2022 Vol. 43, No. 11

A Special Topic on Applied Mathematics and Mechanics Related to Energy Storage Technology
Design of the Battery Thermal Management System With Phase Change Material Coupled Cold Plates
HUANG Qin, YU Lingfeng, CHEN Kai
2022, 43(11): 1195-1202. doi: 10.21656/1000-0887.430278
Abstract(1241) HTML (539) PDF(95)
Abstract:

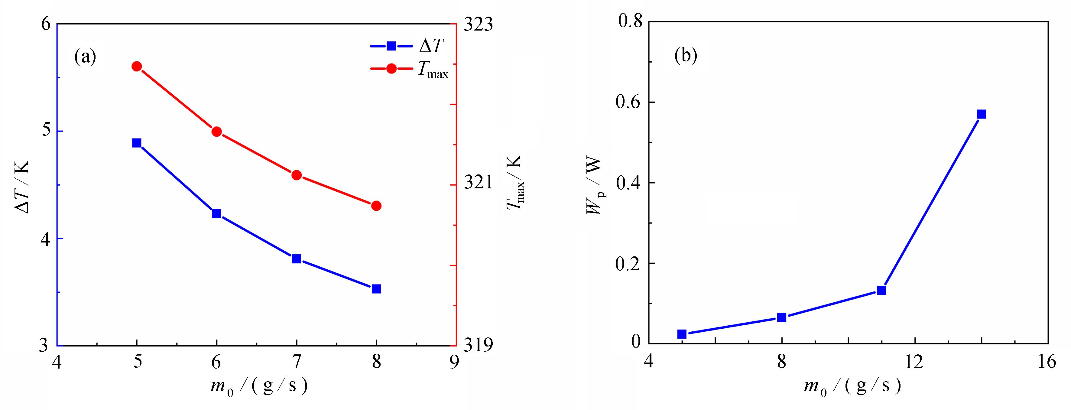
The battery thermal management system with phase change material coupled cold plates was investigated with the numerical simulation method. The results show that, the temperature and temperature difference of the battery pack decreases with the increase of the flow rates of the cold plate in the system, while the power consumption of the cold plate significantly increases, which leads to poor efficiency of the system. To improve the efficiency of the coupled thermal management system, an adjusting strategy was introduced to optimize the thickness distribution of phase change materials with the system volume fixed. The optimized results of typical cases show that, the optimal phase change material thickness distribution can be obtained by only 5 adjusting steps. Compared with the original system, the maximum temperature of the battery pack drops by 1.1 K and the temperature difference narrows down by 29% after the optimization. To achieve the same temperature difference in the battery pack, the power consumption of the optimized system lowers down by 64% compared with that of the original system.

Impact Responses of Prismatic Lithium-Ion Battery Based on the Membrane Factor Method
ZHANG Xinchun, WANG Junyu, WANG Yulin, HUANG Zixuan, WANG Kai, QIN Jiangyi
2022, 43(11): 1203-1213. doi: 10.21656/1000-0887.430289
Abstract(1164) HTML (460) PDF(68)
Abstract:

Aimed at the internal short circuit problem due to large deformation of the prismatic lithium-ion battery cell under impact loadings, a simplified battery model was first established. Then the motion equations of velocity and displacement based on the membrane factor method were proposed. With the effects of the face-sheet thickness and the densification region on the normalized final deflection, impact response characteristics of prismatic battery cells were investigated in detail. The results show that, the improved motion equations involving the membrane factor can reflect the dynamic response mechanisms of the prismatic battery cell under impact loadings, and the large deflection under high-speed impact can be predicted. With the increase of the face-sheet thickness, the deflection of the battery cell’s lower part decreases obviously. However, the densification region expands with the face-sheet thickness. The deflection and the densification region of the cell’s lower part both increase with the inner core density of the battery. This proposed impact model provides a theoretical guidance for the multi-functional integrated dynamic design of prismatic battery cells.

Modeling of Electric Vehicles as Mobile Energy Storage Systems Considering Multiple Congestions
YAN Haoyuan, ZHAO Tianyang, LIU Xiaochuan, DING Zhaohao
2022, 43(11): 1214-1226. doi: 10.21656/1000-0887.430303
Abstract(1102) HTML (502) PDF(65)
Abstract:

To realize the optimal operation of urban coupled transportation power systems underthe road, charging facilities, and transmission line congestions, a dynamic optimal traffic power flow (DOTPF) model was formulated under congestions. Based on the time space network (TSN) approach, a novel TSN with queues was proposed, considering the moving, parking, charging, and queueing state transitions. A vehicle routing problem was formulated for electric vehicles (EVs) and further incorporated into the dynamic traffic assignment problem (DTAP), reducing the traffic demand losses. With security and reserve constraints, a dynamic security-constrained carbon dioxide-oriented optimal power flow (OPF) problem was formulated to reduce the carbon emission and generation cost, by optimizing the scheduling of thermal units and energy storage systems. A multi-objective DOTPF problem was formulated, and further reformulated into a convex mixed-integer quadratic programming problem. The effectiveness of the proposed DOTPF was verified based on the simulation results on coupled IEEE-30 and Sioux Falls system.

Normalized Dynamic Characterization and Application of Multiple Heat Storage Materials Based on Standard Thermal Resistance
HAO Junhong, WU Xuefeng, ZHANG Shining, TIAN Liang, GE Zhihua
2022, 43(11): 1227-1237. doi: 10.21656/1000-0887.430231
Abstract(914) HTML (416) PDF(54)
Abstract:

Based on the standard thermal resistance and the heat current method, the transient heat transfer thermal resistance between the heat storage material and the heat transfer fluid was deduced. With the analog circuit analysis method, the transient heat current model and dynamic response time constants of heat storage-heat exchange processes were obtained. Based on this model, the node temperature was introduced for refining the heat transfer thermal resistance, and the transient heat current model for the 3rd-order circuit coupled with the heat storage and heat transfer processes was obtained. Numerical simulation verification and application comparison indicate that, the normalized dynamic model based on multiple time constants is feasible to characterize the dynamic characteristics of heat storage materials, and can directly compare and analyze different heat exchange and heat storage materials. The case study shows that, for the heat exchange with solid heat storage materials, the liquid metal has better dynamic heat exchange capacity than the molten salt, while for the heat exchange with ceramic materials, the air reaches the steady state faster than water vapor and CO2.

Topology Optimization of Fins for Rapid Heat Storage and Release in Triangular-Inside Tube Units
HUANG He, GAO Jiaxu, REN Zhibin, ZHAO Ming
2022, 43(11): 1238-1248. doi: 10.21656/1000-0887.420198
Abstract(1121) HTML (606) PDF(72)
Abstract:

A triangular-inside tube accumulator was proposed to solve the problem of low heat transfer rates of traditional phase change accumulators. Based on the topology optimization, the fins were designed for the purpose of enhancing heat transfer, and the topological results were reconstructed, with the topological characteristics extracted to redesign the fin configuration, and the heat transfer capacities of different fin configurations analyzed. The results show that, the triangular-inside tube accumulators have significant advantages of heat storage and release performances over the traditional circular tube accumulators; the accumulators with topologically reconstructed fins can shorten the heat storage and release time and improve the heat transfer efficiency; in the heat storage process, the bifurcated topology characteristics can improve the natural convection; during the heat release process, the accumulators with topologically reconstructed fins are less entransy dissipative, more reversible and more efficient.

Improved Quasi-Steady-State Approximation Analysis of Stefan Problems Under 2nd-Kind Boundary Conditions
YANG Xiaohu, LI Shaodan, CHEN Kai
2022, 43(11): 1249-1258. doi: 10.21656/1000-0887.420141
Abstract(970) HTML (503) PDF(75)
Abstract:

Improved quasi-steady-state approximation solutions were obtained for Stefan problems under the 2nd-kind boundary conditions, both in Cartesian and cylindrical coordinates, based on the traditional quasi-steady state approximation and the 1st law of thermodynamics. For the Cartesian coordinate condition, the solution has high accuracy, and is convenient for practical use for its explicit form. For the cylindrical coordinate solution, the presented approximation solution is the only solution reported in the related literatures. The proposed improved solutions take sensible heat into consideration and greatly promote the accuracy of traditional methods, and enrich the analysis methods for the Stefan problems, with definite physical meaning of a useful reference for quick preliminary calculation of practical problems.

Solid Mechanics
Thermal Shock Crack Propagation of Alumina Simulated With the Phase-Field Method Under Temperature-Dependent Damage Criteria
YANG Guoxin, ZHENG Shifeng, LI Dingyu, LI Weiguo
2022, 43(11): 1259-1267. doi: 10.21656/1000-0887.430133
Abstract(1144) HTML (638) PDF(130)
Abstract:

The mechanical properties of alumina ceramic materials are significantly affected by temperature, so it is necessary to consider the temperature dependence of the damage criteria during the simulation of thermal shock crack propagation with the phase-field method. Based on the existing thermodynamic phase-field model, the governing equations for the phase-field model were modified through introduction of the temperature-dependent damage criterion. Then the revised phase-field model was used to simulate the thermal shock experiment of alumina ceramics, and the simulation results were compared with the experimental results and the finite element simulation results without temperature-dependent damage criteria. The results show that, introduction of the temperature-dependent damage criterion helps more reasonably simulate the initiation and propagation process of thermal shock crack.

Intelligent Crack Recognition Based on XFEM and GA-BP Neural Networks
MAO Xiaomin, ZHANG Huihua, JI Xiaolei, HAN Shangyu
2022, 43(11): 1268-1280. doi: 10.21656/1000-0887.420250
Abstract(1186) HTML (678) PDF(79)
Abstract:

Based on the extended finite element method (XFEM) and the error back propagation (BP) multilayer feedforward neural network algorithm optimized by the genetic algorithm (GA), an inverse analysis model for identifying cracks in structures was established. The GA-BP neural network was trained by the displacement data of measuring points obtained by the XFEM forward analysis, and the network was used for crack inverse identification. The feasibility and accuracy of the model were verified with 2 typical examples, and the effects of the mesh density, the measuring point layout and the input data noise on the accuracy of network recognition were discussed. The results show that, the proposed method can invert the geometric information of straight cracks, which is the major focus of linear elastic fracture mechanics, and has good noise tolerance. Besides, the GA-BP neural network has higher accuracy than the traditional BP neural network in general.

Applied Mathematics
Switching Control of Nonlinear Systems Based on the Quasi-ARX Model and the SVR Algorithm
WANG Lan, DONG Yiping, CAO Jinde
2022, 43(11): 1281-1287. doi: 10.21656/1000-0887.430122
Abstract(988) HTML (485) PDF(57)
Abstract:

A nonlinear switching control method was proposed based on an improved quasilinear autoregressive with exogenous inputs (quasi-ARX) radial basis function (RBF) network model and the support vector regression (SVR) algorithm. The RBF network was chosen as the nonlinear part of the improved quasi-ARX prediction model. The proposed controller design method was divided into 3 steps: firstly, the nonlinear parameters of the model were determined with the clustering method; secondly, the linear SVR algorithm was used to solve the robustness problem of the control system; thirdly, the switching criterion function was given based on the control error, and the control sequence were determined according to the switching law. Finally, a numerical example was given to verify the effectiveness of the proposed method.

Exact Solutions to Space-Time Fractional Fokas-Lenells Equations With Parameters
LIU Yangxiu, HU Yanxia
2022, 43(11): 1288-1302. doi: 10.21656/1000-0887.420322
Abstract(1247) HTML (532) PDF(129)
Abstract:

The exact solutions to the space-time fractional Fokas-Lenells equations with parameters in nonlinear optics were obtained by means of the complete discrimination system for polynomial method, including rational function solutions, periodic solutions, solitary wave solutions, Jacobi elliptic function solutions and hyperbolic function solutions. The relevant graphs of the exact solutions were drawn, and the influence of parameters on the structure of the solution was analyzed.

Source Identification for the Time-Fractional Diffusion Equation With Robin Boundary Conditions
CUI Jianxuan, SHI Chengxin, LIU Mian, CHENG Hao
2022, 43(11): 1303-1312. doi: 10.21656/1000-0887.430004
Abstract(1165) HTML (669) PDF(91)
Abstract:

The source term identification for the time-fractional diffusion equation with Robin boundary conditions was studied. Since the ill-posedness of this problem, an iterative regularization method was constructed to calculate the regularized approximate solution of the source term. The error estimates between the regularized approximate solution and the exact solution were given under the priori and the posteriori regularization parameter choice rules. Numerical examples verify the effectiveness of the proposed method.