2024 Vol. 45, No. 7

Cover And Contents
2024, 45(7)
Abstract(408) PDF(11)
Abstract:
Invited Paper
Peridynamics for Moisture Diffusion and Crack Propagation in Unsaturated Soil Desiccation
LIU Panyong, GU Xin, ZHANG Qing
2024, 45(7): 823-834. doi: 10.21656/1000-0887.450002
Abstract(983) HTML (412) PDF(128)
Abstract:
Unsaturated soil desiccation cracking is a coupled hydro-mechanical problem. It seriously weakens the hydraulic and mechanical characteristics of soil, causing various natural disasters potentially. For the unsaturated soil, the mechanism of moisture diffusion and deformation is more complicated compared with saturated soil, attracting wide attention. Thus, a coupled hydro-mechanical bond-based peridynamic (BB PD) model was proposed to explore the moisture diffusion and crack propagation in unsaturated soil. Specifically, the moisture diffusion equation for unsaturated soil was recast with the peridynamic differential operator, and an improved micro-modulus was adopted to revise the bond force density in the BB PD. In addition, a hybrid algorithm combining the explicit difference scheme for solving the diffusion equation and the implicit scheme for solving the motion equation was adopted, to avoid the incongruity of time steps for two types equations under the same explicit scheme. The validity of the proposed model and algorithm was verified by the examples on the desiccation of an unsaturated soil block and the desiccation cracking of a 3D unsaturated soil plate. The results show the potential of peridynamics in capturing desiccation cracks of unsaturated soil.
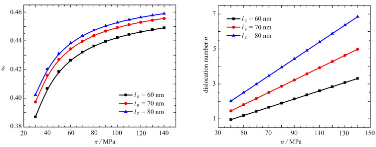
Investigation of Coupling Effects of Double Bubbles Based on the EFEM and the Unified Bubble Equation
XU Liuyi, LI Shimin, WANG Shiping, LIU Yunlong, ZHANG Aman
2024, 45(7): 835-849. doi: 10.21656/1000-0887.450018
Abstract(1015) HTML (464) PDF(104)
Abstract:
Based on the Eulerian finite element method (EFEM), an axially symmetric numerical model was established for 2-bubble underwater pulsation. The accuracy of the model and the convergence of the mesh were fully verified by comparison with the unified bubble equation and experimental results. The calculation results show that, the unified bubble equation is more accurate than other bubble theories in predicting the bubble dynamic behavior and the pressure load in the flow field. Combined with the EFEM and the unified bubble equation, the effects of buoyancy parameter δ and strength parameter ε on the coupling law of double bubbles were studied. For buoyancy parameter δ≤0.15, the upper bubble will produce a vertical downward jet under the action of the lower bubble, and the lower bubble boundary is like the solid wall boundary. For δ increasing to 0.2, the influence of the lower bubble on the upper bubble weakens, the buoyancy effect becomes more prominent and the jet direction of the upper bubble is vertical upward. Strength parameter ε has no obvious effect on the coupling between bubbles, but its effect on the bubble jet velocity decreases significantly for ε≥150.
Solid Mechanics
A Damage Identification Method for Transmission Towers Based on Substructure Model Reduction and Data Driving
DENG Mao, YAN Bo, GAO Yingbo, YANG Hanxu, LÜ Zhongbin, ZHANG Bo, LIU Guanghui
2024, 45(7): 850-863. doi: 10.21656/1000-0887.450052
Abstract(732) HTML (320) PDF(115)
Abstract:
A damage regression identification method for large and complex transmission tower structures subjected to static loads was proposed based on the substructure model reduction and data-driven method. According to the structural features of the transmission tower and its deformation under self-weight and ice loading, the full finite element model for the tower was reduced by means of the sub-structure method, the possible damage modes were predicted and the damage indexes defined. The substructure modeling method was used to reduce the orders of the structure with different damage states, and the order reduction model library was established. The calibration load was determined based on the loading characteristics of the tower, and the strain sensor layout was designed according to the deformation and failure modes. The deformations of all the reduced-order models under calibration loads were numerically simulated with the finite element method, and a dataset was then created. With the data measured by the strain sensors as input and the damage indexes as output, a damage regression identification model was built by the BP neural network algorithm. With the identification model, the damage locations can be recognized and the damage indexes can be quantified. This work lays a foundation for real-time health monitoring of transmission tower structures.
Application of the Rate-Dependent Ladeveze Model in Failure Analysis of Composites
HUANG Zongzheng, MI Dong, OUYANG Zhigao, HE Xiang, HUANG Xing, ZHOU Wei, JIANG Lanlan, GUO Zaoyang, MA Liangying
2024, 45(7): 864-874. doi: 10.21656/1000-0887.440358
Abstract(700) HTML (373) PDF(60)
Abstract:
To investigate the load-bearing capacity and failure modes of unidirectional fiber-reinforced laminates subjected to uniaxial loads, finite element analyses were conducted to predict mechanical responses such as plastic accumulation and damage evolution. The Ladeveze constitutive model based on the 2D continuum damage theory was introduced and a user material subroutine was developed based on this model to consider the plastic behavior of the composites, where the isotropic plastic strengthening was assumed. Subsequently, a LS-DYNA finite element simulation model for unidirectional laminate plates was established to explore typical failure behaviors under loading conditions of longitudinal tension, longitudinal compression, transverse tension, and in-plane shear, respectively. A comparative analysis with experimental results was carried out to validate the efficacy of the developed subroutine. Finally, a logarithmic rate-dependent correction function was introduced to predict the damage modes of composite materials under various strain rate loads. The sensitivity of the rate effect in unidirectional fiber-reinforced laminates and its correlation with load-bearing components were investigated.
Grain Boundary Slip and a Grain Boundary Triple Junction Crack Nucleation Model for Nanocrystals Under the Influence of Hydrogen
ZHAO Keke, ZHU Yundie, ZHANG Jiding, JIANG Xiaoyu
2024, 45(7): 875-885. doi: 10.21656/1000-0887.440257
Abstract(1509) HTML (560) PDF(31)
Abstract:
Under the far-field uniform tensile load, the crack tip will generate stress concentration, and the grain boundary adjacent to the crack tip will bear large shear stresses to cause nanograin boundary slip. The effects of hydrogen and nanoboundary slip on the crack nucleation, the critical stress intensity factor and the shielding action were investigated. The theoretical solution of the model was given with the continuous distributed dislocation method. The results show that, the wedge cracks preferentially germinate along direction DC of the grain boundary triple junction and grain boundary BD due to the plugging of the dislocation at the grain boundary triple junction and the tip of the slip plane. Moreover, hydrogen decreases the total energy of crack initiation. When hydrogen concentration increases by 1%, the total energy of the most stable crack initiation will decrease by about 1.86%. Although the grain boundary slip increases the critical stress intensity factor and the shielding action at the crack tip, hydrogen will decrease the critical stress intensity factor. Finally, according to the hydrogen enhanced decohesion (HEDE) theory, the influence of hydrogen on surface energy was studied. With every 1% increase of the hydrogen concentration, the surface energy will decrease by 5%. This theoretical work provides new information on the microscopic fracture mechanics of materials caused by hydrogen and grain boundary slip, and helps to explain the microscopic mechanism of metal fracture.
The Antiplane Problem of a Lip-Shaped Orifice With 4 Edge Cracks in 1D Hexagonal Piezoelectric Quasicrystal
WANG Chengyan, LIU Guanting
2024, 45(7): 886-897. doi: 10.21656/1000-0887.440346
Abstract(575) HTML (413) PDF(22)
Abstract:
Through construction of the conformal mapping and with Stroh's formula, the antiplane problem of 4 secondary cracks at the lip-shaped orifice of 1D hexagonal piezoelectric quasicrystal, was studied. The effects of geometrical parameters and external loads on stress intensity factors and energy release rates were analyzed with numerical examples. The results show that, the crack length growth on either corner side of the orifice or the orifice length increase can promote the crack propagation. The crack length growth on the upper and lower sides has no obvious effect on the crack propagation on the left and right sides. The higher the orifice height is, the more significant the inhibition effect on the crack growth on both corner sides will be; the increase of the external mechanical load and electric load can promote the crack propagation. Some special defects can be derived from the degradation of the relevant parameters of the defects, such as the secondary 2 cracks in the orifice, the lip-shaped crack, and the Griffith crack, etc.
Dynamics and Control
A Symplectic Superposition Method for Vibration of the Orthotropic Rectangular Thin Plate Point-Supported at a Corner and Clamped at its Opposite Edges
YE Yunong, EBURILITU
2024, 45(7): 898-906. doi: 10.21656/1000-0887.450001
Abstract(605) HTML (338) PDF(32)
Abstract:
The symplectic superposition method was used to study the vibration problem of the orthotropic rectangular thin plate point-supported at a corner and clamped at its opposite edges. Firstly, based on the boundary conditions, the original vibration problem was decomposed into 2 subproblems with 2 opposite edges simply supported. Next, the series expansion solutions to the 2 sub-vibration problems were obtained based on the separation variable method in the Hamiltonian system. Then the symplectic superposition solution to the original vibration problem was obtained with the superposition method. To determine the terms of the series expansion of the obtained symplectic superposition solution in specific calculations, the convergence analysis of the solution for calculating orthotropic rectangular thin plates was performed. The symplectic superposition solution was also used to calculate the vibration frequencies of the isotropic and orthotropic rectangular thin plate point-supported at a corner and clamped at its opposite edges, respectively, and to give the modes corresponding to the 1st 8 vibration frequencies of an orthotropic square thin plate.
Research on Dynamic Characteristics of Serial-Parallel-Ⅱ Inerter Nonlinear Energy Sink
WU Ziying, ZHU Rongxian, JANG Donggui, CHAO Guoqiang, ZHANG Yuxuan
2024, 45(7): 907-921. doi: 10.21656/1000-0887.440350
Abstract(668) HTML (514) PDF(41)
Abstract:
A serial-parallel-Ⅱ inerter nonlinear energy sink was proposed through replacement of the linear restoring force and linear damping with the nonlinear restoring force and nonlinear damping in inertial vibration reduction systems, in view of the effects of friction. The dynamic equation for the main system was established, the amplitude-frequency response curves of the system under the base simple harmonic excitation were solved with the harmonic balance method. The effects of the inertia ratio, nonlinear damping, nonlinear stiffness and friction on the vibration damping performance of the system were studied with the arc length algorithm and the numerical method. The results show that, with the increase of the nonlinear stiffness and nonlinear damping, the peak value will first decrease and then increase. The difference is that the amplitude-frequency response curve of the former gradually bends to the upper right direction, and the position of the peak value of the latter shifts to the lower frequency band. The actions of 3 parameters of the inertial ratio, nonlinear damping and nonlinear stiffness, on the damping effects of the system were analyzed. The research indicates that, with an excitation amplitude of 0.005 m, the vibration reduction effect will be the best when the inertia ratio and damping change simultaneously. For ε=0.1, the minimum value of the peak displacement of the main structure of the system will be about 0.01 m, while for ε=0.001, the maximum value within the overall value range will be approximately 0.061 m, and the amplitude damping ratio will be 97.1% and 82.1%, respectively. When the inertia ratio reaches optimal value 0.1, the nonlinear damping range and nonlinear stiffness κ21 will grow larger. Under friction, the maximum amplitude of the system will have different degrees of increases. The research results provide a reference for the study on structural vibration reduction.
An Integration Method With Controllable Numerical Damping Dissipation for Structural Dynamic Equations
LIU Wei, TONG Xiaolong, JIN Rong
2024, 45(7): 922-935. doi: 10.21656/1000-0887.440292
Abstract(749) HTML (403) PDF(52)
Abstract:
Numerical dissipation is an important characteristic of numerical integration methods, which directly affects the accuracy of numerical simulation results. Numerical dissipation can improve numerical simulation results for dynamic systems with spurious high-frequency vibrations, but it can also cause distorted calculation results for dynamic systems with real high-frequency vibrations. A 2-sub-step implicit numerical integration method was proposed with controllable numerical damping dissipation to solve structural dynamic systems. Through theoretical derivations, the numerical properties of the new integration method, including the spectral radii, stability, amplitude decay, and period elongation, were introduced in detail. The new implicit integration method can utilize algorithm parameter α to control the numerical dissipation of spurious high-frequency vibration, with a corresponding dissipation ratio of 1-|α|, where -1≤α≤1. The advantages of the new method in terms of the computational accuracy, the high-frequency numerical dissipation, and the nonlinear solving ability were demonstrated through 3 typical examples of a 1-DOF dynamic system, a high-frequency spurious vibration system, and a multi-DOF nonlinear spring-mass system.
Natural Vibration Frequencies of Laminated Composite Beams Based on the Scaled Boundary Finite Element Method
LI Wenwu, WANG Wei
2024, 45(7): 936-948. doi: 10.21656/1000-0887.440208
Abstract(1064) HTML (369) PDF(54)
Abstract:
The scaled boundary finite element method (SBFEM) was extended to calculate the natural frequencies of laminated composite beams. With this method, the beam was simplified as a 1D model. Only the displacement components along the x and z directions were selected as the fundamental unknowns. Based on the fundamental equations of elasticity and the scaled boundary coordinates, under the principle of virtual work and with the dual vector technique, the 1st-order ordinary differential scaled boundary finite element dynamic equation for composite beams was obtained, with its general solution in the form of the analytical matrix exponential function. The Padé expansion was utilized to solve the matrix exponential function and the dynamic stiffness matrix for each beam layer was acquired. According to the principle of matching degrees of freedom, the global stiffness and mass matrices of the laminated beam were gained. The eigenvalue equation was solved to give the natural vibration frequencies of the laminated composite beam. The results show that, the proposed method is widely applicable without limitation on the layer number and boundary conditions. Comparisons between the numerical natural frequencies and the experiment results of 3-, 4- and 10-layered step-shaped cantilever beams, validate the accuracy, high efficiency and fast convergence of the SBFEM.