2023 Vol. 44, No. 6

Fluid Mechanics
Prediction of Gas-Liquid Pressurization Performances of Multistage Multiphase Pumps Based on Similarity Laws and Neural Networks
CHANG Liang, YANG Chenyu, SU Xiaobin, DAI Xiaoyu, XU Qiang, GUO Liejin
2023, 44(6): 619-628. doi: 10.21656/1000-0887.430405
Abstract(1112) HTML (480) PDF(86)
Abstract:
It is very important to accurately predict the gas-liquid pressurization performance of multiphase pumps for the economy and safety of oil-gas production. Existent prediction models and methods are limited by narrow parameter ranges and low pump stages. A gas-liquid experimental platform at the industrial level was built, and the gas-liquid pressurization performances of a 25-stage centrifugal multiphase pump were obtained. A prediction method for gas-liquid pressurization performances was proposed for multiphase pumps with high stages at variable rotational speeds. Firstly, the artificial neural network of gas-liquid boosting pressure in the pump with low stages at a constant rotational speed, was constructed. Then, the boosting pressures at variable rotational speeds were converted to the designed condition by the 2-phase similarity law. Finally, based on the isothermal compression hypothesis, the inter-stage flow parameters were updated and the boosting pressures in pumps with high stages were acquired. The relative errors of prediction results of gas-liquid pressurization were less than 15% in pumps with different stage numbers (3~25 stages) and rotational speeds (2 500~3 500 r·min-1). The proposed method can be applied to other types of multiphase pumps, to determine the stage numbers of multiphase pumps and make production evaluation in oil-gas industry.
Study on Hydrodynamics Characteristics of a Single Bubble in Viscoelastic Fluid at Low Weissenberg Numbers
ZHANG Shihuan, PANG Mingjun, ZHENG Zhiying
2023, 44(6): 629-642. doi: 10.21656/1000-0887.430328
Abstract(886) HTML (374) PDF(49)
Abstract:
The VOF method was used to numerically study the upward motion of a single bubble in viscoelastic fluid, and the Oldroyd-B model was applied to describe the fluid viscoelastic property. At low Weissenberg numbers (Wi≤1), the effects of the viscous force, the relaxation time, the surface tension and the viscosity ratio on the rising motion of the bubble were studied. The results show that, under relatively large viscous and elastic forces (such as Ga=2, Wi≥0.5 and β=0.2), the bubble exhibits the phenomenon of "a pointed rear end", and this phenomenon intensifies with the increase of the elasticity and the decrease of the surface tension. Otherwise, under a relatively weak elasticity (such as Wi=0.1), the phenomenon of "a pointed rear end" disappears, and the bubble bears a hat-like shape. For a large surface tension (such as Eo=1), the bubble bears a longitudinally elongated ellipse-like shape without distinct tail features. The effect of the surface tension on the bubble in viscoelastic fluid is like that in viscous fluid. The bubble has 2 types of rising motions, namely, "continuous acceleration" to a stable velocity and "acceleration-deceleration-reacceleration" to a stable velocity, and the bubble rising velocity in viscoelastic fluid is higher than that in pure viscous fluid. The elastic stress around the bubble is influenced by the viscosity and the relaxation time of the fluid, and with the decrease of the fluid viscosity or/and the increase of the relaxation time, the incidence of the elastic stress becomes wide.
Simulation of Electroosmotic and Pressure-Driven Mixed Flow of Viscoelastic Fluids in Converging-Diverging Tubes
DU Changlong, XIA Weihao, YANG Jiajie, LI Jie
2023, 44(6): 643-653. doi: 10.21656/1000-0887.430255
Abstract(715) HTML (365) PDF(36)
Abstract:
The electroosmotic and pressure-driven mixed flow was widely used in various biochemical microfluidic fields, where the elastic instability of the viscoelastic fluid cannot be ignored. A viscoelastic fluid was used to numerically simulate electroosmotic and pressure-driven mixed flow in a 10:1:10 microchannel converging-diverging tube. The effects of different pressures and different polymer concentrations on the fluid flow were studied, and the superposition principle for the velocity distributions of Newtonian fluids and viscoelastic fluids in converging-diverging tubes was analyzed. The results show that, the reverse pressure brings the viscoelastic fluid into higher instability, which makes the inlet vortex larger by 25 μm for every 1 Pa pressure increase. The positive pressure makes the eddy current smaller. For a relatively small reverse pressure, the inlet vortex increases with the polymer concentration and tends to be stable gradually. For a relatively large reverse pressure, the vortex size first increases and then decreases with the polymer concentration.
Numerical Simulation of Transient Non-Isothermal Viscoelastic Couette Flows Based on the SPH Method
XU Xiaoyang, ZHAO Yuting
2023, 44(6): 654-665. doi: 10.21656/1000-0887.430318
Abstract(899) HTML (398) PDF(62)
Abstract:
Based on the smoothed particle hydrodynamics (SPH) method, the transient non-isothermal viscoelastic flows were numerically simulated. First, the viscoelastic Couette flow based on the Oldroyd-B model under isothermal condition was simulated. Then, the simulation was extended to the non-isothermal case, in which the Reynolds exponential model was adopted to evaluate the dependence of the viscosity and the relaxation time on the temperature. The accuracy and effectiveness of the SPH method for simulating transient non-isothermal viscoelastic flows were verified through comparison with the finite volume method and evaluation of numerical convergence. The different flow characteristics of the non-isothermal flow compared with those of the isothermal flow were discussed. The effects of the temperature dependence coefficient and the Péclet number on the flow physics were analyzed. The numerical results demonstrate that, the SPH method can accurately and effectively simulate transient non-isothermal viscoelastic flow problems.
Solid Mechanics
Dynamic Modeling and Tracking Control of 2-Joint Manipulators in Ocean Current Environment
GE Dahui, YOU Yunxiang, FENG Aichun
2023, 44(6): 666-678. doi: 10.21656/1000-0887.430381
Abstract(753) HTML (589) PDF(68)
Abstract:
The hydrodynamic performance of the underwater manipulator is greatly influenced by the current load. The underwater environment is assumed to be a still water environment and the current load is only considered as a simple random disturbance in the current control research, and the traditional control precision is usually rather low. Based on the Lagrange method and the Newton-Euler method, a dynamic model for 2-joint manipulators in the uniform ocean current environment was derived. In view of the relative motion of the ocean current and the manipulator, the Morison formula was introduced to calculate the water resistance and the inertia force of the ocean current on the manipulator. Based on this dynamic model, the sliding mode control strategy was used to achieve accurate tracking of the ideal trajectory of the manipulator. The simulation results show that, compared with the PD (proportional derivative) control, the sliding mode control strategy has better control effects.
Numerical Simulation of Hydraulic Fractures Intersecting Natural Fractures in Shale With Plastic Deformation
CAO Yuling, HE Qiangsheng, LIU Chuang
2023, 44(6): 679-693. doi: 10.21656/1000-0887.430300
Abstract(947) HTML (399) PDF(82)
Abstract:
The plastic deformation and numerous natural joints of shale pose a great challenge for the prediction of the hydraulic fracture geometry extension. Based on the finite element method, a fully coupled numerical model for elastoplastic hydraulic fractures was established with natural fractures and bedding planes considered. The numerical model was validated with the KGD analytical solution and Blanton's curve. The numerical results show that, compared with the numerical model solution of linear elasticity, the hydraulic fractures are prone to enter the natural weak interface due to the rock plastic deformation. The rock plastic deformation area mainly lies in the reservoir layer during the fracture propagation. In the case of rock ductile damage, the hydraulic fracture is more likely to penetrate the bedding plane. Hydraulic fractures can directly penetrate natural fractures and bedding planes at high injection rates due to large driving forces. The study provides new insights in terms of hydraulic fracture extension in elastoplastic formations.
Deformation Behavior Modeling of SMAs Under Cyclic Loading Based on Rational Interpolation
WANG Xiaoming, XIAO Heng
2023, 44(6): 694-707. doi: 10.21656/1000-0887.430279
Abstract(693) HTML (290) PDF(35)
Abstract:
A finite elastoplasticity model was proposed to simulate deformation behaviors of SMAs under cyclic loading. First, the explicit formulations of shape functions were given with the rational interpolation method to exactly match any given experimental data. Second, a finite elastoplasticity J2 flow model based on the logarithmic objective rate was built to couple the moving of the yielding center and the expanding of the yielding surface. Third, 3 explicit hardening functions under the single loading cycle were deduced in the uniaxial case, to construct the smooth, unified and multiaxial hardening function through introduction of the local factor and the multiaxial extended invariant. Finally, the model results were compared with the classical test data to prove the effectiveness of the new model. The research results show that, the new model can produce intense Bauschinger effects and simulate the complex deformation of SMAs through improvement of the evolution equation of the back stress. The new smooth unified hardening function can automatically degenerate under the single loading cycle to give results exactly matching the test data. The effective plastic work evolution law deduced with the constitutional equation, and the parameter equations dependent on the effective plastic work contained in the shape functions through rational interpolation, enable the proposed model to predict deformations well.
Applied Mathematics
Projective Synchronization of Fractional Quaternion Neural Networks With Time-Varying Delays
LI Chunmei, YANG Xujun, WU Xiang
2023, 44(6): 708-718. doi: 10.21656/1000-0887.430228
Abstract(882) HTML (393) PDF(64)
Abstract:
The projective synchronization of fractional quaternion neural networks with time-varying delays was studied. Instead of transforming the fractional quaternion neural network system into 2 complex-valued systems or 4 real-valued systems, the means of treating the quaternion network system directly as a whole was applied. Under a rational controller, through the construction of a suitable Lyapunov function and with some inequality techniques, the sufficient criteria for the projective synchronization of fractional quaternion neural networks with time-varying delays were obtained. The numerical simulation example shows the validity and feasibility of the conclusions.
The Legendre Collocation Spectral Method for the Ground State Solutions of the Bose-Einstein Condensates
LIU Wenjie, WANG Hanquan
2023, 44(6): 719-730. doi: 10.21656/1000-0887.430257
Abstract(654) HTML (302) PDF(51)
Abstract:
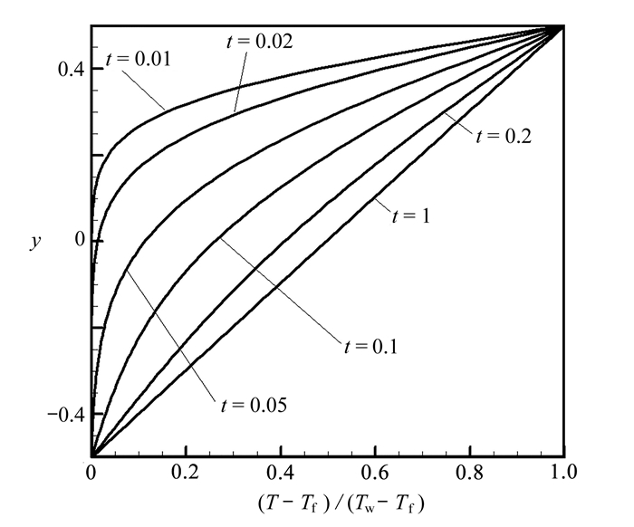
In recent years, a series of important achievements have been made in the experimental study of the ground state solutions of the Bose Einstein condensates. First, the ground state solution problem of the Bose Einstein condensate was converted into the extreme value problem of energy functional with the dimensionless method. In the discretization of the energy functional, the Legendre collocation spectral method was used in the 1D and 2D cases. Second, the energy functional minimum problem was numerically simulated. The analyses of the experimental data and graphs show that, the Legendre collocation spectral method is applicable to the ground state solution of the non-rotating Bose Einstein condensate, and the errors of the numerical results are very small.
An Euler-Maruyama Method for Variable Fractional Stochastic Differential Equations With Caputo Derivatives
LIU Jiahui, SHAO Linxin, HUANG Jianfei
2023, 44(6): 731-743. doi: 10.21656/1000-0887.430250
Abstract(782) HTML (271) PDF(66)
Abstract:
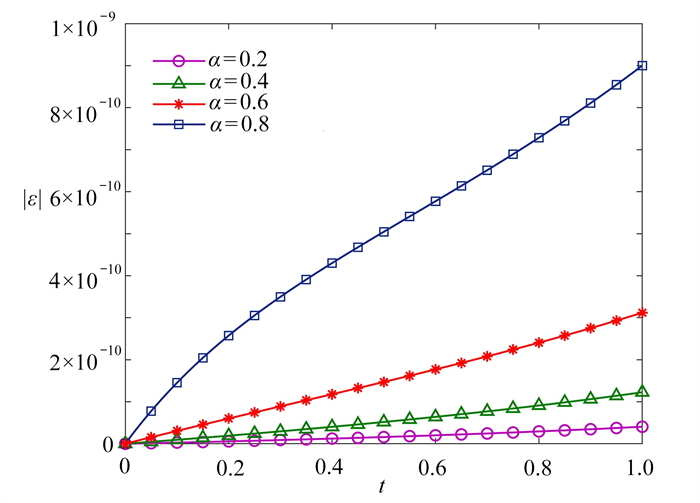
A Euler-Maruyama (EM) method was constructed to solve a class of variable fractional stochastic differential equations with Caputo derivatives. Firstly, the well-posedness of the equation was proved. Then, the corresponding EM method was derived in detail, and the strong convergence of the method was analyzed. By means of the continuous form of the EM method, its strong convergence order was proved to be β-0.5, where β is the order of the Caputo derivative and 0.5 < β < 1. Numerical experiments verify the correctness of the theoretical results.
The Cubic B-Spline Method for a Class of Caputo-Fabrizio Fractional Differential Equations
HU Xinghua, CAI Junying
2023, 44(6): 744-756. doi: 10.21656/1000-0887.430195
Abstract(914) HTML (369) PDF(49)
Abstract:
Based on the basic theorem of fractional calculus and the cubic B-spline theory, the cubic B-spline method for numerical solution of linear Caputo-Fabrizio fractional differential equations was proposed. The basic theorem of fractional calculus was used to transform the initial value problem into an expression about the solution function, and the cubic B-spline function was used to approximate the integrand function in the expression. Then the numerical solutions of the Caputo-Fabrizio fractional differential equations were calculated. The error estimation, convergence and stability of the constructed cubic B-spline method were given theoretically. Numerical experiments show that, the presented numerical method is feasible and effective in solving a class of Caputo-Fabrizio fractional differential equations, and the computation accuracy and efficiency are better than the 2 existing numerical methods.