• Scopus收录
  • CSCD来源期刊
  • 中文核心期刊

留言板

尊敬的读者、作者、审稿人, 关于本刊的投稿、审稿、编辑和出版的任何问题, 您可以本页添加留言。我们将尽快给您答复。谢谢您的支持!

姓名
邮箱
手机号码
标题
留言内容
验证码

2022年  第43卷  第10期

显示方式:
流体力学
可压缩Navier-Stokes方程的时空耦合优化低维动力系统建模方法
齐进, 吴锤结
2022, 43(10): 1053-1085. doi: 10.21656/1000-0887.430220
摘要(1498) HTML (702) PDF(370)
摘要:

当采用低维动力系统模型研究Navier-Stokes方程的动力学性质时,保持低维模型的吸引域与Navier-Stokes方程的吸引域相同是非常重要的。然而,到目前为止,还没有一种普适的方法能确保对于一般问题都能达到这一目的。该文发现任何基于空间基的低维模型,如本征正交分解基、优化空间基和其他经典空间基,都不具有可预测性,即低维动力系统的误差随着流场的时间演化而增大。在构造优化动力系统的理论框架和时空耦合谱展开的新概念下,该文构造了可压缩Navier-Stokes方程的低维模型来逼近大涡模拟方程的数值解,给出了高精度的流场数值模拟结果和全新的时空耦合基时空演化数值结果。全场误差在10−2%以下,而每个网格点的平均误差在10−8%以下。时空耦合化化低维动力系统可以保证低维模型的吸引域与Navier-Stokes方程的吸引域相同。因此,保证了时空耦合优化低维动力系统的特征动力学性质与真实流场的特征动力学性质是一致的。

底部加热肥皂泡上准二维湍流的数值模拟
贺啸秋, 熊永亮, 徐顺, 彭泽瑞, 陈波
2022, 43(10): 1086-1104. doi: 10.21656/1000-0887.430143
摘要(1206) HTML (780) PDF(94)
摘要:

底部加热的肥皂泡是一种全新的二维热对流模型,在实验中已发现肥皂泡上的岛涡运动规律与飓风轨迹规律一致。然而,肥皂泡的曲面特征对其准二维流场的数值模拟以及数据分析造成了较多困难。针对肥皂泡球面几何特征,该文介绍了其直接数值模拟(DNS)方法,及其流场空间波数谱、湍流通量和结构函数的计算分析方法。开展了Ra=3×107,3×109,3×1011的数值计算,并获得了相应的波数谱、通量和湍流结构函数。计算结果表明,肥皂泡上速度的小尺度脉动特征满足Bo59的理论标度律,通过湍动能与拟涡能通量特征,发现在该准二维湍流场中存在湍流能量双级串现象。且随着Rayleigh数的增加,大尺度结构湍能量减小,更小尺度湍流结构能量增加。

高超声速流动与换热数值仿真研究
王强, 徐涛, 姚永涛
2022, 43(10): 1105-1112. doi: 10.21656/1000-0887.420346
摘要(1128) HTML (459) PDF(78)
摘要:

基于有限差分法开发了高超声速流动与换热问题气热耦合仿真求解器,运用该求解器对三种典型高超声速流动与换热问题开展了仿真研究,得到了相应的气动参数、热流密度分布。高超声速后台阶的存在使表面气动参数、热流分布不再连续;随着缝深的提高,缝隙局部流速迅速降低,对流换热效应减弱;高超声速无限长圆管绕流中,边界层外部区域气动参数随时间变化不大,边界层内存在较大的温度梯度,壁面温度随时间升高。三个算例的仿真结果均与试验测量值进行了对比,验证了所开发的求解器的计算能力。

固体力学
基于响应面法和改进算术优化算法的抱杆优化设计
陶然, 周焕林, 孟增, 杨小猛
2022, 43(10): 1113-1122. doi: 10.21656/1000-0887.420318
摘要(1507) HTML (710) PDF(104)
摘要:

抱杆优化设计需要耗费大量有限元分析计算时间,难以确定可行域。该文采用响应面法(response surface method,RSM)来模拟抱杆结构的真实响应,提出了改进的算术优化算法(improved arithmetic optimization algorithm,IAOA)对抱杆结构进行优化设计。将分数阶积分引入算术优化算法(arithmetic optimization algorithm,AOA),改善了算法的开发能力。采用拉丁超立方抽样,选取抱杆结构杆件截面试验样本,利用最小二乘法对样本点进行分析,构建了抱杆结构应力和位移关于杆件截面尺寸的二阶响应面代理模型。建立以抱杆质量最小化为优化目标,许用应力和位移为约束条件的优化模型,采用IAOA对其进行求解。结果表明:二阶响应面模型能够准确预测抱杆结构的响应值,IAOA的求解精度得到显著提升,代理模型可大幅降低有限元分析所需的计算代价,优化后抱杆结构质量减轻了8.2%。联合使用RSM和IAOA可有效求解大型空间杆系结构的优化设计问题。

基于重构边界光滑离散剪切间隙法的复合材料层合板自由振动分析
李情, 陈莘莘
2022, 43(10): 1123-1132. doi: 10.21656/1000-0887.430109
摘要(985) HTML (421) PDF(67)
摘要:

重构边界光滑离散剪切间隙(RES-DSG3)法,利用边界光滑技术将域积分转化为沿光滑域边界的边界积分,结合基于全局坐标系的非等参离散剪切间隙(DSG)法,避免了坐标映射和Jacobi矩阵的计算,同时克服了“剪切自锁”现象,提高了计算的精度。基于一阶剪切变形理论,采用该文给出的方法,从不同材料参数、边厚比、边界条件等几个方面对复合材料层合板自由振动固有频率进行了数值分析,通过典型算例的计算,验证了该方法的可行性和有效性。

变截面二维功能梯度微梁的振动和屈曲特性
雷剑, 谢宇阳, 姚明格, 何玉明
2022, 43(10): 1133-1145. doi: 10.21656/1000-0887.420323
摘要(1114) HTML (575) PDF(117)
摘要:

基于修正的偶应力理论和Timoshenko梁理论,应用变分原理建立了变截面二维功能梯度微梁的自由振动和屈曲力学模型。模型中包含金属组分和陶瓷组分的材料内禀特征尺度参数,可以预测微梁力学行为的尺度效应。采用Ritz法给出了任意边界条件下微梁振动频率和临界屈曲载荷的数值解。数值算例表明:微梁厚度减小时,无量纲一阶频率和无量纲临界屈曲载荷增大,尺度效应增强。锥度比对微梁一阶频率的影响与边界条件密切相关,同时,对应厚度和对应宽度锥度比的影响也有明显差异。变截面微尺度梁无量纲一阶频率随着陶瓷和金属的材料内禀特征尺度参数比的增加而增大,且不同边界条件时增大程度不同。厚度方向和轴向功能梯度指数对微梁的一阶频率和屈曲载荷也有显著的影响。

变厚度各向异性功能梯度转动圆盘的弹性分析
彭旭龙, 黄海平, 李进宝, 陈央, 陈子光
2022, 43(10): 1146-1154. doi: 10.21656/1000-0887.430032
摘要(1167) HTML (511) PDF(92)
摘要:

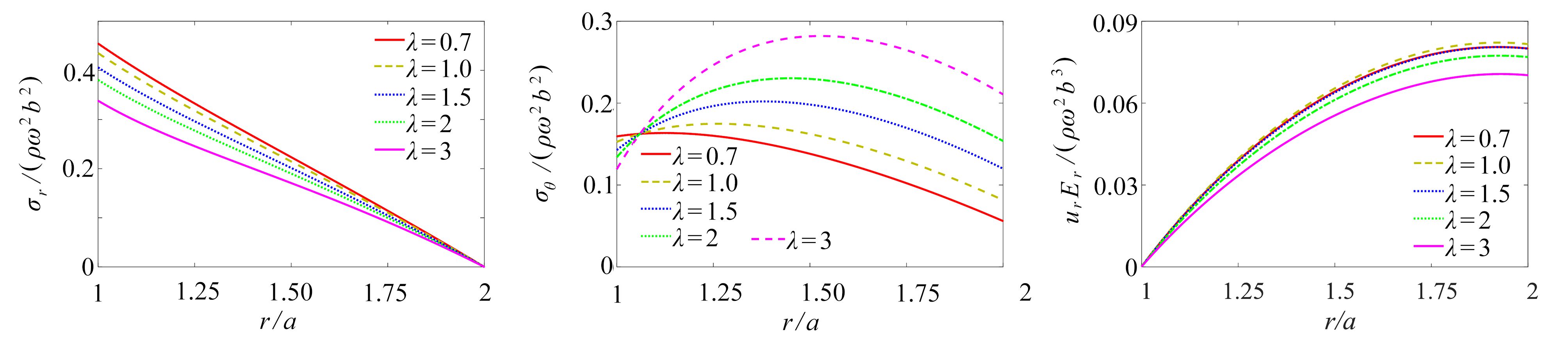
研究了任意梯度变化的变厚度各向异性转动圆盘的弹性问题。假设圆盘绕刚性轴匀速转动,其材料性能和厚度沿径向任意梯度变化。考虑圆盘在中心转轴处受位移约束,外侧自由,根据各向异性转动圆盘的平衡微分方程,得到关于径向应力的Fredholm积分方程,继而通过对Fredholm积分方程进行数值求解,得到结构的位移场和应力场。对具体梯度变化情况仅需代入相应梯度变化进行求解即可。数值算例部分,通过假设厚度、弹性模量等参数为特殊的幂函数形式,将由Fredholm积分方程求出的数值解与对应的精确解进行对比,以及针对常见的Voigt模型,将由该方法算得的数值解和ANSYS有限元计算结果进行对比,验证了该方法的准确性和精度。其次,针对Voigt模型,重点分析了厚度变化、材料性能梯度参数、各向异性度等对应力场和位移场的影响。提出了针对材料性能和厚度沿径向呈任意梯度变化的圆盘结构弹性分析方法,将为优化功能梯度圆盘的结构和材料参数、有效调整构件应力分布、提高结构安全性,提供强有力的工具;算例分析结果对功能梯度圆盘在复杂条件下的结构安全设计有重要的理论指导意义。

应用数学
时间周期的离散SIS模型的传播动力学
陈妍
2022, 43(10): 1155-1163. doi: 10.21656/1000-0887.420350
摘要(1070) HTML (497) PDF(74)
摘要:

该文研究了一类具有时间周期的空间离散多种群SIS模型的传播力学。首先,借助周期单调半流的传播速度与行波理论,证明了渐近传播速度c*的存在性。其次,利用比较原理,证得了渐近传播速度即为单调周期行波解的最小波速。

带有外部输入项的时间周期SIR传染病模型的周期行波解
宋雪, 杨赟瑞, 杨璐
2022, 43(10): 1164-1176. doi: 10.21656/1000-0887.430108
摘要(1143) HTML (489) PDF(74)
摘要:

研究了一类带有外部输入项的时间周期SIR传染病模型周期行波解的存在性和不存在性。首先,通过构造辅助系统适当的上下解并定义闭凸锥,将周期行波解的存在性转化为定义在这个闭凸锥上的非单调算子的不动点问题,利用Schauder不动点定理建立辅助系统周期解的存在性,并利用Arzela-Ascoli定理证明了原模型周期行波解的存在性。其次,借助分析技术得到了周期行波解的不存在性。

一类带有变指数非局部项的反应扩散方程解的爆破行为
田娅, 秦瑶, 向晶
2022, 43(10): 1177-1184. doi: 10.21656/1000-0887.420180
摘要(896) HTML (381) PDF(76)
摘要:

该文考虑了一类带有变指数非局部项的反应扩散方程的爆破问题。首先,由不动点原理,证明了问题解的局部存在性和唯一性。其次,利用上下解方法,给出在齐次Dirichlet边界条件下,问题的解在有限时间发生爆破的充分条件,即变指数大于零且初始值足够大,并对爆破时间的上下界进行了估计。

一类分数阶修正的不稳定Schrödinger方程的新精确解
刘静静, 孙峪怀
2022, 43(10): 1185-1194. doi: 10.21656/1000-0887.420228
摘要(915) HTML (413) PDF(105)
摘要:

研究了分数阶修正的不稳定Schrödinger方程(FMUSE),该方程描述了光脉冲在非均匀光纤系统中传播的色散、非线性、增益或吸收变化的普适问题。首先适当地利用广义分数波变换将FMUSE转化为常微分方程,分离实部和虚部并分别令为零,得到了色散关系。再利用修改的(G'/G)-展开法,求得了一系列带参数的新精确解析解,其中包括三角函数解、双曲函数解和有理函数解,并给出了保证解存在的约束条件。最后当参数取特殊值时得到暗孤波和周期波解。