2025 Vol. 46, No. 2

Special Topic on Computational Mechanics
Evaluation of BP Neural Network Algorithms for Predicting Elastic Buckling Loads on Cold-Formed Steel Components
DAI Yiling, WANG Shaokuai, YIN Lingfeng
2025, 46(2): 129-141. doi: 10.21656/1000-0887.450050
Abstract(669) HTML (284) PDF(113)
Abstract:
The elastic buckling critical load is a crucial indicator for accurately assessing the load-bearing capacity of cold-formed steel components. The artificial neural networks were used to predict the buckling loads on cold-formed flanged steel columns, with geometric parameters and finite strip method results as the dataset. Six optimization algorithms based on the optimization theory were applied to train the networks, with their performances compared. Optimal hyperparameters were determined through random grid search. Three statistical parameters were used to evaluate the networks' post-training performances. The Levenberg-Marquardt (L-M) algorithm demonstrates higher accuracy in nonlinear least squares problems, significantly reducing prediction errors after multiple trainings, and outperforming other algorithms.
Characteristic Analysis on Effects of High-Energy Pipe Wall Friction on Steam Jets
XU Yanming, XIN Zhiqiang, HE Zheng, CAI Yu
2025, 46(2): 142-153. doi: 10.21656/1000-0887.450047
Abstract(594) HTML (340) PDF(38)
Abstract:
The steam jetting during the double-end fracture of high-energy pipelines was studied through numerical simulations. The effects of stagnation pressure and pipe wall friction on the jet cone and impingement forces were investigated, and the patterns of velocity, temperature, and pressure in the jet cone were summarized. Additionally, by comparison of the impingement forces under various inlet conditions with the results calculated based on the design criteria, the applicability of the design criteria beyond the applicable pressure range was studied. The results show that, the pressure and temperature of the steam jet decrease rapidly within a certain distance from the nozzle outlet, while the velocity rapidly increases, followed by fluctuations and changes. As the distance from the nozzle outlet increases, the velocity and temperature in the jet cone gradually decrease, and the pressure is close to the atmospheric pressure. The initial spread angle of the jet cone, the influence zone of the jet cone, and the impingement force are positively correlated with the inlet pressure, and negatively correlated with the roughness of the inner wall of the nozzle. The assumption of the initial jet cone angle in the design criteria is not universal, and the actual initial jet cone angle exceeds 45° set by the standard model at higher stagnation pressures. In the case where the whole jet impinges on the flat plate, according to the design criteria, the standard model can precisely predict the impingement force of the steam jet in the ideal pipe without wall friction. However, under the design criteria, there will be some deviation to evaluate the impingement force on a real pipe jet with wall friction, and this deviation will increase with wall friction and pressure.
Research on Dispersion Characteristics of Multi-Segment Beam Lattices Based on the Dynamic Stiffness Theory and the Wittrick-Williams Algorithm
PENG Changqing, LIU Jinxing
2025, 46(2): 154-164. doi: 10.21656/1000-0887.450043
Abstract(487) HTML (295) PDF(49)
Abstract:
The dynamic stiffness method (DSM) was employed to describe dynamic responses of periodic lattices composed of multi-segment beams (MSBs), and the dispersion characteristics were examined based on the Wittrick-Williams algorithm (WWA). First, the dynamic stiffness matrix of the MSB was obtained with the continuity conditions in terms of displacements and stresses at inner joints. The obtained dynamic stiffness matrix in nature remains a 2-node type element, and has the same dimensions as those of a 2-node homogeneous beam. The combination of the DSM and the WWA enables the accurate calculation of natural frequencies of the lattice. As for a periodic unit cell of the MSB lattice, the Floquet boundary condition was introduced into the initial DSM, and then dispersion curves and natural frequencies can were obtained with the WWA. In the irreducible Brillouin zone, results obtained with the proposed method agree reasonably well with those by software COMSOL, with errors no larger than 6%, which verifies the effectiveness of the proposed method. Furthermore, the effects of microscopic geometric and material parameters on lattice dispersion curves were studied. The results show that, the MSB makes an effective way to adjust dispersion characteristics of lattices by building periodic lattices.
Deformation Modes and Energy Absorption Performances of Concave Profile Tubes Under Axial Crash
TANG Zhiliang, GAO Yongqiang, XU Weikai
2025, 46(2): 165-174. doi: 10.21656/1000-0887.450049
Abstract(629) HTML (473) PDF(51)
Abstract:
The deformation modes and energy absorption performances of thin-walled concave profile tubes subjected to axial crash were investigated, and the advantages of concave tubes over conventional convex polygonal tubes in improving energy absorption performances were demonstrated. The classification of axial deformation modes of concave tubes and their variations with cross-section parameters were studied with the finite element method, and the concave tubes under oblique impact loads were also investigated. The concave tubes show dramatic improvements of energy absorption performances over the conventional square tubes.
Dynamics and Control
Effects of Impact Positions on Dynamic Responses of Thin-Walled Cylindrical Shells Under Lateral Shock Loadings
FAN Zhaoshuai, GE Shuhong, YUE Zengshen, PENG Yuxiang, JIAO Jiankai, LIU Jianhua, ZHANG Qiancheng
2025, 46(2): 175-186. doi: 10.21656/1000-0887.450074
Abstract(659) HTML (348) PDF(63)
Abstract:
The effects of impact positions (offset ratios) on the dynamic behaviors of Q235 steel thin-walled cylindrical shells under lateral impacts by foam projectiles were explored with finite element software ABAQUS/Explicit. Based on existing experimental results, the accuracy of the finite element model was validated, and the model was employed to conduct a comparative analysis of the dynamic deformation evolution, the deflections at mid-points of the impact region on the impact and rear sides, and the final deformation modes of the cylindrical shell under different offset ratios. The results show that, the deflections at the mid-point of the impact region on the impact side are consistent with the impact direction, while those on the rear side are in the opposite direction; the asymmetric deformation mode of the cylindrical shell becomes more pronounced as the offset ratio increases. Subsequently, the effects of constraint types, initial momentums, and length-to-diameter ratios on the impact resistance of the cylindrical shell under offset lateral impact were studied. The comparisons indicate that, regardless of the constraint type or the initial momentum, an increase in the offset ratio will reduce the absolute values of the deflections at the mid-point of the impact region on both sides, which will also slow down the transition process of deflections at the mid-point of the impact region on the rear side from indentation to bulging, under the influence of the length-to-diameter ratio. This enhancement mechanism is primarily attributed to the significant improvement of the constraining effect of boundary conditions on the cylindrical shell as the offset ratio increases.
Application of High-Order Isoparametric Elements in Free Vibration of Membrane Structures
QIAO Haiqing, BAO Siyuan, DENG Zichen, WANG Bo
2025, 46(2): 187-198. doi: 10.21656/1000-0887.450025
Abstract(557) HTML (293) PDF(47)
Abstract:
The membrane is one of the most widely used structures in engineering. Because the theoretical solution of the structure's natural vibration characteristics is related to the trigonometric function family, the accuracy of the finite element solution is not very high by the conventional low-order element analysis. Although the h-type finite element method can improve the accuracy of the finite element solution with refined meshing of the structure, the corresponding pre-processing is relatively difficult, and the accuracy of the finite element solution may be reduced if the refined mesh is distorted. Based on the p-type finite element method, 2 quadrilateral high order isoparametric elements, i.e., isoparametric element Q16 with 16 nodes and isoparametric element Q13 with 13 nodes, were constructed to study the free vibration characteristics of membranes. Examples of membranes with different shapes and different boundary conditions show that, the proposed elements have faster convergence rates, higher computational accuracies and efficiencies than conventional low-order isoparametric elements.
Vertical Vibration Control of Nonlinear Viscoelastic Isolation Systems With Time Delay Feedback
WANG Daohang, SUN Bo, LIU Chunxia, ZHOU Ziyi, LIU Yu
2025, 46(2): 199-207. doi: 10.21656/1000-0887.450037
Abstract(579) HTML (394) PDF(56)
Abstract:
The vertical vibration control of nonlinear viscoelastic vibration isolation systems with time delay feedback was studied. Based on the viscoelastic nonlinear Zener model, a time delay controller was introduced to establish the mathematical model for time delay feedback viscoelastic vibration isolation system. The approximate analytical solution under the condition of primary resonance was obtained with the multiscale method. The stability conditions of the system were obtained based on the Routh-Hurwitz theory. Finally, the correlation between the time delay parameters and the vibration behavior of the viscoelastic vibration isolation system was analyzed. The results show that, the time delay controller can effectively control the unstable behaviors and vibration amplitudes of the viscoelastic vertical vibration system, and the time delay parameters can be used as independent variables to regulate the vibration characteristics of the system. The work provides a theoretical guidance for the application of time delay control to improve the vertical vibration stability of viscoelastic vibration isolation systems.
Study on the Responses and Damping Performances of Series-Parallel- Ⅱ Inerter Systems'Dissipation Damping Structures
LI Chuangdi, CHAI Yige, FAN Xinyu, WANG Ruibo, GE Xinguang
2025, 46(2): 208-222. doi: 10.21656/1000-0887.440325
Abstract(524) HTML (418) PDF(38)
Abstract:
Aimed at the complexity of the effects of the multi-degree-of-freedom series-parallel-Ⅱ inerter system (SPIS-Ⅱ) on the damping and reliability of structures, the dynamic responses of the energy dissipation structure were studied with the power spectrum quadratic decomposition method. The reconstructed equations of motion were decoupled with the complex modal method to obtain unified solution expressions in the frequency domain for the responses of structural displacements and velocities, structural inter-storey displacements and inter-storey velocities, inter-storey shear forces and inter-storey displacement angles. The analytical solutions of power spectrums and spectral moments of the above responses were obtained with the quadratic decomposition method for the power spectrum. With a 16-storey actual structure as an example, the correctness of the power spectrums and spectral moments was verified. Finally, based on the displacement standard deviation and the analytical solution of the spectral moments, the effects of the inertial system parameters on the structural damping were explored, and the dynamic reliability was analyzed. The results show that, the proposed SPIS-Ⅱ structure has good vibration damping effect and reliability.
Fluid Mechanics
Spatiotemporal Characterization of Unsteady Cascade Flow Fields Driven by Rotor Stator Interaction Using Modal Decomposition
ZHOU Xiangxin, LI Teng, YANG Weijian, LIN Yongkang, ZHANG Tao, YAO Jianyao
2025, 46(2): 223-240. doi: 10.21656/1000-0887.450121
Abstract(872) HTML (717) PDF(53)
Abstract:
The unsteady flow caused by the rotor-stator interaction is the primary excitation source for the forced response of the blade/blisk. A more accurate and comprehensive characterization of the spatiotemporal features of the rotor-stator interaction unsteady flow field is of significance for the analysis of fluid-structure interaction vibrations. The typical modal analysis methods such as the proper orthogonal decomposition (POD) and the dynamic mode decomposition (DMD) were employed to effectively identify and extract the excitation components from complex flow systems. With a 1.5-stage turbine cascade as the example, the POD method and the DMD method were used to obtain the flow modes and temporal bases of the 2D rotor-stator interaction flow field, and analyse the spatiotemporal characterization of the blade channel. The results show that, the both modal decomposition methods can effectively identify the flow characteristics and realize the reasonable reduction of the flow field. The POD method, with the modal energy ranking, can accurately identify the dominant flow structures in the flow field. Meanwhile, the DMD method based on frequency characteristics can rapidly pinpoint the excitation frequencies and engine orders of each mode in the flow field. Compared to the fast Fourier transform (FFT) methods, the modal decomposition techniques are not influenced by the sampling locations and effectively combine full-field flow recognition with local feature analysis. This approach facilitates swift analysis of unsteady excitation-coupled vibrations in turbomachinery.
Study on Overflow Accident Monitoring Based on Synchronous Features of Multiple Well Logging Parameters
CHEN Qing, HUANG Zhiqiang, KONG Xiangwei, HE Xianjie, XU Zhou, AN Guotao
2025, 46(2): 241-253. doi: 10.21656/1000-0887.450125
Abstract(583) HTML (345) PDF(31)
Abstract:
Judging overflow accidents based on well logging parameters relies heavily on the experience of on-duty personnel, and the comprehensive well logging parameters collected in-situ have severe noises and unclear parameter change characteristics, resulting in low accuracy of overflow monitoring. A multi-parameter synchronous overflow identification method was obtained through low-pass filtering and locally weighted linear regression to remove the high-frequency signals and low-frequency noises of the in-situ comprehensive well logging parameter curves, and after normalization processing. Combined with the characteristics of the GCN graph matching and the BRNN bidirectional transmission, the GCN-BRNN fusion model was established to improve the accuracy of overflow accident monitoring. The results show that, the local weighted linear regression can make the curve change characteristics more obvious, and the accuracy of the multi-parameter synchronous monitoring after normalization is higher than that of the single-parameter monitoring. With the comprehensive well logging data of a well in western Sichuan as an example, compared with the original model, the combined model has a higher accuracy reaching 85% in overflow identification. The characteristics of the reservoir affect the accuracy of logging parameter collection; the more uniform the reservoir distribution structure is and the more stable the properties are, the higher the accuracy of overflow monitoring will be. After in-situ application in the JT well, the identification accuracy of overflow accidents is ≥89%, and the actual overflow risk is consistent with the model identification results. This method can effectively handle conflicts between multiple sources of information, improve the accuracy of overflow monitoring, and provide guidance for in-situ overflow accident monitoring methods combined with well logging parameters.
Research on Wellbore Pressure in the Dynamic Killing Process for Complex Structure Wells Based on the Wellbore Multiphase Flow Theory
YANG Pengfei, MAO Liangjie, YANG Sen, CHEN Xuefeng
2025, 46(2): 254-270. doi: 10.21656/1000-0887.450061
Abstract(1126) HTML (602) PDF(41)
Abstract:
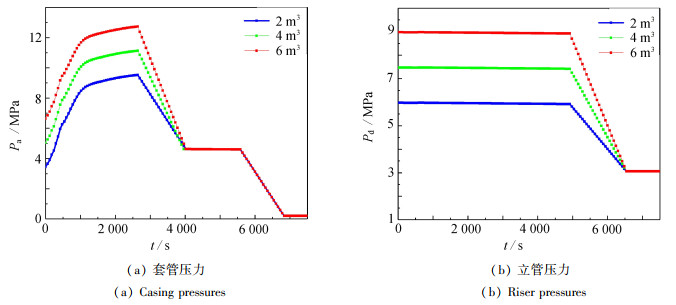
Based on the wellbore multiphase flow theory and the calculation method for wellbore trajectories, a dynamic well killing mathematical model for complex well structures was established, and the finite difference method was used to solve it. The wellbore pressures during the well killing process were simulated and studied, and the influences of initial gas influxes, kill fluid displacements and densities, and horizontal well lengths on the wellbore pressures were studied. The research results show that, for high inclination and horizontal wells, the casing pressures will become larger and the casing time will increase significantly in the process of killing well. The larger the initial gas inflow is, the higher the casing pressures and riser pressures will be, to balance the wellbore pressures. The higher the killing capacity is, the lower the casing pressure and the higher the riser pressure will be. The higher the kill fluid density is, the lower the casing pressures and riser pressures will be. The longer the horizontal section length is, the greater the casing pressures and the longer the kill time will be. The work has guiding significance to ensure the well killing operation of complex structure wells.
Cover And Contents
Cover And Contents
2025, 46(2)
Abstract(469) PDF(382)
Abstract: