2022 Vol. 43, No. 9

Fluid Mechanics
The Coupling State Equations and the Symplectic Algorithm for Control Rod Drop and Fluid Flow
ZHAO Ke, CHEN Changyi, XI Yanyan, HUANG Dongwei, WU Feng, ZHONG Wanxie
2022, 43(9): 935-943. doi: 10.21656/1000-0887.430001
Abstract(1304) HTML (532) PDF(122)
Abstract:

The nonlinear state equations describing the coupling between control rod drop and fluid flow were proposed to solve the problem of control rod drop in nuclear reactors. The state equations have a uniform format for different fluid states in the process of control rod drop, which can conveniently deal with the problem for different working conditions. To efficiently analyze the falling process, accurately capture the sudden change of flow state and ensure the numerical stability of time integral, an adaptive time step-based symplecticity-preserving algorithm was proposed. Numerical examples show that, the proposed numerical model can accurately calculate the key data such as the displacement, the velocity, the acceleration and the falling time of the control rod in the falling process with a large time step, and the calculated results are in good agreement with those obtained the by the commercial software.

Modulation Approximation of a 2-Fluid System in Plasma
LIU Huimin, PU Xueke
2022, 43(9): 944-954. doi: 10.21656/1000-0887.430007
Abstract(1087) HTML (545) PDF(77)
Abstract:

A kind of 2-fluid system in plasmas describes rich plasma dynamics, including the interactions between the ion acoustic wave and the plasma body wave. In order to describe the evolution of the envelope of the small oscillating wave packet solution of the 2-fluid model, the nonlinear Schrödinger (NLS) equation was derived as a formal approximation equation with the multi-scale analysis method, and the uniform energy estimation of the error between the exact solution and the approximate solution to the 2-fluid model was given in the Sobolev space. The NLS approximation was finally proved strictly on the time-scale

\begin{document}$ {\cal{O}}(\epsilon^{-2})$\end{document}

.

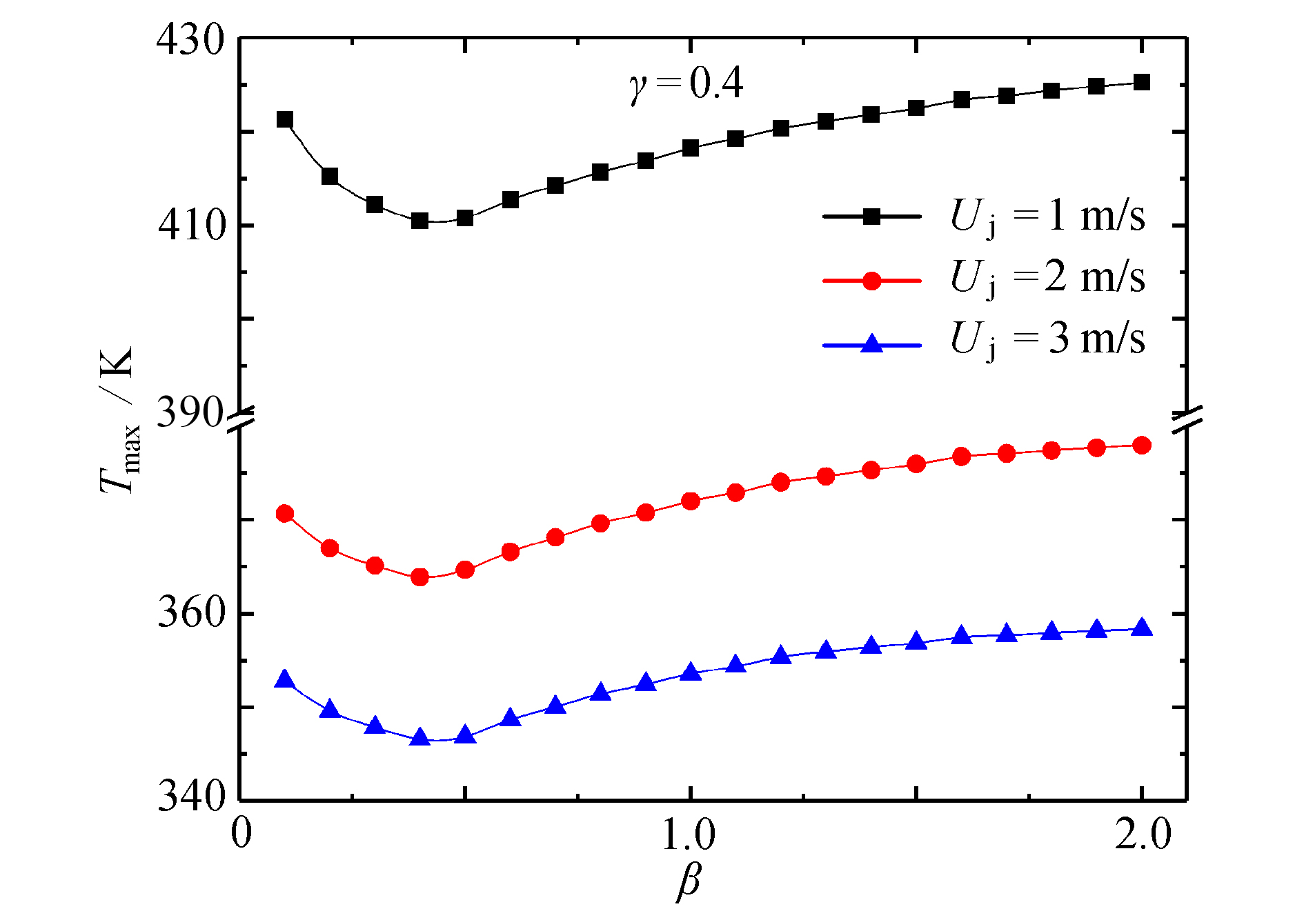
Geometry Design of Square Column Heating Devices in Jet Channels
RAO Kai, XIE Zhihui, GUAN Xiaonan, MENG Fankai, GE Yanlin
2022, 43(9): 955-965. doi: 10.21656/1000-0887.420166
Abstract(842) HTML (397) PDF(53)
Abstract:

Based on the constructal theory, a heat dissipation optimization model for discrete square column heating devices on thermal conduction bases in 2D jet channels was established. With the total longitudinal section area and the discrete heat source height as constraints, the maximum temperature and entropy production rate of the system were taken as optimization objectives, and the length ratio of each heating device was taken as the optimization variables in the geometry design. The effects of the jet velocity and the heating device spacing on the constructal optimization of the heating device were analyzed. When the jet velocity and the heating device spacing are fixed, there will exist optimal length ratios to minimize the maximum temperature and the entropy production rate of the system, but the optimal length ratios corresponding to different jet velocities and different heating devices spacings are different. The results provide a theoretical guidance for the thermal design of square column heating devices.

Numerical Analysis of Time Fractional-Order Unsaturated Flow and Its Application
ZHU Shuairun, LI Shaohong, ZHONG Caiyin, WU Lizhou
2022, 43(9): 966-975. doi: 10.21656/1000-0887.420334
Abstract(1501) HTML (527) PDF(129)
Abstract:

Numerical simulation of the unsaturated flow process is of great significance to many fields such as soil slope stability analysis and migration simulation of underground pollutants. Generally, it is widely used due to the universal applicability of the Richards equation, but the seepage process described by the Richards equation does not involve the anomalous diffusion phenomenon in natural environment and experiments. To address this problem, the Caputo derivative was applied to obtain the time fractional-order Richards equation with broader seepage significance. Then the finite difference method was used to get the discretization scheme and the Picard method was chosen to solve it iteratively, and the sensitivity analysis of the fractional parameters and soil-water characteristic curves was carried out. Finally, combined with the experimental data of soil column infiltration, the numerical solutions obtained from the time fractional-order Richards equation under different soil-water characteristic curves were compared. The results show that, the time fractional-order Richards equation of the VGM model has better fitting effects for the measured data and can better describe the seepage process of groundwater in unsaturated soil.

Solid Mechanics
Development and Application of Fatigue Life Evaluation Software LtsFatigue Based on LiToSim
PENG Mengyao, GU Shuitao, ZHOU Yangjing, WANG Shimeng, FENG Zhiqiang
2022, 43(9): 976-986. doi: 10.21656/1000-0887.420277
Abstract(1426) HTML (704) PDF(92)
Abstract:

For the fatigue problem of structures under random loads, the numerical calculation program for structural fatigue analysis was embedded into the self-developed LiToSim platform. Based on the LiToSim platform, fatigue software LtsFatigue was developed, and the structure fatigue life was calculated by means of the time domain fatigue algorithm, where the stress time history was processed and calculated with the rainflow counting method. The frequency domain fatigue algorithm was introduced to estimate the fatigue life based on the stress response power spectrum and the distribution of stress cycles. The comparison through the gear example with the commercial software verifies the calculation accuracy of the time domain and frequency domain methods of the LtsFatigue customized fatigue software. The frequency domain algorithm has greatly improved computational efficiency, and highlights the advantages of the LtsFatigue software. The development of the LtsFatigue customized software based on the LiToSim platform has significant application value for fatigue simulations of large complex structures.

A Spatial Geometric Nonlinearity Spline Beam Element With Nodal Parameters Containing Strains
ZHUO Yingpeng, WANG Gang, QI Zhaohui, ZHANG Jian
2022, 43(9): 987-1003. doi: 10.21656/1000-0887.420290
Abstract(1246) HTML (721) PDF(97)
Abstract:

Many slender rods in engineering can be modeled as Euler-Bernoulli beams. For the analysis of their dynamic behaviors, it is necessary to establish the dynamic models for the flexible multi-body systems. Geometric nonlinear elements with absolute nodal coordinates help solve a large number of dynamic problems of flexible beams, but they still face such problems as shear locking, nodal stress discontinuity and low computation efficiency. Based on the theory of large deformation beams’ virtual power equations, the functional formulas between displacements and rotation angles at the nodes were established, which can satisfy the deformation coupling relationships. The generalized strains to describe geometric nonlinear effects in this case were derived. Some parameters of boundary nodes were replaced by axial strains and sectional curvatures to obtain a more accurate and concise constraint method for applying external forces. To improve the numerical efficiency and stability of the system’s motion equations, a model-smoothing method was used to filter high frequencies out of the model. The numerical examples verify the rationality and effectiveness of the proposed element.

Research on the Dual Reciprocity Boundary Element Method for Non-Homogeneous Elasticity Problems
PAN Xianyun, YU Jianghong, ZHOU Fenglin
2022, 43(9): 1004-1015. doi: 10.21656/1000-0887.420208
Abstract(1309) HTML (555) PDF(78)
Abstract:

Based on the boundary element method theory of elasticity, the boundary element method was combined with the dual reciprocity method, and the exponential basis function was used to interpolate the non-homogeneous term to obtain the dual reciprocity boundary integral equation. Then the boundary integral equation was discretized into algebraic equations, and the equations were solved with the known boundary conditions and equation particular solutions to obtain the displacement and boundary surface forces in the domain. The shape parameter of the exponential basis function was decided by the minimum value of the nearest distance between interpolation points. With this shape parameter change scheme, the RBF interpolation accuracy and stability were analyzed. Again, the exponential basis function was applied to the dual reciprocal boundary element method to analyze the calculation accuracy and stability, and verify the effectiveness of the exponential interpolation function as the radial basis function of the dual reciprocal boundary element method to solve the body force problem in the elastic domain.

Applied Mathematics
Numerical Simulation of the Solitary Wave Collision Process in Time Fractional Orders Based on the Coupled Pure Meshless Method
LI Yue, JIANG Rongrong, JIANG Tao
2022, 43(9): 1016-1025. doi: 10.21656/1000-0887.420278
Abstract(1219) HTML (502) PDF(121)
Abstract:

A coupled pure meshless finite pointset method (CFPM) was developed for the first time to numerically predict the inelastic collision process of solitary waves described with the time fractional coupled nonlinear Schrödinger (TF-CNLS) equation. Its construction process was formulated as: 1) a high-precision difference scheme was used for the Caputo time fractional derivative; 2) the FPM discrete scheme based on the Taylor expansion and the weighted least square method was adopted for spatial derivatives; 3) the region was locally refined and the double cosine kernel function with good stability was used to improve the numerical accuracy. In the numerical study, the 1D TF-CNLS equations were analytically solved with the CFPM, and the errors and convergence rates were analyzed with the nodes uniformly distributed or locally refined, which shows that the proposed method has the approximate 2nd-order accuracy and the flexibility of easy local refinement. Secondly, the inelastic collision process of solitary waves, which was described with the 1D TF-CNLS equation without analytical solutions, was numerically predicted with the CFPM, and the wave collapse phenomenon is completely different from the multi-wave phenomenon in the integer order. Meanwhile, the comparison of the results with those from the finite difference method shows that, the CFPM is reliable to predict the complex propagation of the inelastic collision process of the solitary waves in the time fractional order.

The GMRES(m) Method for Numerical Conformal Mapping of Bounded Multi-Connected Domains
WU Kang, LÜ Yibin, SHI Yunlong, WANG Yingzi
2022, 43(9): 1026-1033. doi: 10.21656/1000-0887.420305
Abstract(1284) HTML (567) PDF(88)
Abstract:

It is difficult to solve conformal mapping functions for complex multi-connected domains. In order to overcome this difficulty, the problem of solving conformal mapping functions was transformed into using the charge simulation method to solve a pair of conjugate harmonic functions in the problem domain. The conjugate harmonic functions should satisfy given boundary conditions, which construct a system of linear equations. Then the simulation charges can be computed by means of the GMRES(m) (the generalized minimal residual method) algorithm to solve the linear systems. The approximate conformal mapping functions were constructed accurately to map the bounded multi-connected domain onto 3 unbounded canonical slit domains. Numerical results show that the presented method is effective.

Asymptotic Properties of the Solutions to a Class of Perturbed Stochastic Impulsive Functional Differential Equations
LIANG Qing
2022, 43(9): 1034-1044. doi: 10.21656/1000-0887.420267
Abstract(1004) HTML (483) PDF(81)
Abstract:

The asymptotic properties of the solutions to a class of perturbed stochastic impulsive functional differential equations were investigated. Through comparison of the solution to the perturbed equation with the solution to the corresponding unperturbed one, the sufficient conditions for these solutions to be close in a finite time interval were derived. Then, when small perturbations approach zero and the length of the time interval approaches infinity, the 2 solutions will still be close to each other. Finally, an example illustrates the effectiveness of the results.

A Space-Time Polynomial Collocation Method for Solving 3D Burgers Equations
CAO Yanhua, ZHANG Zitong, LI Nan
2022, 43(9): 1045-1052. doi: 10.21656/1000-0887.420282
Abstract(1177) HTML (861) PDF(123)
Abstract:

As a class of nonlinear partial differential equations, the Burgers equations are widely used in various fields. A new space-time polynomial collocation method was presented for particular solutions to 3D Burgers equations. The basic process was divided into 2 steps. The 1st step is to find the polynomial particular solutions of the linear differential operator terms (including the time differential term) in the governing equation. The 2nd step is to solve the nonlinear term of the 3D Burgers equation iteratively. The proposed method is simple and easy to program. The approximate solution has high accuracy. Especially, the stability of the method is excellent, which improves the programming simplicity and deepens the understanding of high-dimensional Burgers equations and the practical application.