2022 Vol. 43, No. 6

Dynamics and Control
Beat Vibration of X-Configuration Tension Nonlinear Systems Under Resonance Excitation
QI Zihan, WU Zhiqiang, JIAO Yunlei, JIA Wenwen
2022, 43(6): 597-607. doi: 10.21656/1000-0887.420326
Abstract(1104) HTML (549) PDF(101)
Abstract:

The circular membrane solar array has attracted extensive attention due to its high storage ratio and strong power supply capability. In order to adjust the tension of large film structures, a tension adjusting device composed of ropes and springs is usually introduced, and its mechanical characteristics are highly nonlinear, with the effects rarely studied yet. Aimed at the tension adjustment, a mechanism model was proposed. The nonlinear dynamics equation for the 2DOF system was established with the Lagrangian energy method. With an engineering prototype as the example, the responses of the tension mechanism with unsymmetrical ribs under resonance excitation were studied. The results show that, the change of the excitation amplitude has an important influence on the characteristics of the beat response of the system. Consequently, the responses of the system exhibit chaotic, almost periodic and multifold periodic phenomena. The research makes an important reference to the parameter design of tension mechanisms.

The RBF-PU Method for Solving 2D Nonlocal Diffusion and Peridynamic Equations
ZHANG Shangyuan, NIE Yufeng, LI Yiqiang
2022, 43(6): 608-618. doi: 10.21656/1000-0887.420295
Abstract(1464) HTML (569) PDF(113)
Abstract:

The radial basis function partition of unity (RBF-PU) method  was applied to obtain the numerical solution of 2D nonlocal diffusion and peridynamic problems. The main idea is to partition the original domain into several patches, use the RBF approximation on each local domain, and then give weighting to obtain the global approximation of the unknown function. The radial basis function method based on the strong form of the equation has many advantages, such as avoiding an additional layer of integral calculation, no need to deal with intersections of neighborhoods with the mesh, and easiness of implementation. The numerical results show that, this method can solve nonlocal diffusion equations and peridynamic equations accurately and efficiently.

Non-Smooth Grazing Dynamics for Cantilever Beams With Bilateral Elastic Constraints
SHI Meijiao, XU Huidong, ZHANG Jianwen
2022, 43(6): 619-630. doi: 10.21656/1000-0887.420177
Abstract(1041) HTML (574) PDF(60)
Abstract:

The grazing-induced non-smooth dynamical behaviors of single-degree-of-freedom cantilever beam systems with bilateral elastic constraints were studied. Firstly, based on the dynamical equations for the cantilever beam under elastic impacts and the definition of grazing points, the existence condition for the bilateral grazing periodic motion was analyzed. Secondly, the zero-velocity Poincaré section was selected to derive the high-order discontinuous mapping with parameters near bilateral grazing orbits. Then a new composite piecewise normal form mapping was established through combination of the smooth flow mapping and the high-order discontinuous mapping. Finally, the validity of the high-order mapping was verified through comparison of the bifurcation diagram of the low-order mapping with that of the high-order mapping, and the grazing dynamics of the cantilever beam under elastic impacts were further revealed through numerical simulation.

Solid Mechanics
A Study on Interfacial Fracture Behaviors of Superconducting Thin Film/Substrate Structures on Taking the Account of Effects of Flux Flow
DING Jieying, XUE Feng, GOU Xiaofan
2022, 43(6): 631-638. doi: 10.21656/1000-0887.420353
Abstract(1179) HTML (606) PDF(71)
Abstract:

The superconducting thin film is a kind of multilayer structure prepared by chemical coating. As a conductive functional structure material with excellent performance, its structural integrity is directly related to the current-carrying capacity. During the preparation of superconducting thin films, it is hard to avoid the interface cracks between the superconducting layer and the metal substrate. In this case, along with the current-carrying operation, the strength of the interface crack in an external magnetic field makes a key problem. Therefore, based on the theory of flux through the thin film and the linear elastic fracture, an analytical model was established for the strength of the interface crack between the superconducting film and the substrate. The effects of the viscous flux flow on the stress field and the energy release rate at the crack tip were obtained. The results show that, the higher the flux flow velocity is, the greater the stress and the energy release rate at the crack tip of the interface will be, which will lead to crack propagation along the interface. The work is helpful for the analysis of interface cracks mentioned above.

The Anti-Plane Problem of Collinear Interface Cracks Emanating From a Circular Hole in 1D Hexagonal Quasicrystal Bi-Materials
ZHANG Bingcai, DING Shenghu, ZHANG Laiping
2022, 43(6): 639-647. doi: 10.21656/1000-0887.420202
Abstract(1135) HTML (538) PDF(55)
Abstract:

The anti-plane problem of asymmetric collinear interface cracks emanating from a circular hole in 1D hexagonal quasicrystal bi-materials was studied. With the Stroh formula and the complex function method, the complex potential functions under the coupling action of the phonon field and the phason field were obtained. The analytical expressions of the stress intensity factor (SIF) and the energy release rate (ERR) at the crack tip were given. The effects of the circular hole radius and the crack length on the SIF, and the effects of the coupling coefficient, the phonon field stress and the phason field stress on the ERR, were discussed. The results show that, the SIF tends to be stable with the increase of the right crack length for a constant circular hole radius. For a certain phason field stress value, the ERR reaches the minimum value, which indicates that a specific phason field stress can inhibit the crack growth.

Research on Topology Optimization of Damping Material Microstructures With Varied Volume Constraints
ZHANG Dongdong, LUAN Fuqiang, ZHAO Lihui, ZHENG Ling
2022, 43(6): 648-659. doi: 10.21656/1000-0887.420206
Abstract(1286) HTML (855) PDF(75)
Abstract:

The vibration suppression performance of a damping composite structure depends on the material layout and the damping material properties. A topology optimization method was proposed for damping material microstructures with varied volume constraints, to obtain the damping material microstructure with desired properties under the smallest material consumption. Based on the homogenization method, a 3D finite element model for the damping material was established, and the effective elastic matrix of the damping material was formulated. The Hashin-Shtrikman bounds theory was used inversely to estimate the volume fraction bound of the damping material corresponding to the desired effective modulus, and a movement criterion for volume constraint bounds of damping materials was constructed. Then the optimization problem of achieving the desired properties of damping materials with microstructures was converted to another problem of maximizing the desired modulus under volume constraints, and a topology optimization model for the damping material microstructure was established. The optimality criteria method was employed to update the design variables, and the optimized topology configurations of damping material microstructures were obtained. The feasibility and effectiveness of the proposed method were verified with several numerical examples, and the influences of the initial configurations, the mesh density and Young’s modulus on the microstructure configurations of the damping material were also discussed.

PDDO Analysis of 2D Transient Heat Conduction Problems
ZHOU Baoliang, LI Zhiyuan, HUANG Dan
2022, 43(6): 660-668. doi: 10.21656/1000-0887.420150
Abstract(1895) HTML (782) PDF(127)
Abstract:

The peridynamic differential operator (PDDO) theory was introduced to solve the 2D transient heat conduction problems. The heat conduction equation and the boundary condition were reformulated from the local differential form to the non-local integral form. Then the Lagrangian multiplier method and the variational analysis were used, and a non-local model for 2D transient heat conduction problems was established. Through error and convergence analysis, the accuracy of this model was verified in comparison with the results of other numerical methods. The model was further applied to solve the 2D transient heat conduction problems of plates with irregular boundaries and micro-defects (cracks and holes). The results show high accuracy, wide applicability and good convergence of this method, which provides new insights into the 2D transient heat conduction problems.

Applied Mathematics
Effects of Intraspecific Competition Delay on Vegetation Periodic Oscillation Patterns
LI Jing, SUN Guiquan, JIN Zhen
2022, 43(6): 669-681. doi: 10.21656/1000-0887.420190
Abstract(1114) HTML (520) PDF(77)
Abstract:

Aimed at the phenomenon of competing for water resources between young vegetation and adult vegetation in arid and semi-arid areas, a vegetation-soil water dynamic model with intraspecfic competition delay was established. The conditions for the existence of an unique vegetation survival equilibrium and the local stability of the vegetation extinction equilibrium were analyzed. The generating conditions for Hopf bifurcating periodic solutions of non-spatial and spatial systems were given, respectively. The periodic oscillation pattern appearing in the vegetation evolution with time was numerically simulated. Through the parameter sensitivity analysis, the rainfall and the vegetation growth rate were found to have significant influences on the generation, the amplitude and the period of this pattern, while the effects of evaporation was found to be the least significant. The results indicate that, the rainfall and the vegetation properties have profound impacts on the evolution and development of vegetation in arid and semi-arid areas. The introduction of spatial diffusion inhibits the occurrence of this pattern, but doesn’t affect the amplitude and the period. The work explains the phenomenon of vegetation periodic oscillation widely observed in nature, and provides theoretical supports for the sustainable development of the vegetation system.

Characterizations of Approximate Optimality Conditions for Fractional Semi-Infinite Optimization Problems With Uncertainty
FENG Xinyi, SUN Xiangkai
2022, 43(6): 682-689. doi: 10.21656/1000-0887.420248
Abstract(1215) HTML (498) PDF(92)
Abstract:

A class of multi-objective fractional semi-infinite optimization problems with uncertain data were investigated. Firstly, a robust optimization model corresponding to the uncertain multi-objective optimization problem was introduced. Then the optimization model was converted to a multi-objective optimization problem with the Dinkelbach method. In turn, by means of the scalarization method, the corresponding scalarization optimization problem was built, and the relationship between robust solutions to the multi-objective optimization problem and its corresponding scalarization optimization problem was described. Finally, through a robust-type sub-differential constraint qualification, the robust optimality condition for approximate quasi-efficient solutions to the multi-objective fractional optimization problem was established.

Dynamic Analysis of the Network Epidemic Model Based on White Noise
CAO Xiaochun, JING Wenjun, JIN Zhen
2022, 43(6): 690-699. doi: 10.21656/1000-0887.430009
Abstract(1338) HTML (580) PDF(112)
Abstract:

Based on the deterministic network infectious disease model, a stochastic network infectious disease model under the influence of white noise was established, and the existence and uniqueness of the global solution to the model were proved. With the theory of stochastic differential equations, sufficient conditions for stochastic extinction and persistence of infectious diseases were obtained. The results show that, white noise has a great impact on the transmission dynamics of network infectious diseases. White noise can effectively suppress the spread of infectious diseases, and large white noise can even make the original persistent infectious diseases become extinct. Finally, the theoretical results were verified through numerical simulations.

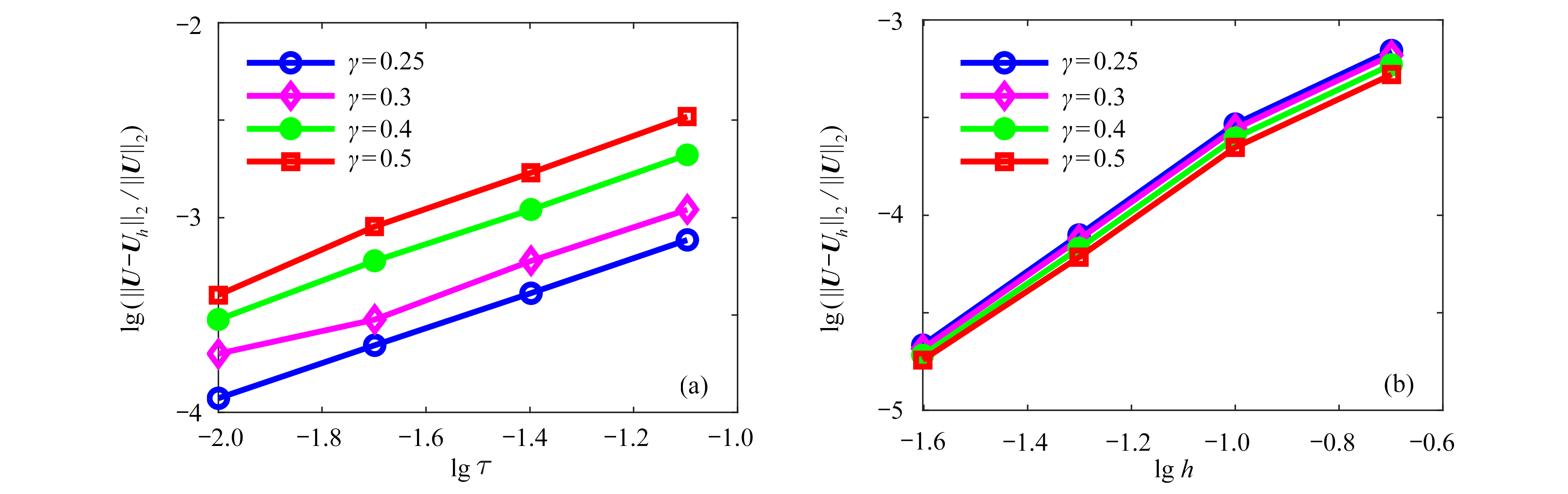
Analysis of the Finite Point Method for Fractional Cable Equations
CHEN Hongling, LI Xiaolin
2022, 43(6): 700-706. doi: 10.21656/1000-0887.420183
Abstract(993) HTML (474) PDF(85)
Abstract:

With the central difference scheme to discretize the Riemann-Liouville time fractional derivatives and by means of the finite point method to establish discrete algebraic equation systems, a meshless finite point method was proposed for the numerical analysis of the fractional Cable equation. The error estimation of the method was derived and discussed in detail. Numerical examples verify the efficiency and convergence of the method and confirm the theoretical results.