2022 Vol. 43, No. 4

Solid Mechanics
Boundary Value Problems of a Kirchhoff Type Plate Model Based on the Simplified Strain Gradient Elasticity and the Application
XU Xiaojian, DENG Zichen
2022, 43(4): 363-373. doi: 10.21656/1000-0887.420286
Abstract(1726) HTML (598) PDF(150)
Abstract:

A new type of thin plate model and the related nonclassical boundary value problems were established within the framework of strain gradient and velocity gradient elasticity. The closed-form solutions of deflections and free vibrational frequencies of a simply supported plate resting on an elastic foundation were obtained. The results of the present model agree well with those predicted by the molecular dynamics. Numerical results show that, the elastic foundation and the strain gradient parameter have a stiffness-hardening effect, while the velocity gradient parameter has a stiffness-softening effect. The proposed boundary value problems are of great significance to the study of the mechanical behaviors of plates under complex boundary conditions and external loadings. Furthermore, it will be useful for developing effective numerical methods such as the finite element method, the finite difference method and the Garlerkin method.

Research on Shear Lag Warping Displacement Modes of Frame-Tube Structures Based on the Hamiltonian Mechanics
HU Qiping, CHEN Zhe, ZHOU Juan
2022, 43(4): 374-381. doi: 10.21656/1000-0887.420088
Abstract(1081) HTML (503) PDF(56)
Abstract:

Based on the equivalent continuity method, the accuracy of the shear lag warping displacement functions for frame-tube structures was studied under the Hamiltonian mechanics. Different types of functions were selected to describe the shear lag warping displacement of the flange plate, and the shear deformation and longitudinal warping of the equivalent plate were considered. The total potential energy of the structure and the corresponding Lagrangian function under different displacement modes were obtained. Not with the traditional variational methods, the problem was studied under the Hamiltonian mechanics system. The Hamiltonian canonical equation for the frame-tube structure was derived and solved with the precise integration method, then the column axial force was calculated and the accuracy was analyzed. The verification results of the calculation examples show that, this method is simple and feasible to analyze the shear lag effects of the frame-tube structures. The choice of different warping displacement functions has little effect on the lateral displacement calculation results, but has great influence on the axial force solution, and the quadratic parabola can best reflect the actual warping displacement distribution of the flange. Comparison of the stress distributions in the equivalent flange under different types of loads indicate that, with the increase of the position of the external load resultant force, the negative shear-lag effect on the top gradually weakens to disappear.

Analysis on Stress Singularity of Plane Joints With the Differential Quadrature Method
GE Renyu, ZHANG Jiachen, MA Guoqiang, LIU Xiaoshuang, NIU Zhongrong
2022, 43(4): 382-391. doi: 10.21656/1000-0887.420218
Abstract(1047) HTML (466) PDF(58)
Abstract:

A novel differential quadrature method (DQM) for analysis of the stress singularity index was proposed. Firstly, the radial asymptotic expansion scheme of the displacement field at the connection point of the plane joint was substituted into the governing equation of plane elasticity, and the eigenvalue problem of ordinary differential equations (ODEs) about the stress singularity index was obtained. Then, based on the DQM theory, the eigenvalue problem of ordinary differential equations was transformed into the eigenvalue problem of standard generalized algebraic equations. The stress singularity index at the connection point of the bi-material plane joint was calculated at one time, and the corresponding displacement and stress characteristic functions at the connection point were obtained at the same time. The numerical results show that, the DQM is correct in calculation of the stress singularity index at the connection point of the plane joint.

Fluid Mechanics
A Novel Localized Meshless Collocation Method for Numerical Simulation of Flume Dynamic Characteristics
ZENG Weihong, FU Zhuojia, TANG Zhuochao
2022, 43(4): 392-400. doi: 10.21656/1000-0887.420246
Abstract(1225) HTML (599) PDF(93)
Abstract:

The localized boundary knot method (LBKM) is a novel meshless collocation technology based on the non-singular semi-analytical basis functions and the moving least squares theory, and expresses the unknown variable at each knot as a linear combination of physical quantities at nodes inside its corresponding local subdomain. The LBKM was used to study the numerical wave flume. Firstly, the appropriate shape parameters for the non-singular semi-analytical basis functions of the Laplace operator were derived by the benchmark example. Further, the numerical results obtained with fewer nodes and appropriate parameters were in good agreement with the referential results. Finally, the effects of the underwater breakwater on wave propagation were investigated to protect coastal buildings. The results show that, when the wave interacts with the trapezoidal breakwater, the wave crest will become steeper, and the wave trough will become relatively flatter, which provides a numerical reference for the research and design of the coastal breakwater.

Research on Calculation of Riser Gas Injection Dual-Gradient Drilling Wellbore Parameters
MAO Liangjie, ZHANG Xiaocheng, XUE Jibiao, ZHAN Ning, LIU Jun
2022, 43(4): 401-415. doi: 10.21656/1000-0887.420065
Abstract(1209) HTML (559) PDF(47)
Abstract:

Based on the characteristics of multiphase flow in riser annulus during dual-gradient drilling with riser gas injection, a multi-phase flow model for the riser gas injection dual-gradient drilling wellbore was established. The model was solved with the finite difference method and combined with the actual parameters of a deep water well in the Gulf of Mexico. The influences of drilling parameters on the bottom hole pressure and the annulus pressure, and the influence factors on the gas injection flow rate were discussed. The research results show that, the bottom hole pressure of dual-gradient riser gas injection drilling is lower than that of conventional drilling, and is more suitable for subsea narrow-density window drilling; the magnitude of the gas injection flow rate during the dual-gradient riser gas injection drilling process has great effects on the bottom hole pressure and the annulus pressure, and the water depth as well as the drilling fluid density are 2 important factors influencing the gas injection flow. In the design of the dual-gradient drilling parameters for riser gas injection, the appropriate gas injection flow rate should be selected and the drilling fluid density should not be too large to ensure the safety of dual-gradient riser gas injection drilling. The research has guiding significance for the design of dual-gradient drilling with riser gas injection and field operations.

Uniform Asymptoticity of the Solution to the 2D g-Navier-Stokes Equation With Nonlinear Damping
WANG Xiaoxia
2022, 43(4): 416-423. doi: 10.21656/1000-0887.410398
Abstract(1000) HTML (534) PDF(62)
Abstract:

The uniform asymptoticity of the 2D g-Navier-Stokes equation with nonlinear damping in a bounded domain was studied. The existence of the uniform absorption set of the process family and the satisfaction of the uniform condition (C) were proved, and the uniform attractors of the 2D g-Navier-Stokes equation with nonlinear damping were obtained.

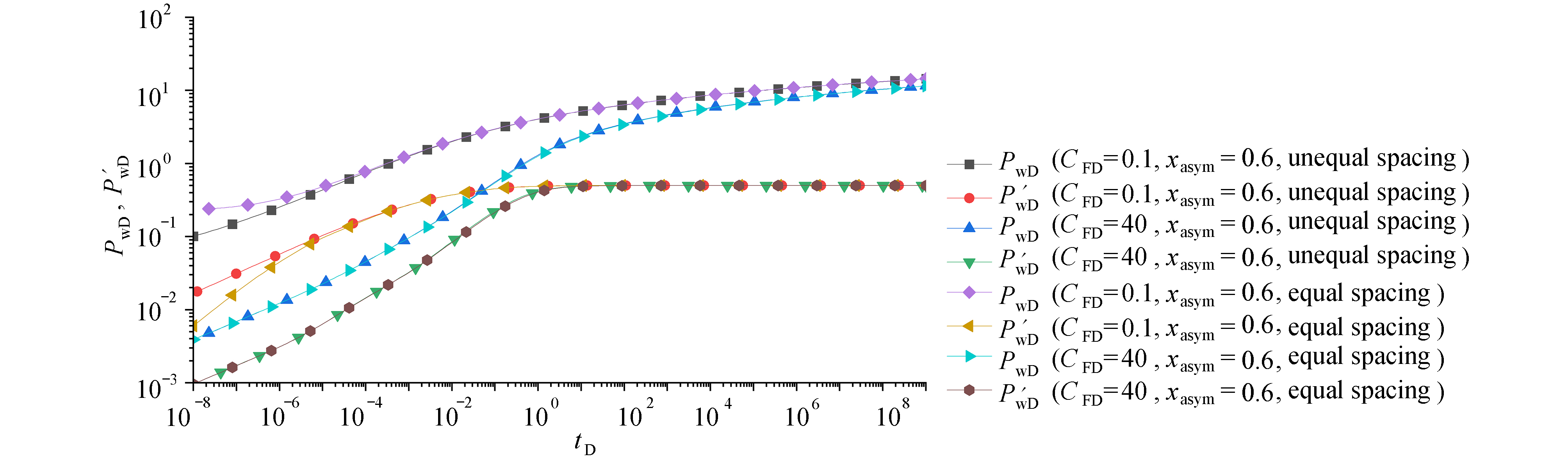
A Green’s Function Construction Method of the Single Well Seepage Model for Asymmetric Fractures
JI Anzhao, WANG Yufeng, ZHANG Guangsheng
2022, 43(4): 424-434. doi: 10.21656/1000-0887.420237
Abstract(1043) HTML (533) PDF(62)
Abstract:

The seepage law for asymmetric fractures can be solved by the Green’s function method. According to the basic seepage theory, the point source mathematical model for asymmetric fractures was established. The dimensionless point source mathematical model differential equation in the Laplacian space was obtained through the dimensionless transformation and the Laplacian transformation. By means of the unknown Green’s function combined with the point source differential equation, and in view of the homogeneous boundary conditions for the point source differential equation and the characteristics of the point source differential equation, a general construction method for Green’s function was given to meet the homogeneous boundary conditions for the point source differential equation and the solution of the unknown objective function. According to the symmetry and continuity of spatial Green’s function, the Green form of the asymmetric fracture point source model was obtained. Finally, through the seepage mathematical model for the asymmetric-fracture vertical well, it was verified that the 2 forms of Green’s function are consistent with the results calculated in references and with the commercial well test analysis software Saphir.

Applied Mathematics
Dynamic Changes of Influenza A/H1N1 Epidemic Evaluated Based on the Kolmogorov Forward Equation
YAN Qinling, TANG Sanyi
2022, 43(4): 435-444. doi: 10.21656/1000-0887.420243
Abstract(1123) HTML (630) PDF(131)
Abstract:

The individual-based infectious disease models show the important role of stochasticity in infectious disease prevention and control. To study these models and then determine the ranges of predictive variables, an increasingly common approach needs event-driven massive repetitive stochastic simulations. The study of the individual-based infectious disease models based on the Kolmogorov forward equation (KFE), not only could overcome the difficulty of repeated simulations, but could consider the probability of each state simultaneously. Therefore, according to the data of 2009 influenza A/H1N1 in the Xi’an 8th Hospital, to determine the rate of behavior change, an individual decision-making psychological model was established based on social network. Further, in order to obtain the probability distribution of each state in the process of infectious disease transmission, based on the modified individual SIR model, the KFE was derived through the Markov processes. The results show that, the numerical solution of the KFE gives the probability distribution of each state, the most serious period and the corresponding probability in the outbreak process of epidemic infectious diseases, so as to help understand the transmission process of A/H1N1 epidemic more quickly and accurately, which is valuable for the efficient prevention and control of A/H1N1 epidemic.

Study of the Optimal Integrated Control of a Dengue Transmission Model
LI Yazhi, LIU Lili
2022, 43(4): 445-452. doi: 10.21656/1000-0887.420258
Abstract(1336) HTML (494) PDF(95)
Abstract:

A transmission model for dengue fever between mosquitoes and human beings was established. Three control measures: Wolbachia, self-protection and insecticide were introduced. The constant control and the time-varying control were discussed respectively. Firstly, the influences of the constant control on the basic regeneration number of the model were analyzed. It is shown that Wolbachia helps reduce the basic regeneration number, and the basic regeneration number is negatively correlated with self-protection and insecticide. Secondly, in order to minimize the number of infections and the implementation cost, the optimal control was discussed with Pontryagin’s extreme value principle. Finally, the effects of the optimal control was demonstrated through numerical simulation.

Dynamic Behavior of a Stochastic Predator Prey Model With the Gilpin-Ayala Growth
CHEN Qianjun, JIANG Yuan, LIU Zijian, TAN Yuanshun
2022, 43(4): 453-468. doi: 10.21656/1000-0887.420203
Abstract(1395) HTML (715) PDF(141)
Abstract:

The dynamic behavior of a stochastic predator-prey model with the Gilpin-Ayala growth was studied. The existence and uniqueness of the global positive solution to the system were proved, and sufficient conditions for system extinction and persistence were obtained. On this basis, the thresholds for controlling the stochastic persistence and extinction of the predator-prey system were given, and some asymptotic behaviors of the solution were discussed. Finally, the effectiveness of the results was verified through numerical simulation.

Lower Bounds for Blow-Up Time of Reaction-Diffusion Equations With Gradient Terms and Nonlocal Terms
SHEN Xuhui
2022, 43(4): 469-476. doi: 10.21656/1000-0887.420155
Abstract(1291) HTML (564) PDF(110)
Abstract:

The research on the blow-up time of solutions to the reaction-diffusion equations has much theoretical significance. Moreover, it is closely related to practical problems such as production safety control, population density control and environmental chemotaxis control. The lower bounds for the blow-up time of solutions to a class of reaction-diffusion equations with gradient terms and nonlocal terms, were considered. Firstly, the region was assumed to be a bounded convex one with smooth boundary in the high-dimensional space. Secondly, through the establishment of suitable auxiliary functions, and with the 1st-order differential inequality and the Sobolev inequality, the lower bounds for the blow-up time were derived for finite-time blow-up occurences. Finally, 2 application examples illustrate the abstract results obtained with this method.