优先发表栏目展示本刊经同行评议确定正式录用的文章,这些文章目前处在编校过程,尚未确定卷期及页码,但可以根据DOI进行引用。
显示方式:
2025, 46(12): 1501-1514.
doi: 10.21656/1000-0887.460024
摘要:
提出了一种随机地震激励下线性结构首次穿越破坏的极值响应半解析分析方法. 基于多模态正交分解策略实现时空变量的有效解耦,将结构物理应力响应转化到模态空间的高效求解. 借助虚拟激励法推导了地震谱作用下的模态响应谱矩解析表达式,结合首次穿越破坏机制的响应峰值概率密度函数,构建了振动峰值响应的高精度快速计算模型. 以典型大跨斜拉桥为工程背景,对关键构件应力响应峰值进行对比分析. 数值实验结果表明:与传统方法相比,该文方法在保证计算精度的同时,计算效率提升两个数量级,为大型工程结构的抗震可靠度评估提供了有效工具.
提出了一种随机地震激励下线性结构首次穿越破坏的极值响应半解析分析方法. 基于多模态正交分解策略实现时空变量的有效解耦,将结构物理应力响应转化到模态空间的高效求解. 借助虚拟激励法推导了地震谱作用下的模态响应谱矩解析表达式,结合首次穿越破坏机制的响应峰值概率密度函数,构建了振动峰值响应的高精度快速计算模型. 以典型大跨斜拉桥为工程背景,对关键构件应力响应峰值进行对比分析. 数值实验结果表明:与传统方法相比,该文方法在保证计算精度的同时,计算效率提升两个数量级,为大型工程结构的抗震可靠度评估提供了有效工具.
2025, 46(12): 1515-1526.
doi: 10.21656/1000-0887.450295
摘要:
石墨堆芯作为气冷反应堆的核心构件,在地震载荷作用下可能因构件间隙引发碰撞,直接影响反应堆安全,研究其碰撞动力学特性对核工程安全评估具有重要意义. 核设备的抗震分析常对整体系统进行简化后(如模态叠加法)开展高效动力学计算,因此寻找线性化的堆芯碰撞行为分析模型非常必要. 首先,基于石墨块的碰撞行为开展了经典的L-N碰撞模型和Kelvin碰撞模型,并开展了线性简化模型的建模理论分析;然后,探讨了模型参数对其碰撞行为的影响规律,进而提出了一种碰撞模型参数的迭代识别算法;最后,搭建了一套石墨块的碰撞试验系统,采集了不同初速度下的碰撞响应并对碰撞特征量进行了统计分析,实现了碰撞模型的参数识别和线性等效模型的有效性验证. 研究工作可为含石墨堆芯等碰撞构件的核设备抗震分析模型提供重要参考依据.
石墨堆芯作为气冷反应堆的核心构件,在地震载荷作用下可能因构件间隙引发碰撞,直接影响反应堆安全,研究其碰撞动力学特性对核工程安全评估具有重要意义. 核设备的抗震分析常对整体系统进行简化后(如模态叠加法)开展高效动力学计算,因此寻找线性化的堆芯碰撞行为分析模型非常必要. 首先,基于石墨块的碰撞行为开展了经典的L-N碰撞模型和Kelvin碰撞模型,并开展了线性简化模型的建模理论分析;然后,探讨了模型参数对其碰撞行为的影响规律,进而提出了一种碰撞模型参数的迭代识别算法;最后,搭建了一套石墨块的碰撞试验系统,采集了不同初速度下的碰撞响应并对碰撞特征量进行了统计分析,实现了碰撞模型的参数识别和线性等效模型的有效性验证. 研究工作可为含石墨堆芯等碰撞构件的核设备抗震分析模型提供重要参考依据.
2025, 46(12): 1527-1539.
doi: 10.21656/1000-0887.450343
摘要:
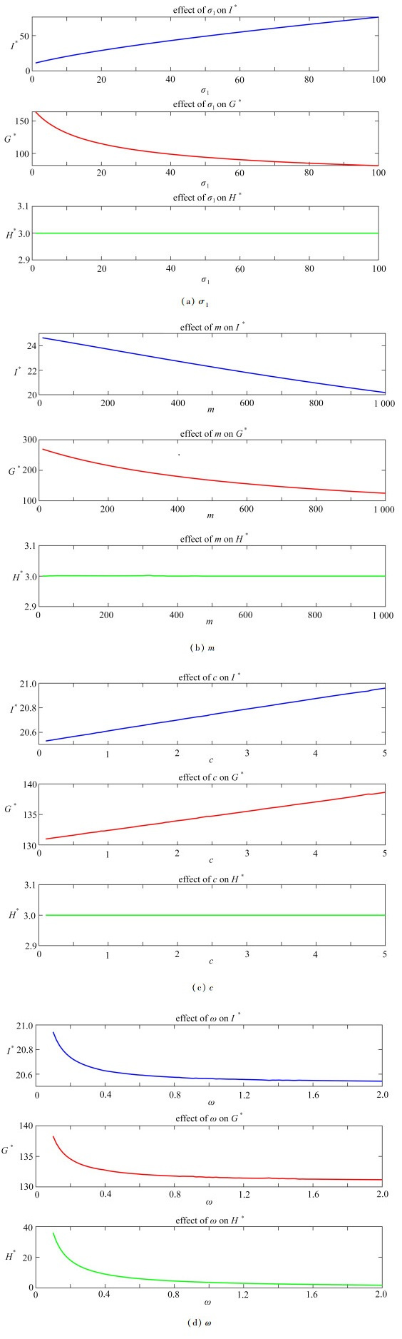
研究了具有随机激励和时滞反馈控制的悬架系统. 首先,分析系统发生Hopf分岔的条件. 其次,利用中心流形理论和最大Lyapunov指数,研究系统的局部稳定性和随机D分岔条件,并通过奇异边界理论探讨了系统的全局稳定性. 最后,通过数值模拟揭示了噪声强度和时滞反馈系数对系统动力学的影响,并验证了理论结果.
研究了具有随机激励和时滞反馈控制的悬架系统. 首先,分析系统发生Hopf分岔的条件. 其次,利用中心流形理论和最大Lyapunov指数,研究系统的局部稳定性和随机D分岔条件,并通过奇异边界理论探讨了系统的全局稳定性. 最后,通过数值模拟揭示了噪声强度和时滞反馈系数对系统动力学的影响,并验证了理论结果.
2025, 46(12): 1540-1549.
doi: 10.21656/1000-0887.450292
摘要:
为研究修正Timoshenko梁系统的对偶条件和分类,讨论其理论意义. 首先通过引入时间和空间缩放变换,实现了对修正Timoshenko梁动力学方程的标准化;其次,基于该归一化方程,论证了在任意相同边界条件下参数型对偶关系的存在性;然后,探讨了不同截面类型参数型对偶关系的特点;最后,在固支-铰支、固支-固支和固支-自由这三种边界条件下,求解标准化方程,提出了构造对偶梁的方法,并通过文献算例展示了修正Timoshenko梁参数型对偶性的特征. 结果表明:归一化算法求解修正Timoshenko对偶梁的频率完全相同,且基于该算法可论证其修正Timoshenko梁的参数型对偶条件. 动力学特性的参数型对偶关系为修正Timoshenko梁的一种本质属性,时空缩放变换为揭示该特性的有效方法.
为研究修正Timoshenko梁系统的对偶条件和分类,讨论其理论意义. 首先通过引入时间和空间缩放变换,实现了对修正Timoshenko梁动力学方程的标准化;其次,基于该归一化方程,论证了在任意相同边界条件下参数型对偶关系的存在性;然后,探讨了不同截面类型参数型对偶关系的特点;最后,在固支-铰支、固支-固支和固支-自由这三种边界条件下,求解标准化方程,提出了构造对偶梁的方法,并通过文献算例展示了修正Timoshenko梁参数型对偶性的特征. 结果表明:归一化算法求解修正Timoshenko对偶梁的频率完全相同,且基于该算法可论证其修正Timoshenko梁的参数型对偶条件. 动力学特性的参数型对偶关系为修正Timoshenko梁的一种本质属性,时空缩放变换为揭示该特性的有效方法.
2025, 46(12): 1550-1559.
doi: 10.21656/1000-0887.450260
摘要:
基于表面弹性理论和偶应力理论,研究了微纳米尺度下刚性球形压头与弹性半空间体的三维接触问题. 材料的尺度效应通过表面特征长度和材料特征长度进行表征. 结合表面弹性理论和偶应力理论,推导出了弹性半空间体受法向载荷时的频响函数,并借助共轭梯度法和快速Fourier变换法,建立了三维半解析接触模型. 利用该模型分析了表面残余应力、表面材料常数和材料特征长度对接触表面的接触压力、表面应力和表面位移的影响. 结果表明,与经典接触解相比,尺度效应使表面的接触压力在接触边缘急剧下降,表面法向应力在接触边缘连续且无突变,同时切向应力非零,表面的法向位移减小. 此外,随着材料特征长度的增大,表面切向应力的方向发生反转.
基于表面弹性理论和偶应力理论,研究了微纳米尺度下刚性球形压头与弹性半空间体的三维接触问题. 材料的尺度效应通过表面特征长度和材料特征长度进行表征. 结合表面弹性理论和偶应力理论,推导出了弹性半空间体受法向载荷时的频响函数,并借助共轭梯度法和快速Fourier变换法,建立了三维半解析接触模型. 利用该模型分析了表面残余应力、表面材料常数和材料特征长度对接触表面的接触压力、表面应力和表面位移的影响. 结果表明,与经典接触解相比,尺度效应使表面的接触压力在接触边缘急剧下降,表面法向应力在接触边缘连续且无突变,同时切向应力非零,表面的法向位移减小. 此外,随着材料特征长度的增大,表面切向应力的方向发生反转.
2025, 46(12): 1560-1570.
doi: 10.21656/1000-0887.450238
摘要:
针对磁致伸缩材料中复杂的非线性磁-力耦合关系以及磁电复合材料之间的界面耦合问题,提出了一种基于等效电路法的磁电效应分析模型. 根据磁致伸缩材料Tb0.3Dy0.7Fe1.92(Terfenol-D)的非线性模型,通过理论推导得到磁致伸缩材料在复杂非线性磁-力耦合条件下的磁致伸缩系数、压磁系数以及相对磁导率的表达式,并将其等效在磁致伸缩材料线性本构方程中. 采用等效电路法分别对磁致伸缩材料Terfenol-D和压电材料Pb(Zr, Ti)O3(PZT)进行建模,并引入界面耦合系数将两个等效电路进行耦合. 将压磁系数与磁电电压系数的理论预测值与试验数据对比,验证了等效参数表达式以及非线性理论模型的有效性. 研究表明,磁电电压系数与层合比、界面耦合系数以及外加磁场有着密切的关系. 研究结果为磁电复合材料磁电效应的优化提供了理论指导.
针对磁致伸缩材料中复杂的非线性磁-力耦合关系以及磁电复合材料之间的界面耦合问题,提出了一种基于等效电路法的磁电效应分析模型. 根据磁致伸缩材料Tb0.3Dy0.7Fe1.92(Terfenol-D)的非线性模型,通过理论推导得到磁致伸缩材料在复杂非线性磁-力耦合条件下的磁致伸缩系数、压磁系数以及相对磁导率的表达式,并将其等效在磁致伸缩材料线性本构方程中. 采用等效电路法分别对磁致伸缩材料Terfenol-D和压电材料Pb(Zr, Ti)O3(PZT)进行建模,并引入界面耦合系数将两个等效电路进行耦合. 将压磁系数与磁电电压系数的理论预测值与试验数据对比,验证了等效参数表达式以及非线性理论模型的有效性. 研究表明,磁电电压系数与层合比、界面耦合系数以及外加磁场有着密切的关系. 研究结果为磁电复合材料磁电效应的优化提供了理论指导.
2025, 46(12): 1571-1583.
doi: 10.21656/1000-0887.450247
摘要:
深水油气开采作业中,精准预测环空圈闭压力对保障油气井安全、优化开采流程以及延长油气井使用寿命具有决定性意义. 本研究聚焦水基环空液体,系统测试了多种沉降时间下的密度及热物性参数,梳理出固相沉降对液体参数的影响规律. 基于定容热力学定律,考虑固相沉淀、液体热物性参数动态变化等关键因素,提出了适用于气井的多环空耦合圈闭压力计算方法. 将该方法的计算结果与水下井口实测圈闭压力对比,二者最大误差仅为8.91%. 以海上某典型采气井为具体实例,运用.Net语言编写程序,对所构建的模型进行求解运算. 结果表明,考虑固相沉降对环空液体密度影响极为显著,随着沉降时间的持续增加,液体密度呈现出明显的下降趋势. 经过7 d的测试,钻井液密度从初始的1.7 g/cm3逐步降低至1.23 g/cm3并趋于稳定,密度降幅高达27.65%. 随着井深增加、采气量上升、钻井液等压膨胀系数以及等温压缩系数增大,环空圈闭压力均呈现增大趋势. 在流体热物性相同的情况下,环空圈闭压力受环空封闭体积的影响尤为突出:第1环空圈闭压力达到23.2 MPa;第2环空圈闭压力为15.53 MPa;第3环空圈闭压力则为7.69 MPa. 对比井口油管位移与井底情况时发现,井口油管位移最大距离从1.69×10-6 m减小至6.1×10-7 m,井口油管位移距离约为井底的2.77倍. 环空圈闭压力的准确求解,能够为校核管柱安全系数、评估井口抬升风险以及优化水泥返高设计等实际工程作业,提供极为关键的理论依据与数据支撑,有力推进深水油气开采作业安全、高效开展.
深水油气开采作业中,精准预测环空圈闭压力对保障油气井安全、优化开采流程以及延长油气井使用寿命具有决定性意义. 本研究聚焦水基环空液体,系统测试了多种沉降时间下的密度及热物性参数,梳理出固相沉降对液体参数的影响规律. 基于定容热力学定律,考虑固相沉淀、液体热物性参数动态变化等关键因素,提出了适用于气井的多环空耦合圈闭压力计算方法. 将该方法的计算结果与水下井口实测圈闭压力对比,二者最大误差仅为8.91%. 以海上某典型采气井为具体实例,运用.Net语言编写程序,对所构建的模型进行求解运算. 结果表明,考虑固相沉降对环空液体密度影响极为显著,随着沉降时间的持续增加,液体密度呈现出明显的下降趋势. 经过7 d的测试,钻井液密度从初始的1.7 g/cm3逐步降低至1.23 g/cm3并趋于稳定,密度降幅高达27.65%. 随着井深增加、采气量上升、钻井液等压膨胀系数以及等温压缩系数增大,环空圈闭压力均呈现增大趋势. 在流体热物性相同的情况下,环空圈闭压力受环空封闭体积的影响尤为突出:第1环空圈闭压力达到23.2 MPa;第2环空圈闭压力为15.53 MPa;第3环空圈闭压力则为7.69 MPa. 对比井口油管位移与井底情况时发现,井口油管位移最大距离从1.69×10-6 m减小至6.1×10-7 m,井口油管位移距离约为井底的2.77倍. 环空圈闭压力的准确求解,能够为校核管柱安全系数、评估井口抬升风险以及优化水泥返高设计等实际工程作业,提供极为关键的理论依据与数据支撑,有力推进深水油气开采作业安全、高效开展.
2025, 46(12): 1584-1597.
doi: 10.21656/1000-0887.450256
摘要:
对于双材料功能梯度中厚板切口尖端问题提出了一个分析应力奇性指数的实用方法:微分求积法(DQM). 首先从柱坐标系下平衡方程出发,基于切口尖端位移场的级数渐近展开假设,推导出了关于双材料功能梯度中厚板切口尖端奇性指数的常微分方程组(ODEs)特征值问题,并将切口的径向边界条件表达为奇性指数和特征角函数的组合. 然后基于DQM理论,将ODEs的特征值问题转化为标准型广义代数方程组特征值问题,求解可一次性地计算出相应边界条件下双材料功能梯度中厚板切口尖端处应力奇性指数. 首先,通过算例验证了该文DQM计算功能梯度中厚板切口尖端处应力奇性指数的结果是有效的. 然后, 用DQM计算了功能梯度与纯金属/纯陶瓷混合板应力奇性指数,结果发现随着切口夹角的改变,纯陶瓷板与纯金属板与功能梯度板的混合,分别会对应力奇性指数有不同的影响效果.
对于双材料功能梯度中厚板切口尖端问题提出了一个分析应力奇性指数的实用方法:微分求积法(DQM). 首先从柱坐标系下平衡方程出发,基于切口尖端位移场的级数渐近展开假设,推导出了关于双材料功能梯度中厚板切口尖端奇性指数的常微分方程组(ODEs)特征值问题,并将切口的径向边界条件表达为奇性指数和特征角函数的组合. 然后基于DQM理论,将ODEs的特征值问题转化为标准型广义代数方程组特征值问题,求解可一次性地计算出相应边界条件下双材料功能梯度中厚板切口尖端处应力奇性指数. 首先,通过算例验证了该文DQM计算功能梯度中厚板切口尖端处应力奇性指数的结果是有效的. 然后, 用DQM计算了功能梯度与纯金属/纯陶瓷混合板应力奇性指数,结果发现随着切口夹角的改变,纯陶瓷板与纯金属板与功能梯度板的混合,分别会对应力奇性指数有不同的影响效果.
2025, 46(12): 1598-1611.
doi: 10.21656/1000-0887.450329
摘要:
多金属结核矿产资源以粗颗粒结核的形式呈面式分布于深海海床. 由于深海环境的脆弱和国际海底环境保护的紧迫性,研究集矿装置运动过程中的集矿特性和对海底的扰动具有实际意义. 采用计算流体动力学与离散元耦合方法(computational fluid dynamics and discrete element method, CFD-DEM)模拟了粗颗粒矿石在抽吸式集矿管作用下的采集过程. 结果表明,管道倾斜放置便于管道迎流侧抽吸大量矿石,有利于提高颗粒采集率. 集矿管水平运动和管道抽吸运动对流场形成叠加扰动,受该叠加扰动的影响,颗粒采集率随集矿管水平运动速度的增加先增大后减小,且一定程度上随集矿管倾斜角度的增加而增加. 海底流场的湍动能随集矿管水平运动速度的增加而减小,随集矿管倾斜角度的增加先增大后减小. 综合分析表明,集矿管水平运动速度为0.6 m/s和集矿管倾斜角度为45°是同时满足高采集率和低环境扰动的最佳工况,可为高性能深海多金属结核集矿装置的设计提供参考.
多金属结核矿产资源以粗颗粒结核的形式呈面式分布于深海海床. 由于深海环境的脆弱和国际海底环境保护的紧迫性,研究集矿装置运动过程中的集矿特性和对海底的扰动具有实际意义. 采用计算流体动力学与离散元耦合方法(computational fluid dynamics and discrete element method, CFD-DEM)模拟了粗颗粒矿石在抽吸式集矿管作用下的采集过程. 结果表明,管道倾斜放置便于管道迎流侧抽吸大量矿石,有利于提高颗粒采集率. 集矿管水平运动和管道抽吸运动对流场形成叠加扰动,受该叠加扰动的影响,颗粒采集率随集矿管水平运动速度的增加先增大后减小,且一定程度上随集矿管倾斜角度的增加而增加. 海底流场的湍动能随集矿管水平运动速度的增加而减小,随集矿管倾斜角度的增加先增大后减小. 综合分析表明,集矿管水平运动速度为0.6 m/s和集矿管倾斜角度为45°是同时满足高采集率和低环境扰动的最佳工况,可为高性能深海多金属结核集矿装置的设计提供参考.
2025, 46(12): 1612-1621.
doi: 10.21656/1000-0887.450341
摘要:
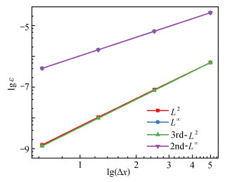
分数阶导数因其在描述自然界中的反常现象方面具有优势而受到广泛关注. 研究了一类含时间Caputo-Hadamard分数阶导数的对流方程的数值解法, 采用L1方法近似时间导数, 运用间断Galerkin有限元方法对空间方向进行逼近, 进而得到该方程的全离散数值格式. 借助离散的Gronwall不等式分析了格式的稳定性、收敛性及误差估计, 最后通过数值例子验证了理论分析的正确性.
分数阶导数因其在描述自然界中的反常现象方面具有优势而受到广泛关注. 研究了一类含时间Caputo-Hadamard分数阶导数的对流方程的数值解法, 采用L1方法近似时间导数, 运用间断Galerkin有限元方法对空间方向进行逼近, 进而得到该方程的全离散数值格式. 借助离散的Gronwall不等式分析了格式的稳定性、收敛性及误差估计, 最后通过数值例子验证了理论分析的正确性.
2025, 46(12): 1622-1630.
doi: 10.21656/1000-0887.450304
摘要:
针对具有时变时滞的忆阻神经网络,研究了其固定时间同步和在保密通信中的应用. 为了有效解决有限时间同步控制依赖初始条件的问题,利用Lyapunov稳定性理论,通过所设计的状态反馈控制器,得到了主从系统固定时间同步的充分条件和调整时间的上界. 在此基础上,以时滞忆阻神经网络为发射器,以响应系统为接收器,采用了混沌遮掩的方式实施信号加密,实现了在固定时间内恢复加密信号,确保了保密通信的安全性和时效性.
针对具有时变时滞的忆阻神经网络,研究了其固定时间同步和在保密通信中的应用. 为了有效解决有限时间同步控制依赖初始条件的问题,利用Lyapunov稳定性理论,通过所设计的状态反馈控制器,得到了主从系统固定时间同步的充分条件和调整时间的上界. 在此基础上,以时滞忆阻神经网络为发射器,以响应系统为接收器,采用了混沌遮掩的方式实施信号加密,实现了在固定时间内恢复加密信号,确保了保密通信的安全性和时效性.
编辑部公告
更多>
渝公网安备50010802005915号