• Scopus收录
  • CSCD来源期刊
  • 中文核心期刊

留言板

尊敬的读者、作者、审稿人, 关于本刊的投稿、审稿、编辑和出版的任何问题, 您可以本页添加留言。我们将尽快给您答复。谢谢您的支持!

姓名
邮箱
手机号码
标题
留言内容
验证码

2022年  第43卷  第11期

储能技术相关应用数学力学问题选题
相变材料耦合冷板电池热管理系统的优化设计
黄钦, 余凌峰, 陈凯
2022, 43(11): 1195-1202. doi: 10.21656/1000-0887.430278
摘要(1057) HTML (442) PDF(95)
摘要:

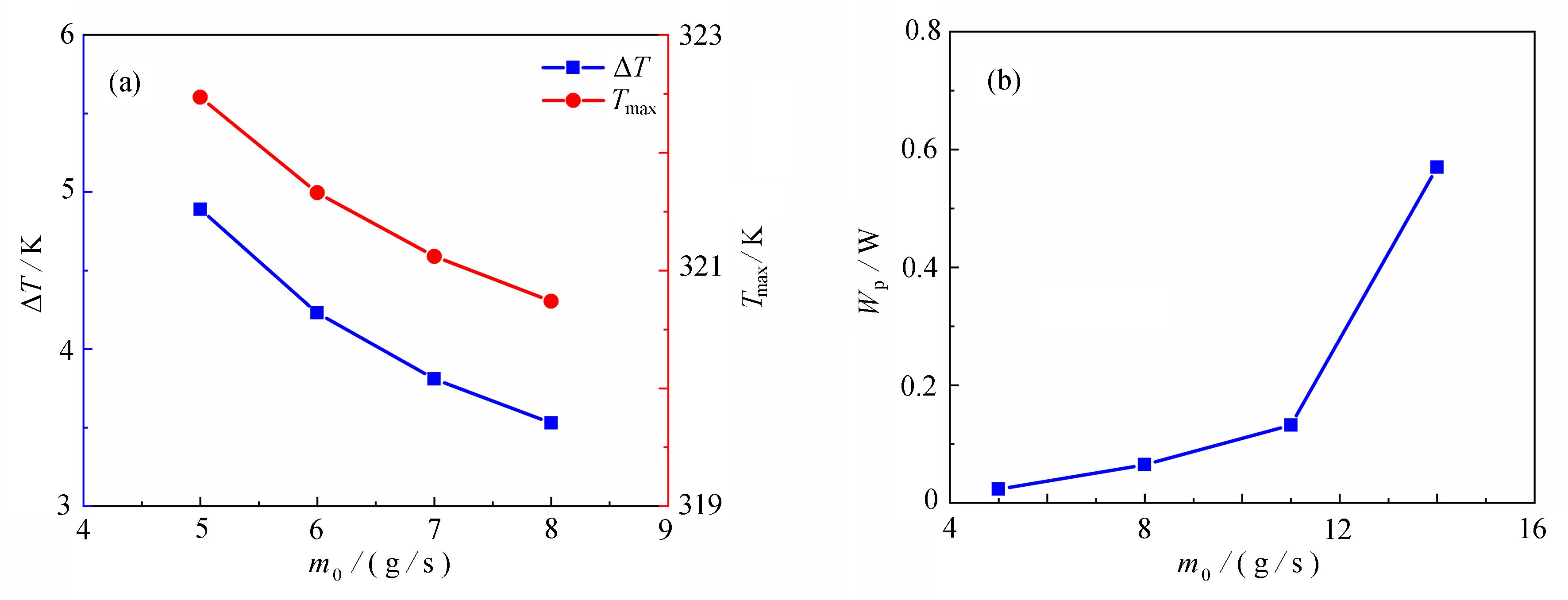
以相变材料耦合冷板电池热管理系统为研究对象,采用数值方法研究了系统的冷却性能。结果表明,通过增加耦合系统的冷却水流量可以降低电池组温度和温差,但是显著增加了冷板功耗,系统能效较低。为了提高耦合热管理系统的冷却效率,在固定系统体积的情况下,采用优化策略对系统中相变材料的厚度分布进行调整。典型算例结果表明,优化策略仅需5步调整就能得到最佳相变材料厚度分布。相比于优化前系统,优化后的系统使电池组最高温度降低了1.1 K,温差减小了29%。在同等电池组温差下,优化系统的功耗相比优化前系统下降了64%。

基于膜力因子法的方形锂离子电池冲击动力响应研究
张新春, 王俊瑜, 汪玉林, 黄子轩, 王凯, 覃江毅
2022, 43(11): 1203-1213. doi: 10.21656/1000-0887.430289
摘要(968) HTML (360) PDF(68)
摘要:

针对锂离子电池在冲击载荷下的大变形短路问题,首先建立了方形电池的简化模型,基于膜力因子法推导出电池在冲击载荷下的速度和位移运动方程。考虑到外壳厚度和芯材密度的因素,具体研究了方形锂离子电池的冲击动力响应特性。研究表明,通过引入膜力因子法改进的运动方程能够反映电池在冲击载荷下的动态响应机制,预测高速冲击下方形电池的大挠度变形。锂离子电池下部外壳的变形随电池外壳厚度的增加而减小,而电池芯材密实区域随外壳厚度的增加而增加。电池下部外壳的变形和密实区域均随电池内芯密度增加而增大。该文所提出的冲击模型可为方形锂离子电池的动力学性能多功能一体化设计提供理论参考。

计及多重阻塞的电动汽车移动储能特性建模
严浩源, 赵天阳, 刘晓川, 丁肇豪
2022, 43(11): 1214-1226. doi: 10.21656/1000-0887.430303
摘要(937) HTML (427) PDF(65)
摘要:

为实现城市交通电力耦合系统在城市道路、充电设施、输电线路阻塞环境下的优化运行,提出了计及多重阻塞的动态交通电力流联合优化方法。首先,基于时空网络模型,提出了计及电动汽车移动、静止、充电、排队模式的队列时空网络模型,构建了适用于电动汽车的车辆调度模型,进而形成动态交通分配模型,以减少交通出行损失。其次,通过优化发电机组、储能等的出力和备用计划,计及城市电网安全、备用约束,构建了安全约束动态经济调度模型,以降低碳排放及发电成本。随后,形成多目标动态优化模型,并将其转换为混合整数凸二次规划问题。最后,在耦合IEEE-30、Sioux Falls系统中验证了所提模型的有效性。

基于标准热阻的多类储热材料归一化动态表征及应用
郝俊红, 邬学峰, 张师宁, 田亮, 戈志华
2022, 43(11): 1227-1237. doi: 10.21656/1000-0887.430231
摘要(757) HTML (337) PDF(54)
摘要:

基于标准热阻和能量流法,推导出储热材料与换热流体的瞬态换热热阻,通过类比电路分析法,获得了储热-换热过程的瞬态热量流模型及动态响应时间常数。进一步引入节点温度,重新定义换热热阻,获得了储热与换热过程耦合的三阶电路瞬态热量流模型,求解得到了加热、储热和释热三类时间常数,可用于协同表征储热材料中储热与释热的快慢程度,从而实现了多类储热材料的归一化动态表征。通过数值模拟验证与应用对比分析,发现基于多时间常数的归一化动态模型用于表征储热材料的动态特性是可行的,可直接对不同换热、储热材料进行对比分析。案例分析发现与固体储热材料换热时,液态金属的动态换热能力优于熔融盐,而相比于水蒸气和CO2,空气与陶瓷材料换热能更快达到稳态。

内三角管式快速蓄放热单元的肋片拓扑优化
黄河, 高佳徐, 任智彬, 赵明
2022, 43(11): 1238-1248. doi: 10.21656/1000-0887.420198
摘要(926) HTML (486) PDF(71)
摘要:

针对传统相变蓄热器传热速率低的问题,提出了一种内三角管式的蓄热器,并基于拓扑优化原理,以强化换热为目的,对其进行肋片设计,重构了拓扑结果,进而提取其拓扑特征重新设计肋片,分析了不同肋片设计对传热能力的影响。结果表明:内三角管式蓄热器相比传统圆管式蓄热器,蓄放热性能大大提高;安装拓扑重构肋片的蓄热器可以使蓄、放热时间缩短,传热效率提高;在蓄热过程中,分叉的拓扑特征可以提高自然对流作用;在放热过程中,安装拓扑重构肋片的蓄热器(火 积)耗散更小,可逆性更好,换热效率更高。

第二类边界条件下固液相变问题的改进型准稳态近似解
杨小虎, 李少丹, 陈凯
2022, 43(11): 1249-1258. doi: 10.21656/1000-0887.420141
摘要(862) HTML (446) PDF(74)
摘要:

基于准稳态近似方法,从热平衡角度出发,给出了直角坐标系和圆柱坐标系中恒定热流边界条件下传导型固液相变传热问题的无量纲近似解。对于直角坐标系情形,得到的改进型准稳态近似解精度高,且解的形式为显式表达式,相比于已有的隐式近似解更便于直接使用。对于圆柱坐标系的情形,所得到的近似解是目前文献公开报道的唯一的近似解。此改进型准稳态近似解弥补了传统准稳态近似方法不考虑显热的不足,提高了准稳态近似法的精度,丰富了固液相变传热问题的求解方法,物理意义明确,可用于实际应用问题的初步分析和计算。

固体力学
考虑损伤判据温度相关性的相场法模拟氧化铝热冲击裂纹扩展
杨国欣, 郑世风, 李定玉, 李卫国
2022, 43(11): 1259-1267. doi: 10.21656/1000-0887.430133
摘要(985) HTML (521) PDF(127)
摘要:

氧化铝陶瓷材料的力学性能受温度影响显著,因此使用相场法模拟热冲击裂纹的扩展时有必要考虑损伤判据的温度相关性。在现有热力学相场模型的基础上通过引入温度相关性损伤判据,修正了相场模型的控制方程。利用该模型对氧化铝陶瓷热冲击实验进行有限元模拟,并将模拟结果与氧化铝热冲击实验结果和不考虑温度相关性损伤判据的有限元模拟结果进行对比。结果表明,通过引入温度相关性损伤判据,可实现对热冲击裂纹的萌生和扩展过程更合理的模拟。

基于XFEM和GA-BP神经网络的裂纹智能识别研究
毛晓敏, 张慧华, 纪晓磊, 韩尚宇
2022, 43(11): 1268-1280. doi: 10.21656/1000-0887.420250
摘要(1041) HTML (585) PDF(77)
摘要:

基于扩展有限元法(XFEM)和经遗传算法(GA)优化的误差反向传播多层前馈(BP)神经网络(GA-BP)算法,建立了识别结构中裂纹的反演分析模型。模型通过XFEM正向分析获得的测点位移数据训练GA-BP神经网络,并在此基础上利用该网络进行裂纹反向识别。通过两个典型算例对模型的可行性和精度进行了验证,并探讨了网格密度、测点布置、输入数据噪声等对网络识别精度的影响。结果表明,该文的方法可反演线弹性断裂力学重点关注的直线裂纹的几何信息且具有较好的容噪性能,此外,GA-BP神经网络的预测精度较传统BP神经网络普遍更高。

应用数学
基于准ARX模型和SVR算法的非线性系统切换控制
王兰, 董宜平, 曹进德
2022, 43(11): 1281-1287. doi: 10.21656/1000-0887.430122
摘要(841) HTML (382) PDF(45)
摘要:

该文基于改进的含有外部输入项的准线性自回归(准ARX)径向基函数(RBF)网络模型和支持向量回归(SVR)算法,提出了一种非线性切换控制方法。 改进的准ARX模型非线性部分采用RBF网络。 控制系统设计过程分为三个部分:首先,利用聚类方法确定模型的非线性参数;然后,采用线性SVR算法来解决控制系统的鲁棒性问题;接下来,基于控制误差给出切换判定函数,确定切换律给出控制序列。 最后通过数值仿真验证了该方法的有效性。

带参数时空分数阶Fokas-Lenells方程的精确解
刘杨秀, 胡彦霞
2022, 43(11): 1288-1302. doi: 10.21656/1000-0887.420322
摘要(1069) HTML (405) PDF(118)
摘要:

利用多项式完全判别系统法求得非线性光学中带参数时空分数阶Fokas-Lenells方程在一般情况下的精确解,包括有理函数解、周期解、孤波解、Jacobi椭圆函数解和双曲函数解等,绘制了精确解的相关图像,并由此分析了参数对解的结构的影响。

具有Robin边界条件的时间分数阶扩散方程的源项辨识问题研究
崔建譞, 石成鑫, 柳冕, 程浩
2022, 43(11): 1303-1312. doi: 10.21656/1000-0887.430004
摘要(965) HTML (553) PDF(79)
摘要:

对Robin边界条件时间分数阶扩散方程的源项辨识问题进行了研究。这类问题是不适定的,因此提出了一种迭代型正则化方法,得到了源项辨识问题的正则近似解。给出了先验和后验参数选取规则下正则近似解和精确解之间的误差估计,数值算例验证了该方法的有效性。