2022 Vol. 43, No. 7

Fluid Mechanics
Research on Deposition and Orientation Characteristics of Cylindrical Particles in Gas-Solid 2-Phase Turbulent Flow in Curved Tubes
LI Liang, SHI Ruifang, LIN Jianzhong
2022, 43(7): 707-718. doi: 10.21656/1000-0887.420320
Abstract(1162) HTML (553) PDF(126)
Abstract:

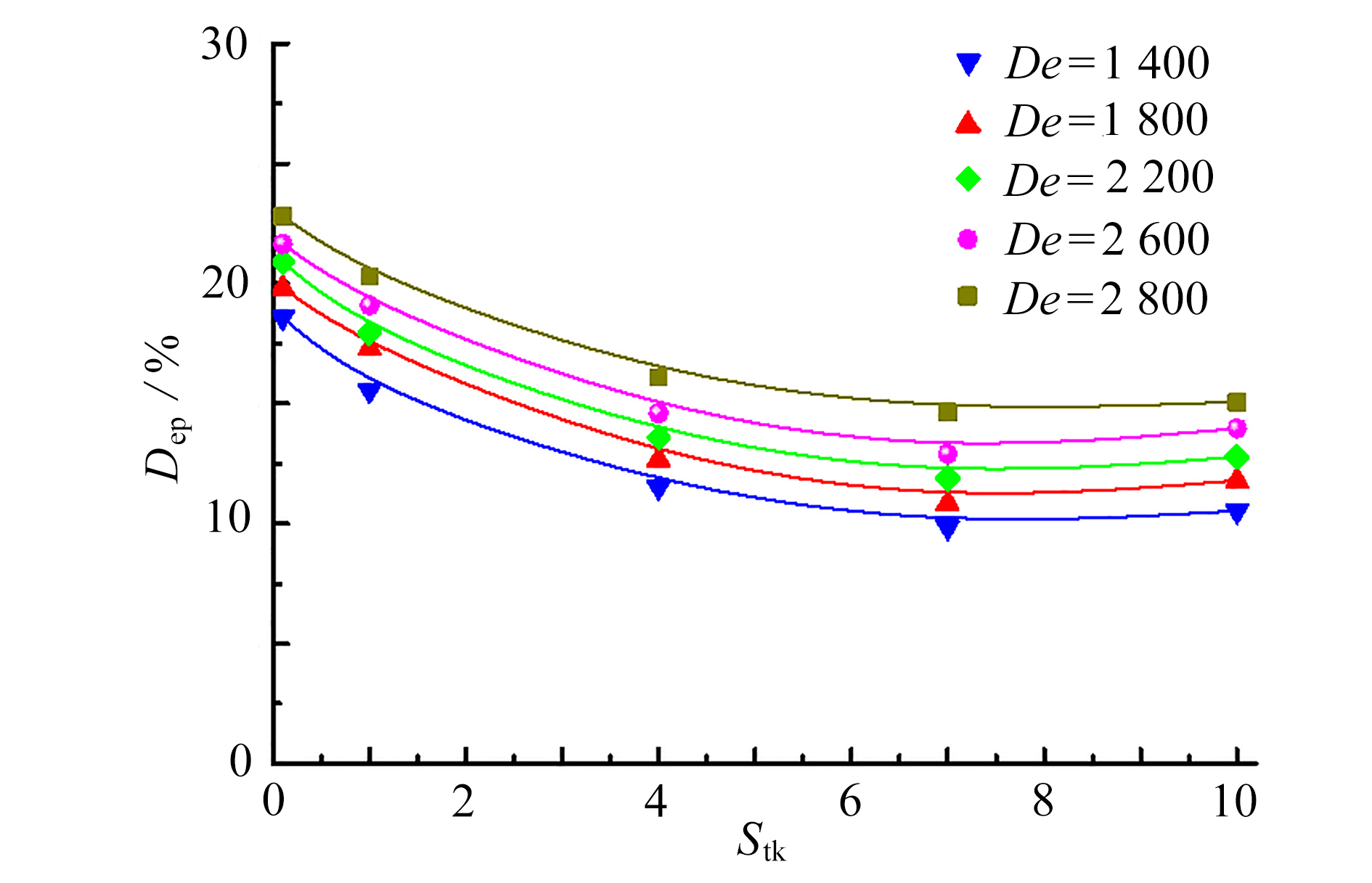
In the cases of Reynolds number Re=3 000~50 000, Stokes number Stk=0.1~10, Dean number De=1 400~2 800, the orientation and deposition characteristics of cylindrical particles with aspect ratio β=2~12 in turbulent flow in curved tubes were studied. The motion of cylindrical particles was described under the slender body theory combined with Newton’s 2nd law. The orientation distribution function of cylindrical particles was given by the Fokker Planck equation. The mean velocity of the flow was obtained by solving the Reynolds-averaged Navier-Stokes equation and the Reynolds stress equation. The turbulent fluctuating velocity acting on particles was described with the kinetic simulation sweeping model. By solving the equations of the turbulent flow, the particle motion and the orientation distribution function, the orientation distributions of particles on the cross sections in different axial positions and the outlet were obtained and analyzed. The effects of various parameters on the deposition rate of particles were discussed. The results showed that, the main axis of particles turns toward the flow direction with the increase of Stk and β, and the decrease of De and Re. The deposition rate of particles increases with De, Re and β. However, it shows a non-monotonic trend with the change of Stk

. The work has reference values for practical engineering application.

Analysis and Simulation of Natural Frequencies of Slightly Curved Pipes
YUAN Jiarui, DING Hu, CHEN Liqun
2022, 43(7): 719-726. doi: 10.21656/1000-0887.420299
Abstract(1437) HTML (557) PDF(159)
Abstract:

For the transverse vibration of slightly curved pipes, a dynamic mechanical model based on the Timoshenko beam theory was established for the 1st time. The natural vibration characteristics of slightly curved pipes under the influence of the fluid flow were analyzed. With the generalized Hamiltonian principle, the governing equation of the transverse vibration of slightly curved pipes under the fluid-structure coupling effect was derived. Based on the Galerkin truncation, the natural frequencies of slightly curved pipes were obtained with the generalized eigenvalue method. Effects of the fluid velocity and the initial deflection on the natural vibration characteristics of the pipe were studied. The equivalent stiffness and damping method-based finite element simulation of the natural vibration of the slightly curved pipe was developed. Then through the finite element numerical simulation, the results of the Galerkin truncation method and the effectiveness of the Timoshenko model were verified. The work shows that, both the fluid velocity and the initial deflection have significant effects on the natural frequencies of slightly curved pipes.

Mesoscopic Numerical Study on Flow Boiling Heat Transfer Performance in Channels With Multiple Rectangular Heaters
LI Yingxue, WANG Haoyuan, LOU Qin
2022, 43(7): 727-739. doi: 10.21656/1000-0887.420325
Abstract(1058) HTML (572) PDF(56)
Abstract:

The flow boiling phenomenon in a channel with multiple rectangular heaters under a constant wall temperature was numerically studied with the lattice Boltzmann method. The effects of spacings between heaters, heater lengths and heater surface wettabilities on the bubble morphology, the bubble area and the heat flux on the heater surface, were studied. The results show that, the bubble growth rate increases with the spacing between heaters. The larger the bubble area is, the earlier the nucleated bubbles will leave the heater surface. The corresponding boiling heat transfer performance increases by 12% with the spacing between heaters growing from 250 lattices to 1 000 lattices. On the other hand, the longer the heater length is, the earlier the bubble will nucleate and leave the heater surface, and the better the boiling heat transfer performance will be. The boiling heat transfer performance increases by 13% with the heater length rising from 16 lattices to 22 lattices. In addition, the bubble nucleates later on the hydrophilic surface than on the hydrophobic surface. Compared with the hydrophilic surface, the hydrophobic surface retains residual bubbles after the leaving of bubbles from the heater. The average heat flux and the bubble area of the hydrophilic surface are less than those of the hydrophobic surface. With the contact angle changing from 77° to 120°, the heat transfer performance increases by 26%. Finally, the orthogonal test results indicate that, the wettability of the heat exchanger surface has the greatest influence on the flow boiling heat transfer performance, while the heater length has the least influence.

Solid Mechanics
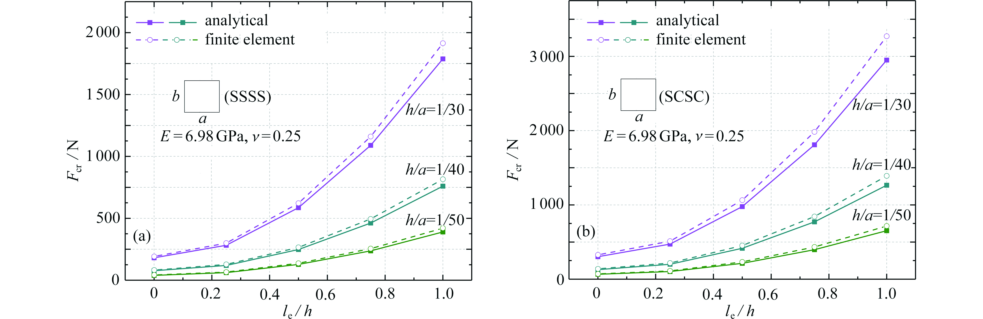
Size-Dependent Effects of Micro-Nano Mindlin Plates Based on the Couple Stress Theory
XUE Jianghong, HE Zanhang, XIA Fei, LI Zerong, JIN Fusong, YANG Peng
2022, 43(7): 740-751. doi: 10.21656/1000-0887.420171
Abstract(1065) HTML (667) PDF(77)
Abstract:

A Mindlin plate theory for micro-nano structures was proposed based on the couple stress theory. A length parameter was introduced to consider the size effect, and the constitutive equations for the micro-nano Mindlin plate were derived in view of the transverse shear deformation. The buckling and free vibration governing equations in terms of displacements and the slope functions of the shear deformation micro-nano plate were further deduced with the force equilibrium conditions. The analytical solutions of buckling and free vibration for the shear deformation micro-nano plate were obtained through separation of the displacement and rotation variables in space and time domains. Two scenarios of boundary conditions were analyzed: SSSS (simply supported by 4 edges) and SCSC (2 opposite edges simply supported and other 2 edges clamped). A MATLAB program was developed to compute the critical buckling and natural frequencies with different values of dimensional parameters, aspect ratios and length-to-thickness ratios. The research results, in comparison with those from the ABAQUS finite element analysis and previous literatures, are consistent with the latter ones. The examples show that, the size effects significantly influence the buckling load and the natural frequency.

Williams Elements With Generalized Degrees of Freedom for Crack Tip SIFs Analysis Under Crack Surface Distributed Loading
XU Hua, CAO Zheng, ZOU Yunpeng, YANG Lüfeng
2022, 43(7): 752-760. doi: 10.21656/1000-0887.420317
Abstract(1239) HTML (588) PDF(39)
Abstract:

Service with cracks is the normal state of engineering structures. Due to the fluid invading into the crack, the crack surface is loaded directly, which makes the crack further expand, and even affects the safety of the structure. In the analysis of fracture problems, according to the Williams element with generalized degrees of freedom (W element), the Williams series was used to establish the displacement field of the singular zone around the crack tip, and the stress intensity factors (SIFs) can be directly obtained by solving the generalized stiffness equation with high precision and high efficiency. However, the W element needs to satisfy the free boundary condition of the crack surface in the singular zone, so it is limited in the analysis of crack surface loading. Based on the SIFs reciprocity, the loading on the crack surface is equivalent to the concentrated force on the crack surface at the periphery of the equivalent singular zone, so the loading on the crack surface in the singular zone can be avoided, and the W element can be easily used for calculation. The numerical examples show that, the size of the equivalent singular zone is 1/20 of the crack length, the suggested equivalent load coefficient P is 2.0, and the calculation accuracy of the W element meets the error limit of 1%. The equivalent treatment method for the analysis of crack surface loading in the singular zone is reasonable and universal, and overcomes the limitation on the W element in analysis of the loading problem on crack surface.

Stochastic Model Updating Based on Kriging Model and Lifting Wavelet Transform
WU Yucheng, YIN Hong, PENG Zhenrui
2022, 43(7): 761-771. doi: 10.21656/1000-0887.420128
Abstract(1231) HTML (640) PDF(42)
Abstract:

In order to improve the efficiency of stochastic model updating and reduce the amount of calculation, a stochastic model updating method based on Kriging model and lifting wavelet transform was proposed. Firstly, the lifting wavelet transform was performed on the acceleration frequency response function, and the 5th-level approximate coefficients were extracted to replace the original frequency response function; secondly, the Latin hypercube sampling was applied to sample the parameters to be updated and the corresponding approximate coefficients as the outputs to build the Kriging model. A butterfly optimization algorithm with Lévy flight (LBOA) was proposed and used to improve the accuracy of  Kriging model; finally, with the goal of minimizing the Wasserstein distance, the mean values of the parameters to be updated were solved with the whale optimization algorithm. The results of the test function show that, the LBOA greatly improves in terms of optimization, convergence accuracy and stability. The updating errors of the numerical examples are all less than 0.4%, and indicate the high accuracy and efficiency of the proposed model updating method.

Prediction of the Macroscopic Mechanics Properties of Recycled Aggregate Concrete Based on the Mesoscopic Equivalence Theory
CHEN Haiyu, XU Fuwei
2022, 43(7): 772-782. doi: 10.21656/1000-0887.420079
Abstract(1118) HTML (478) PDF(64)
Abstract:

Prediction of the influence of each component of recycled aggregate concrete on the macroscopic mechanics properties of recycled aggregate concrete is a way to develop the basic mechanics properties of recycled aggregate concrete. For this purpose, a meso-equivalent model was established according to the meso-structure composition of recycled aggregate concrete. Based on the torsional deformation theory, the meso-inclusion theory, the elastic equivalent thought and the M-T model, the prediction model for macroscopic mechanics properties of recycled aggregate concrete composed of natural aggregate, old interface, old cement mortar, new interface and new cement mortar, was deduced. The prediction results show that, with the increase of the recycled aggregate replacement rate, the content of cement mortar and the porosity of recycled aggregate concrete rise, resulting in the increase of Poisson’s ratio of recycled aggregate concrete, and the decreases of the elastic modulus, the shear modulus and the volume modulus. The model well predicts the changing trend of the macroscopic mechanics properties of recycled aggregate concrete with the increase of the recycled aggregate replacement rate, and provides a simple and practical new way to the research and analysis of the basic mechanics properties of recycled aggregate concrete.

Applied Mathematics
Sampling Consensus of 2nd-Order Multi-Agent Systems Based on Time-Varying Topology
ZHENG Liying, YANG Yongqing, XU Xianyun
2022, 43(7): 783-791. doi: 10.21656/1000-0887.420220
Abstract(1147) HTML (760) PDF(113)
Abstract:

The sampling consensus of 2nd-order multi-agent systems with time-varying topology was investigated based on the constant position difference and the consistent speed. Firstly, the virtual leader was introduced and the sampling consensus problem of multi-agent systems was transformed into the stability problem of the corresponding error system. Secondly, with estimation of the sampling errors, the influence of sampling errors on system consistency was studied. Finally, by virtue of the Lyapunov stability theory, the stability of the constructed error system was analyzed, and a sufficient condition for the stability of the error system was given. The numerical simulation results verify the effectiveness and correctness of the theoretical analysis.

SQP Methods for Mathematical Programs With Switching Constraints
LUO Meiling, LI Gaoxi, HUANG Yingquan, LIU Liying
2022, 43(7): 792-801. doi: 10.21656/1000-0887.420294
Abstract(1020) HTML (515) PDF(74)
Abstract:

The mathematical program with switching constraint (MPSC) problem makes a new-type optimization issue in recent years. Due to the existence of switching constraints, the common constraint specification is not satisfied, so that the convergence results of existing algorithms can not be directly applied to this problem. The sequential quadratic programming (SQP) method was applied to solve the problem, and to prove that the clustering point of the solution sequence of the subproblem is the Karush-Kuhn-Tucker point of the original problem under the linear independent constraint specification with the switching constraint. At the same time, in order to improve the relationship between stationary points, the equivalence between the strong stationary point and the KKT point was proved. Finally, the numerical results show that, the sequential quadratic programming method is feasible to deal with this type of problems.

An Improved 3rd-Order WENO Scheme Based on a New Reference Smoothness Indicator
WANG Yahui
2022, 43(7): 802-815. doi: 10.21656/1000-0887.420194
Abstract(1448) HTML (695) PDF(141)
Abstract:

In order to meet the requirement of high accuracy and high resolution in computational fluid dynamics (CFD), a new reference smoothness indicator was proposed to reduce the numerical dissipation of the classical 3rd-order weighted essentially non-oscillatory (WENO) scheme. The construction method is different from the classical WENO-Z scheme. It is obtained through the L2-norm approximation of the derivatives of the reconstruction polynomials of the whole global stencil, and the linear combination of the derivatives of the reconstruction polynomials on the candidate sub-stencils. With this calculation method, higher-order reference smoothness indicators can be obtained than the WENO-Z scheme. In addition, different reference smoothness indicators can be obtained by change of the value of free parameter $ \varphi$. A series of numerical examples prove the effectiveness of the reference smoothness indicator.

Global Existence of Solutions and Lower Bound Estimate of Blow-Up Time for the Keller-Segel Chemotaxis Model
LI Yuanfei
2022, 43(7): 816-824. doi: 10.21656/1000-0887.420109
Abstract(1531) HTML (539) PDF(97)
Abstract:

A macroscopic nonlinear Keller-Segel model for chemotactic cell migration was considered, where the existence region of the model is a bounded convex one on$\varOmega\subset\mathbb{R}^N(N\geqslant2)$. The global existence of the solution on $\varOmega\subset\mathbb{R}^3$ was obtained by means of the energy estimate method. The lower bound of the blow-up time was proved for $N=3 $ and $N=2$.