2025 Vol. 46, No. 4

Cover And Contents
Cover And Contents
2025, 46(4)
Abstract(376) PDF(382)
Abstract:
Dynamics and Control
An FEM-SBFEM Coupled Method for Infinite Reservoir Responses With Uniform Cross Sections Under Seismic Excitations in Frequency and Time Domains
LI Shangming, XIAO Shifu
2025, 46(4): 425-437. doi: 10.21656/1000-0887.450138
Abstract(432) HTML (241) PDF(54)
Abstract:
It is necessary to accurately calculate the dynamic responses of infinite reservoirs in seismic design and evaluation of dams. Based on the mechanical derivation technique of the scaled boundary finite element method (SBFEM), the frequency domain response formulas for the infinite reservoirs with uniform cross sections under upstream seismic excitations were derived, and the time domain response governing equations were obtained through the inverse Fourier transform. Then the SBFEM formulas of frequency domain and time domain responses of infinite reservoirs under upstream, cross-stream and vertical seismic excitations were derived by linear superposition. The FEM-SBFEM coupled equations for frequency and time domain responses of infinite reservoirs were established. Based on these proposed formulations, the time domain and frequency domain responses of the 2D or 3D infinite reservoirs with uniform cross sections under seismic excitations were analyzed. The numerical results validate the accuracy of the proposed formulations. The proposed formulations can be used to analyze harmonic and transient responses of infinite reservoirs with arbitrary geometry and absorptive reservoir bottom under seismic excitations.
Analysis on Dynamic Characteristics of Rotating Flow Tubes With Multi-Channel and Different Flow Directions
ZHANG Bo, WANG Yichen, CAI Chengyu, DING Hu, CHEN Liqun
2025, 46(4): 438-450. doi: 10.21656/1000-0887.440359
Abstract(752) HTML (296) PDF(48)
Abstract:
Turbine blades were the key components for gas turbine power output. To work normally in high temperature environment, cooling tube channels need be set inside the blades. The blade has complex dynamic behaviors under the joint action of internal fluid and its own rotation. The blade was simplified into a rotating pipe conveying fluid tube with multi-channel and different flow directions. The kinetic equation was derived with the energy method and the complex modal analysis was carried out. The effects of the flow direction, the velocity and the rotating speed on the stability and modal transition phenomena of the system were revealed with numerical examples.
Robust Constraint Following Control of Lower Limb Rehabilitation Robots Based on the Generalized Udwadia-Kalaba Method
SUN Hao, WANG Xin, HU Aohua, MA Chao
2025, 46(4): 451-464. doi: 10.21656/1000-0887.450085
Abstract(573) HTML (276) PDF(35)
Abstract:
A robust constraint following controller based on the generalized Udwadia-Kalaba (U-K) equation was proposed for the problem of equality constraints and inequality constraints in the lower limb rehabilitation robot system, to make the system meet the equality constraints and inequality constraints at the same time, solve the uncertainty in the system, and achieve good constraint following effects on the robot. During the working process of the robot, the traditional control method is difficult to ensure that the motion range of the robot is within the boundary conditions, resulting in secondary injury to the patient during use. To solve the influence of boundary problems, a control method was proposed to use the diffeomorphism transformation to incorporate the equality constraint and inequality constraint system into the U-K equation, with the generalized U-K equation established mathematically. On this basis, a robust constraint tracking strategy was presented to ensure satisfactory performances of the system in the presence of uncertainties and various constraints. In addition, the stability of the robust control method was theoretically proved with the Lyapunov function. The simulation results show that, the robust control method has high-precision tracking control of a given trajectory under non-ideal conditions.
Research on the Dynamic Behaviors of the Vortex Induced Vibration Power Generation System Under Nonlinear Restoring Forces
LIU Lilan, REN Hang, LI Jiajia, WANG Jiayi, WANG Shen, WU Ziying
2025, 46(4): 465-482. doi: 10.21656/1000-0887.450090
Abstract(580) HTML (273) PDF(42)
Abstract:
An underwater vortex-induced vibration power generation system under nonlinear restoring forces was proposed. The nonlinear restoring force was generated by means of the geometrical nonlinearity of linear springs arranged obliquely. The lateral reciprocating motion of the oscillator was transformed into a unidirectional rotary motion of the generator by dint of unidirectional bearings and gear-rack mechanisms, a booster box and a rotor generator. The dynamic flow-structure-electricity coupling equations for the vortex-induced vibration power generation system were established. Then the static equilibrium point bifurcation of the nonlinear vibration of the oscillator and the ranges of different stable state motions were obtained under the nonlinear vibration theory. The nonlinear dynamic behaviors of the oscillator under the conditions of PF-2SN and 2PF-2SN bifurcations were studied mainly. The bifurcation graphs, phase graphs and Poincaré mappings of the system were achieved. The vibration behaviors and motion laws of the oscillator under the conditions of single-period small motion, large chaos motion and quasi-periodic large motion were analyzed. Then, the generation power values of the generator for different stable state motions of the oscillator were also calculated. The results show that, in the PF-2SN bifurcation mode, the system has obvious advantages in vibration and power generation in the bi-stable motion, with an average amplitude ratio of 2.18 and a maximum power of 24.45 W. While in the 2PF-2SN bifurcation mode, the vibration and power generation of the system are more superior in the tri-stable motion, with an average amplitude ratio of 1.98 and a maximum power generation of 18.32 W.
Solid Mechanics
A Fast Solution Method and Program Development for Large-Scale RBE 3 Elements Based on the SABRE Software
ZHANG Changxing, WANG Likai, CHANG Liang, NIE Xiaohua
2025, 46(4): 483-494. doi: 10.21656/1000-0887.450181
Abstract(1082) HTML (350) PDF(28)
Abstract:
With the increasing sophistication of complex structural simulation modeling, the number of RBE3 elements applied to component connections and load distribution increases dramatically, which brings difficulties in the numerical solution with autonomous structural analysis software. First the displacement constraint relationship between the master and slave nodes of the RBE3 element was established, the reasons for the linear elimination theory bringing the difficulty in solving the problem was analyzed, and then the augmented Lagrange theory was used to introduce the displacement constraint relationship into the functional for the finite element problem, and derive the explicit expression of the stiffness matrix for the RBE3 element by means of the variation of the functional. Thereby, the constraint processing problem was converted into an element solution problem. Finally, based on the above theory, the design and development of relevant functional modules were combined with autonomous structural analysis software SABRE. The engineering example verification shows that, the developed program is basically consistent with NASTRAN in solving the analysis model containing large-scale RBE3 elements, with significantly improved solution efficiency.
Carbon Fiber Shape and Interphase Effects on the Equivalent Thermoelastic Properties of Composites
SUN Yang, FAN Zhenjie, LIU Mabao
2025, 46(4): 495-504. doi: 10.21656/1000-0887.450151
Abstract(663) HTML (258) PDF(50)
Abstract:
Carbon fiber reinforced polymer matrix composites are widely used engineering materials, and their performances directly affects the safety and reliability of engineering applications. The carbon fiber shape and interphase are considered as important factors affecting the properties of composites. Therefore, conducting in-depth research on the carbon fiber shape and interphase effects on the thermoelastic properties of composites is of significance for the optimization design and engineering application of carbon fiber composites. A representative volume element (RVE) model was established with the finite element method. The internal microstructure of the composite was simulated, and the influences of different fiber volume fractions and shapes, interphase volume fractions and behaviors on the equivalent properties of fiber composites, were investigated. The results show that, the fiber shape has little effect on macroscopic longitudinal Young's modulus and the longitudinal thermal expansion coefficient of the composite, but has a great influence on transverse Young's modulus, the transverse shear modulus, the longitudinal shear modulus and the transverse thermal expansion coefficient, especially with the increase of the fiber volume fraction. Longitudinal and transverse Young's moduli of the composite will increase with the interfacial volume fraction, while the interphase effect is manifested as a hard one, but will decrease while the interphase effect is manifested as a soft one. When the interfacial thermal expansion coefficient is less than that of the matrix, both the longitudinal and the transverse thermo-parameters of the composite will decrease with the interfacial volume fraction; but when the interfacial thermal expansion coefficient is greater than that of the matrix, both the longitudinal and the transverse thermo-parameters of the composite will increase with the interfacial volume fraction.
Reconstruction of Heat Sources for Parabolic Equations With Wentzell Boundary Conditions
YI Haihong, YANG Liu, TIAN Yu
2025, 46(4): 505-518. doi: 10.21656/1000-0887.450029
Abstract(459) HTML (230) PDF(32)
Abstract:
The inverse problem of reconstructing spatially related source terms in parabolic heat conduction equations was studied under the Wentzell boundary conditions and with the terminal temperature measurements. This study has important applications in determining the source terms in heat conduction engineering problems, and the difficulty lies in the handling of the Wentzell boundary conditions. Based on the divergence theorem, the boundary conditions were combined with parabolic equations. The extremum principle was proved differently under various boundary conditions. Due to the ill-posedness of the original problem, based on the framework of the optimal control theory, the original problem was optimized, and the existence and necessary conditions for the regularization solution were established. Furthermore, under the validness of the extremum principle, the uniqueness and stability of the regularization solution were proved.
Applied Mathematics
Asymptotic Characterization of Non-Emptiness and Boundedness of Efficient Solution Sets for Nonconvex Multi-Objective Optimization Problems
LIU Ying, FU Xiaoheng, TANG Liping
2025, 46(4): 519-527. doi: 10.21656/1000-0887.450235
Abstract(480) HTML (201) PDF(45)
Abstract:
The non-emptiness and boundedness of the solution sets of optimization problems play a crucial role in numerical algorithms. Based on asymptotic analysis, the non-emptiness and boundedness of the (proper) efficient solution sets for nonconvex multi-objective optimization problems under regularity conditions were obtained. Firstly, the inner and outer asymptotic estimations were established for the efficient solution sets and the properly efficient solution sets of nonconvex multi-objective optimization problems via asymptotic cones and asymptotic functions. Then, based on these estimates, the non-emptiness and boundedness of the efficient solution sets for nonconvex multi-objective optimization problems were characterized. Finally, some necessary conditions for the existence of efficient solutions to nonconvex multi-objective optimization problem were given.
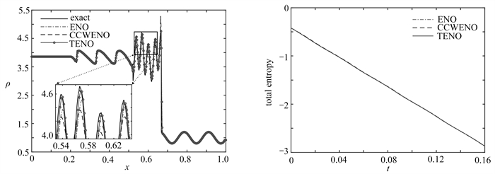
Low-Dissipation 5th-Order Entropy Stable Schemes
LIU Jiahao, ZHENG Supei, CHEN Mengying, GUO Yilin
2025, 46(4): 528-541. doi: 10.21656/1000-0887.450091
Abstract(466) HTML (237) PDF(40)
Abstract:
The existence of intermittent solutions to hyperbolic conservation law equations requires high accuracy and resolution of the numerical solution schemes. The entropy stable schemes constructed by Tadmor et al. has numerical solutions that converge to physically meaningful unique solutions, but with severe dissipation large smearing effects and only 1st-order spatial accuracy. Therefore, the TENO (targeted essentially non-oscillatory) reconstruction with low numerical dissipation was introduced into the TeCNO framework, and a low-dissipation 5th-order TENO-type entropy stable scheme was constructed. It was proved that the jumps of the reconstructed entropy variables at the cell interfaces satisfy the sign-preserving property and the entropy stability of the constructed schemes. Finally, the low numerical dissipation, high convergence order, high resolution and good numerical robustness of the 5th-order TENO-type entropy stable scheme, were verified through various numerical examples.
Robust Scalarization of a Class of Uncertain Multi-Objective Optimization Problems
HE Yu, XIA Yuanmei, GUO Hui
2025, 46(4): 542-550. doi: 10.21656/1000-0887.450194
Abstract(456) HTML (220) PDF(44)
Abstract:
Scalarization methods play an important role in solving uncertain multi-objective optimization problems. Firstly, based on the idea of robust optimization, a robust Pascoletti-Serafini scalarization for uncertain multi-objective optimization problems was proposed, and the scalarization properties of robust weakly efficient solutions and robust efficient solutions were established. Furthermore, a robust flexible Pascoletti-Serafini scalarization method for uncertain multi-objective optimization problems was proposed, and the scalarization properties of robust weakly efficient solutions, robust efficient solutions, and robust properly efficient solutions were established. Moreover, some examples were provided to illustrate the main results.
Stability of Stationary Solutions to Micropolar Fluid Equations With Unbounded Delay
YI Luyan, LIU Guowei
2025, 46(4): 551-562. doi: 10.21656/1000-0887.450300
Abstract(363) HTML (206) PDF(41)
Abstract:
The stability of stationary solutions to micropolar fluid equations with unbounded delay was studied through combination of 4 different techniques with the stability theory. The results show that, when the unbounded delay function is continuously differentiable with respect to time, the nontrivial stationary solution will be locally stable and the trivial stationary solution will be asymptotically stable; when the unbounded delay function is only continuous with respect to time, the nontrivial stationary solution will be globally stable; when the unbounded delay is a proportional delay, the trivial stationary solution will be polynomially stable.