• Scopus收录
  • CSCD来源期刊
  • 中文核心期刊

留言板

尊敬的读者、作者、审稿人, 关于本刊的投稿、审稿、编辑和出版的任何问题, 您可以本页添加留言。我们将尽快给您答复。谢谢您的支持!

姓名
邮箱
手机号码
标题
留言内容
验证码

2024年  第45卷  第1期

封面及目录
2024, 45(1).
摘要(533) PDF(51)
摘要:
钱伟长讲座及学术交流会特邀论文
堆叠卫星的分离与重构动力学研究
孙加亮, 张晓亮, 金栋平
2024, 45(1): 1-11. doi: 10.21656/1000-0887.440222
摘要(965) HTML (382) PDF(105)
摘要:
堆叠卫星入轨后分离再重构是构建大型空间结构的有效手段之一. 使用自然坐标法建立堆叠卫星系统的动力学方程,具有方便处理卫星组装中固定约束的优点. 设置合适的堆叠卫星分离策略和组装策略,采用自旋分离实现了卫星以堆叠状态入轨后的无碰撞分离,使用PD控制结合势函数方法实现了卫星的逐步组装. 另外,采用优化算法计算了卫星之间的最小距离,用以精细确定排斥势的大小. 基于以上方法,仿真实现了卫星由堆叠状态分离到分段组装的全部过程,证明了所设计的分离和组装策略是有效的.
动力学及控制
多壁管增强泡沫铝结构动态响应及吸能性能研究
周睿, 张志家, 张旺, 张钱城, 魏欣, 随亚光, 王建强, 金峰
2024, 45(1): 12-24. doi: 10.21656/1000-0887.440186
摘要(860) HTML (408) PDF(86)
摘要:
为了提高泡沫铝吸能性能,该文将多壁管及泡沫铝材料相结合,提出了一种多壁管增强泡沫铝结构. 通过Hopkinson压杆试验以及有限元分析软件ABAQUS/Explicit,研究了泡沫铝、多壁管及其增强泡沫铝的动态压溃特性. 对比分析了泡沫铝复合多壁管前后的变形模式、吸能性能,并讨论了多壁管增强泡沫铝的应变率效应以及应变率对多壁管增强泡沫铝耦合增强作用的影响. 研究表明,有限元仿真能够较好地模拟试验结果. 测试结果表明所采用的泡沫铝应变率效应不明显,而多壁管及多壁管增强泡沫铝应变率效应较为明显,在高应变率下其能量吸收可进一步提升. 在动态冲击条件下,多壁管增强泡沫铝峰值力相比单一多壁管或泡沫有明显的耦合增强,其能量吸收相比单一多壁管及泡沫铝能量吸收之和提升10.34%. 通过研究多壁管增强泡沫铝的动态压溃特性,可为承载吸能构件的应用提供依据和参考.
点阵夹芯圆柱壳自由振动分析的波有限元方法
韩少燕, 高汝鑫
2024, 45(1): 25-33. doi: 10.21656/1000-0887.440130
摘要(750) HTML (316) PDF(78)
摘要:
针对点阵夹芯圆柱壳的自由振动分析发展了波有限元法. 首先基于自由波的传播规律,建立了点阵夹芯圆柱壳胞元的二维波有限元控制方程,相比于全尺寸有限元模型,显著缩减了控制方程的自由度规模;其次,基于Neumann级数推导了约束动刚度矩阵求逆的显式表达式,不仅可以提高计算效率,而且使得固有频率从控制方程中分离出来,从而将点阵夹芯圆柱壳的固有频率求解转化为单个胞元自由度规模的二次特征值问题;最后,根据结构振动模态与自由波的关系,给出了圆柱壳轴向和周向的波传播参数的表达式,进而求得点阵夹芯圆柱壳的固有频率和模态. 数值算例考虑了多种边界条件下的点阵夹芯圆柱壳自由振动问题,验证了该方法的正确性和高效性.
形状记忆合金蜂窝结构抗冲击性能研究
李金矿, 万文玉, 刘闯
2024, 45(1): 34-44. doi: 10.21656/1000-0887.440004
摘要(912) HTML (522) PDF(118)
摘要:
形状记忆合金(shape memory alloy,SMA)在外载荷作用下可发生伪塑性变形,利用这一特性设计了可重复使用的冲击吸能结构. 基于经典的形状记忆合金本构模型,建立了薄壁结构有限元模型,分析了不同类型蜂窝结构在不同冲击速度下的变形模式和能量吸收等动力特性,得到了具有最优能量吸收性能的形状记忆合金结构. 此外,对比形状记忆合金和传统金属铝蜂窝结构的吸能性能发现,在不同速度冲击下,不同结构形式的形状记忆合金蜂窝同铝蜂窝在能量吸收方面具有较大差异,最优结构发生改变. 该文成果可为形状记忆合金抗冲击蜂窝结构的选型和设计提供参考.
固体力学
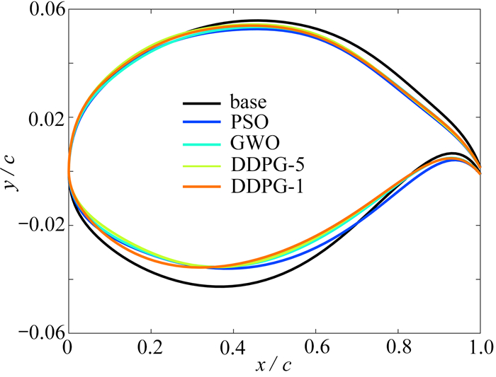
DDPG方法在抖振约束下变弯度翼型/机翼设计的应用研究
周思历, 孙刚, 王聪
2024, 45(1): 45-60. doi: 10.21656/1000-0887.440204
摘要(961) HTML (473) PDF(64)
摘要:
变弯度技术可以提升巡航多升力系数工况下的升阻性能,对于提高整段巡航的经济效益具有重要意义. 构造了光滑连续的流动分离函数约束翼型抖振性能,结合变弯度技术与人工神经网络代理模型搭建了某机翼截面翼型的巡航多升力系数工况优化模型. 应用深度确定性策略梯度(DDPG)方法优化此模型,实现了抖振约束下6.8%的巡航平均升阻比提升,优于粒子群和改进灰狼算法对此模型的优化结果. 以优化前后翼型分别生成锥形后掠翼,验证了二维翼型变弯度优化对三维机翼的贡献.
带襟翼导轨翼肋后缘尺寸-拓扑综合优化的摄动神经网络代理模型法
谢川, 徐超, 周丹发, 姚卫星
2024, 45(1): 61-71. doi: 10.21656/1000-0887.440033
摘要(814) HTML (505) PDF(68)
摘要:
带襟翼导轨的翼肋后缘设计需要确定肋缘条、腹板的尺寸和肋腹板的拓扑形状,对此提出了一种针对尺寸-拓扑综合优化的摄动神经网络(perturbation neural network, PNN)代理模型法. 其基本思想是基于拓扑优化对参数的敏感性,引入了对试验设计(design of experiments, DOE)样本点的摄动,通过过滤手段捕获拓扑突变点,并降低数值噪声,极大地提高了代理模型的预测精度,将拓扑优化过程作为黑盒,直接建立起尺寸变量与拓扑优化后结构响应的代理模型. 最后在代理模型上进行优化,得到了结构尺寸与拓扑形状的最优组合. 该文完成了一个翼肋后缘优化典型算例,证明了该方法的有效性和优越性.
考虑Gauss移动热源瞬态效应的传热结构拓扑优化
周崇伟, 赵清海, 陈建良, 时高松
2024, 45(1): 72-84. doi: 10.21656/1000-0887.440126
摘要(1110) HTML (402) PDF(90)
摘要:
针对热源位置随时间发生变化的结构热传导问题,考虑Gauss移动热源进行瞬态热传导拓扑优化设计. 分别以整个时间历程内传热结构散热弱度最小化与区域温度最大值最小化为设计目标,体积分数为约束条件,采用伴随变量法推导目标函数与约束条件的敏度信息,借助移动渐进线法更新设计变量,研究了不同Gauss热源移动路径与移动速度对拓扑优化结果的影响. 结果表明,瞬态拓扑结构相较于稳态结果具有明显时变性,同时最佳传热构型受到热源加热时间和移动速度及路径的多重影响.
空穴效应下泡沫金属复合相变材料热性能数值模拟
潘涵婷, 许多, 徐洪涛, 罗祝清
2024, 45(1): 85-96. doi: 10.21656/1000-0887.440082
摘要(675) HTML (451) PDF(73)
摘要:
在三维泡沫金属复合相变材料(PCM)基础上,构建了随机分布空穴模型,采用多松弛时间格子Boltzmann方法,从孔隙尺度分析了不同空穴体积分数、分布位置及泡沫金属与PCM导热系数比下的空穴效应. 结果表明,随着空穴体积分数的增加,减缓了复合PCM的传热速度,并降低了潜热储能的能力. 在Fourier数Fo=0.7时刻下,当空穴体积分数分别为2.4%,7.6%和11.7%时,相较于无空穴情况下的储热量分别减少了3.2%,9.0%和13.0%. 当体积分数为3%的空穴集中在热壁面侧时,其对复合PCM熔化过程的阻碍作用最显著,此时空穴层相当于绝热层,使复合PCM的整体熔化时间延长了6.1%. 为削弱空穴效应,可选择导热系数比超过100的泡沫金属骨架来提高其在传热中的主导作用.
流体力学
含孔板微通道内随流气泡运动的两相格子Boltzmann模拟
丁弘毅, 王治云, 赵敬帅, 王楠, 娄钦
2024, 45(1): 97-109. doi: 10.21656/1000-0887.440099
摘要(777) HTML (336) PDF(57)
摘要:
带有气泡的两相流系统存在于各种工业过程中,涉及复杂的相界面变化,但气泡在管道中伴随液相流动时,通过孔板的运动过程尚未有充分的研究结果.相场格子Boltzmann模型在模拟复杂界面方面具有优势,适合研究气泡两相流在含孔板微通道内的运动,分析We数、气泡相对大小和孔板表面润湿性等因素对气泡动力学特性的影响.数值计算结果显示,随着We数增加,气泡表面张力减小,导致其穿过孔板结构时更易被撕裂,峰值速度降低.在研究的参数范围内存在两个临界直径比,这两个临界值将气泡通过孔板的运动分成三种形态,而且临界直径比会随We数的增加而减小.另外,随着接触角的增大,孔板表面对气体的吸附能力加强,气泡与孔板表面的接触面积增加,引起穿过孔板气泡的质量减少和气泡通过的速度增加.
非均匀磁场下Maxwell磁纳米流体的拉伸流动与磁扩散分析
吴学珂, 刘春燕, 白羽, 张艳
2024, 45(1): 110-119. doi: 10.21656/1000-0887.440164
摘要(714) HTML (352) PDF(62)
摘要:
磁性纳米颗粒可以提升聚合物的导电性和导热性等性能,被广泛应用于机械、生物医学、能源存储等领域.当外界施加非均匀磁场时,感应磁场在高Reynolds数的情况下不可忽略.为探究磁性纳米颗粒对层流边界层内黏弹性流体非稳态拉伸流动与磁扩散的影响,将时间分布阶Maxwell本构方程与动量方程耦合,建立了二维不可压缩Maxwell磁纳米流体的速度与磁扩散偏微分方程组.采用有限差分法进行数值分析,通过控制磁性纳米颗粒种类、体积分数和磁参数大小,分析了流体的速度和感应磁场在边界层内的分布.研究发现:在熔融聚合物中添加Fe2O3纳米颗粒后,流体的速度、感应磁场最大,速度和磁边界层的厚度最厚;Maxwell纳米流体的松弛时间参数增大,速度与磁扩散均减小;另外,随着磁参数增大,流体的速度边界层厚度减小,磁边界层厚度增大;Fe3O4纳米颗粒的体积分数越大,流体流动越快,感应磁场越小.因此,非均匀磁场下在聚合物中添加磁性纳米颗粒的研究,为改善材料的性能给予了可参考的数据.
基本流纬向切变下的稳定辐射斜压位涡
刘楠, 宋健
2024, 45(1): 120-126. doi: 10.21656/1000-0887.440168
摘要(577) HTML (301) PDF(52)
摘要:
在大尺度垂直剪切中,嵌入一类新的、稳定传播的斜压涡旋,它辐射的Rossby波没有衰减.通过考虑Beta平面上的两层模型为基础,利用纬向二次剪切流与稳定辐射斜压流体之间的色散关系变化,进行数值模拟,得出了二次剪切流对稳定辐射斜压位涡(potential vorticity, PV)不稳定性的影响; 同时涡旋产生的Rossby波,引起经向涡旋的传播及其他相干的热流; 对于亚热带海洋向西流,随纬度变化,通过三角函数近似解,给出相应Bessel函数数值解,得到二次剪切流使得上层PV梯度的减少,持续延长了涡旋的寿命.