Dirichlet算子,建立传输特征值问题的等价形式.然后,进一步构造特征值函数,将扰动的传输特征值问题转化为算子为零特征值的扰动问题.最后,利用隐函数定理的扰动方法证明传输特征值的存在性.
求解理想磁流体方程的四阶WENO型熵稳定格式
张成治, 郑素佩, 陈雪, 张蕊
2023, 44(11): 1398-1412. doi: 10.21656/1000-0887.440178
摘要(923) HTML (400) PDF(58)
摘要:
构造了一种用于求解理想磁流体方程的四阶熵稳定半离散有限体积格式.该格式空间方向上将高阶熵守恒通量与采用WENO重构的耗散项结合,得到高阶熵稳定通量.通过在耗散项中添加开关函数,使得数值通量具有更低的耗散并且高阶WENO重构满足符号性质.对用来控制磁场散度的源项采用中心格式离散,最终得到与熵守恒通量一致的高阶精度.几个一维、二维算例表明该格式无振荡,鲁棒性强,可以精确捕捉间断.
钟万勰先生生平
2023, 44(11): ⅰ-ⅹⅱ.
摘要(736) HTML (598) PDF(109)
摘要: